Altai Osmans of the Genus Oreoleuciscus and African Barbs of the Barbus intermedius Complex: the Common Patterns of Morphological Differences Between Piscivorous and Non-Piscivorous Forms under Sympatry Conditions
- Authors: Mironovsky A.N.1, Slynko E.E.2,3
-
Affiliations:
- Severtsov Institute of Ecology and Evolution, Russian Academy of Sciences
- Papanin Institute for Biology of Inland Waters, Russian Academy of Sciences
- Federal State Budgetary Educational Institution of Higher Education Russian Biotechnological University
- Issue: Vol 17, No 3 (2024)
- Pages: 401-409
- Section: БИОЛОГИЯ, МОРФОЛОГИЯ И СИСТЕМАТИКА ГИДРОБИОНТОВ
- URL: https://medbiosci.ru/0320-9652/article/view/266939
- DOI: https://doi.org/10.31857/S0320965224030048
- EDN: https://elibrary.ru/ZPQPWI
- ID: 266939
Cite item
Full Text
Abstract
In populations of fish species of the same and of different systematic groups living in lakes of the same and of different continents the patterns of differences in factor loadings of the considered parameters of the morphology of the jaw apparatus and neurocranium on the main vectors of variability in comparison of piscivorous and non-piscivorous ecological forms almost coincides. It is shown that in the Altai osmans of the Oreoleuciscus potanini species in two lakes of the Central Asian Closed Basin, the structure of differences is almost identical to the structure of differences between the piscivorous and non-piscivorous forms of the barbs of the Barbus intermedius complex sensu Banister (1973) complex in the African Lake Tana. At the same time, the structure of the differences between the piscivorous and non-piscivorous forms of another species of Altai Osmans Oreoleuciscus humilis in a lake located in another part of the Central Asian Closed Basin differs significantly from the structure of differences in ecological forms of both the O. potanini species and the B. intermedius complex. It is assumed that the following explanation may be given for the revealed difference in the variability of Osmans in the studied water bodies. In the African lake Tana and Mongolian lakes Bayan and Khar-Us, the structure of differences reflects the already established situation of stationary coexistence of piscivorous and non-piscivorous forms in one water body. Whereas the structure of variability in the periodically drying Mongolian lake Lake Orog reflects not an established situation, but an incomplete process of its formation, interrupted over and over again by the death of the lake population in the next drought period.
Full Text
ВВЕДЕНИЕ
Горные ельцы или алтайские османы (род Oreoleuciscus, Cyprinidae) распространены в Ледовитоморском и в бессточном ЦентральноАзиатском бассейнах (Баасанжав и др., 1983; Дгебуадзе и др., 2003; Голубцов, Малков, 2007; Слынько, Дгебуадзе, 2009; Слынько, Боровикова, 2012; Мироновский, Слынько, 2023; Kottelat, 2006; Dgebuadze et al., 2012; Kartavtsev et al., 2016). Характерная особенность этой группы рыб, год от года привлекающей все большее внимание исследователей, — симпатрия морфоэкологических форм, различающихся по спектру питания (Баасанжав и др., 1983; Борисовец и др., 1984, 1985). В рационе одних форм существенное значение имеют рыбы, в рационе других форм представители Pisces почти отсутствуют. На северо-западе Монголии в Котловине Больших Озер, где обитают османы вида O. potanini (Kessler, 1879), означенные формы именуются “рыбоядной” и “растительноядной”. В центральной и юго-восточной Монголии в водоемах Долины Озeр, населенной османами вида O. humilis, Warpachowski, 1889, к рыбоядной относится так называемая “озерная” форма, к нерыбоядной — “карликовая” (Баасанжав и др., 1983; Борисовец и др., 1985).
Симпатрия экологических форм известна и у других карповых, в частности, у африканских усачей рода Barbus (=Labeobarbus). Наиболее яркий пример — комплекс Barbus intermedius sensu Banister (1973) в оз. Тана (Эфиопия), где и рыбоядные, и нерыбоядные усачи представлены несколькими симпатрическими формами (морфотипами) (Nagelkerke et al., 1994; Васильев и др., 2018). Показано (Мина, Мироновский, 2022), что структуру морфологических различий между экологическими формами танских усачей можно оценивать, анализируя распределение факторных нагрузок комплекса краниологических параметров на первый собственный вектор (СВ1) в попарных сравнениях морфотипов методом главных компонент. Несколько раньше было обосновано предположение, что собственные векторы, характеризующиеся разными знаками (“+” или “–”) факторных нагрузок параметров челюстной дуги и нейрокраниума, можно рассматривать как “вектор разделения пищевых ресурсов” в фенетической радиации танских усачей (Мироновский, 2021). Однако неясно, является ли этот вектор уникальным, отражающим трофическую радиацию только усачей оз. Тана, или же он имеет место в изменчивости других групп рыб? Можно предположить, что симпатрия рыбоядных и растительноядных форм османов в озерах Монголии, подобная симпатрии аналогичных форм в оз. Тана, позволит внести некоторую ясность в данный вопрос.
Это определило цель настоящей работы — провести анализ факторной структуры морфологических различий между рыбоядными и нерыбоядными формами османов в некоторых озерах Монголии в сравнении с таковой некоторых рыбоядных и нерыбоядных форм усачей в оз. Тана.
МАТЕРИАЛ И МЕТОДЫ ИССЛЕДОВАНИЯ
Исследование выполнено на материале остеологической коллекции Совместной российско-эфиопской биологической экспедиции и Совместной российско-монгольской комплексной биологической экспедиции Российской (РАН) и Монгольской (МАН) академий наук. Материалы коллекции хранятся в Институте биологии внутренних вод РАН и Институте проблем экологии и эволюции РАН. Африканские усачи комплекса Barbus intermedius из оз. Тана в коллекции представлены сборами 1992–2010 гг.; алтайские османы вида Oreoleuciscus humilis — сборами 2000 г. в оз. Орог; вида O. potanini — сборами 2008, 2010, 2011 гг. в оз. Хар-Ус и сборами 2008 г. в оз. Баян. Нерыбоядные формы оз. Тана представлены морфотипами zurkis (zu) — 45 особей и carp (ca) — 14 особей; рыбоядные — морфотипами dark (da) — 32 особи и white hunch (wh) — 33 особи (полные и сокращенные названия морфотипов даны по: (Мина и др., 2011). В озерах Орог, Баян и Хар-Ус рыбоядные формы представлены 31, 10 и 16 особями, нерыбоядные — 69, 51 и 22 особями соответственно. Определение принадлежности особи к той или иной форме проводили по работе (Баасанжав и др., 1983).
У каждой особи измеряли 14 параметров, характеризующих пропорции осевого и висцерального черепа (рис. 1). Показано, что, обладая высокой разрешающей способностью и хорошей воспроизводимостью результатов измерений как одним, так и несколькими операторами, данный набор признаков позволяет уверенно дифференцировать формы, как африканских усачей, так и алтайских османов (Дгебуадзе и др., 2008; Мина и др., 2011; Мироновский, 2022). Статистическую обработку данных проводили с помощью программных пакетов NTSYS 2.02k и Statistica v. 6. В расчетах использованы индексы, представляющие собой отношения абсолютных значений промеров к базальной длине черепа (BL). Далее, рассматривая тот или иной признак, мы будем иметь в виду его индекс, а не сам промер. Значения индексов преобразовывали в натуральные логарифмы для нормализации распределений. В анализе главных компонент (АГК) собственные векторы (CВ) считали по корреляционной матрице; длину вектора принимали равной 1. Уровень сходства факторных нагрузок рассматриваемых параметров на сопоставляемые СВ корреляционных матриц оценивали, вычисляя коэффициент корреляции Спирмена (rs) и Пирсона (rπ); статистическую значимость корреляций оценивали средствами пакета Statistica v.6.
Рис. 1. Схема промеров черепа алтайских османов рода Oreoleuciscus и африканских усачей комплекса Barbus intermedius. Параметры осевого черепа: BL − базальная длина черепа; B1, B2, B3 – расстояние между внешними краями соответственно frontalia, pterotica и sphenotica; B4 – ширина черепа на уровне соединения frontale и pteroticum, HS1 и HS2 – высота черепа на уровне соответственно изгиба parasphenoideum и заднего края parasphenoideum. Параметры висцерального черепа: Hm — высота hyomandibulare, Pop − длина praeoperculum, Op — высота передней части operculum, Iop — длина interoperculum, Pmx, Mx и De — длина praemaxillare, maxillare и dentale соответственно.
РЕЗУЛЬТАТЫ И ИХ ОБСУЖДЕНИЕ
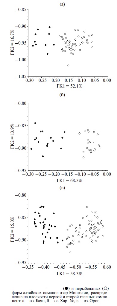
Как следует из рис. 2 и рис. 3, на плоскости двух первых главных компонент (ГК1 и ГК2) особи рыбоядных и нерыбоядных форм четко разобщены по ГК1 в каждом из семи анализируемых сопоставлений (рис. 2, рис. 3). По ГК2 распределения перекрываются, что дает основания рассматривать собственные векторы (СВ1), соответствующие первым главным компонентам (ГК1), как векторы, в достаточно полной мере отражающие структуру морфологических различий между сравниваемыми рыбоядными и нерыбоядными формами. Факторные нагрузки рассматриваемых признаков на указанные СВ1 приведены в табл. 1.
Рис. 2. Особи рыбоядных
Рис. 3. Особи рыбоядных
Таблица 1. Факторные нагрузки рассматриваемых признаков на первые собственные векторы (СВ1) первых главных компонент (ГK1) в анализе различий между особями рыбоядных и нерыбоядных форм африканских усачей комплекса Barbus intermedius и алтайских османов рода Oreoleuciscus
Признаки | Факторные нагрузки признаков на СВ1 в сопоставлениях форм по: | ||||||
рис. 2а | рис. 2б | рис. 2в | рис. 2г | рис. 3а | рис. 3б | рис. 3в | |
B3 | 0.336 | 0.282 | 0.292 | 0.259 | 0.324 | 0.313 | 0.211 |
B2 | 0.322 | 0.338 | 0.180 | 0.135 | 0.204 | 0.193 | –0.171 |
B1 | 0.340 | 0.301 | 0.296 | 0.207 | 0.250 | 0.294 | –0.286 |
B4 | 0.291 | 0.273 | 0.289 | 0.265 | 0.336 | 0.324 | 0.173 |
HS1 | 0.155 | 0.204 | 0.321 | 0.338 | 0.325 | 0.288 | 0.247 |
HS2 | 0.263 | 0.213 | 0.321 | 0.307 | 0.103 | 0.042 | –0.265 |
Hm | 0.326 | 0.340 | 0.312 | 0.337 | 0.258 | 0.244 | 0.205 |
Pmx | –0.233 | –0.291 | –0.325 | –0.350 | –0.339 | –0.322 | –0.345 |
Pop | –0.159 | –0.161 | –0.032 | –0.064 | –0.245 | –0.212 | –0.294 |
Op | 0.300 | 0.310 | 0.155 | 0.181 | –0.159 | –0.278 | –0.317 |
Iop | –0.311 | –0.326 | –0.312 | –0.340 | –0.297 | –0.308 | –0.318 |
Mx | –0.127 | –0.144 | –0.278 | –0.300 | –0.315 | –0.322 | –0.352 |
De | –0.319 | –0.325 | –0.319 | –0.339 | –0.326 | –0.323 | –0.333 |
Примечание. Обозначения признаков даны в подписях к рис. 1 и 4.
Чтобы сравнить рассматриваемые СВ1 между собой, на осях системы прямоугольных координат отложим значения факторных нагрузок на каждый из них (рис. 4). В гипотетическом случае, когда структура различий в двух парах сопоставляемых выборок полностью совпадает, точки, соответствующие нагрузкам, ложатся на прямую, расположенную под углом 45° к осям координат, корреляция между значениями нагрузок будет равна 1. Точки на таких графиках тем дальше расположены от начала координат, чем большую относительную нагрузку в данном направлении дисперсии несет данный признак. У начала координат оказываются точки, соответствующие переменным с наименьшими нагрузками. Сходство структуры различий между экологическими формами характеризуется конфигурацией распределения и величиной коэффициента корреляции. Сходство тем больше, чем четче в двумерном распределении прослеживается линейная связь между нагрузками на сравниваемые векторы (Мина, Мироновский, 2022).
Рис. 4. Структура различий по параметрам черепа между парами, каждая из которых представлена рыбоядной и нерыбоядной формой: оз. Тана ‒ ca‒wh и ca‒da (а), zu-wh и zu-da (б), zu-wh и ca-da (в); оз. Баян и оз. Хар-Ус (г); оз. Баян и пары ca‒da из оз. Тана (д); озер Орог и Баян (е).
При сравнении пары carp‒white hunch (cа–wh) с парой carp‒dark (са–da) тренд распределения факторных нагрузок описывается прямой, величины нагрузок по обеим осям весьма близки (рис. 4a). Символы, соответствующие параметрам, располагаются вдоль линии регрессии, угол наклона которой от 45° визуально неотличим. Группы параметров с положительными (“+”) и отрицательными (“–”) нагрузками на сравниваемые векторы полностью совпадают. В первую группу (“+”) входят все шесть параметров нейрокраниума (B1, B2, B3, B4, HS1, HS2), параметр гиоидной дуги (Hm) и один из трех параметров жаберной крышки (Op), во вторую группу (“–”) — три параметра челюстной дуги и два параметра жаберной крышки (Iop и Pop). Почти идентичное распределение факторных нагрузок имеет место на рис. 4б, где СВ1 пары zurkis‒white hunch (zu–wh) сравнивается с СВ1 пары zu‒dark (zu-da), и на рис. 4в при сравнении пар zurkis‒white hunch (zu‒wh) и carp-dark (ca-da). Близкий к 1 коэффициент корреляции не оставляет сомнений в том, что на рис. 4a–4в между собой сравниваются векторы, отражающие не разные, хотя и сходные между собой процессы, но разные конкретные реализации одного и того же процесса, а именно — процесса морфологической дивергенции рыбоядных и нерыбоядных морфотипов. Это же справедливо и в отношении СВ1 рыбоядных и нерыбоядных экологических форм османов озер Баян и Хар-Ус (рис. 4г). Тесное распределение факторных нагрузок вдоль линии регрессии и близкий к единице коэффициент корреляции позволяют считать, что и здесь между собой сопоставляются разные реализации одного типового процесса в разных совокупностях особей. Единственное отличие от распределений на рис. 4а–4в заключается в том, что если в СВ1 африканских усачей нагрузки Op и Pop имеют разные знаки (“+” и “–” соответственно), то в СВ1 алтайских османов обе нагрузки имеют знак “–” и находятся в третьей координатной плоскости. Указанное различие СВ1 усачей и османов хорошо видно на рис. 4д.
Существенно иная структура различий наблюдается между рыбоядной и нерыбоядной формами алтайских османов вида Oreoleuciscus humilis в оз. Орог (рис. 4е), где нагрузки шести параметров нейрокраниума разделились на две равные по численности группы. Нагрузки трех параметров со знаком “+” находятся в первой координатной плоскости, нагрузки трех других со знаком “–” расположены в четвертой координатной плоскости. Этим структура морфологических различий двух экологических форм алтайских османов оз. Орог существенно отличается от таковой в оз. Баян (рис. 4е), а также от структуры различий форм османов и усачей на рис. 4а–4д, где шесть параметров нейрокраниума образуют единую группу, расположенную в первой координатной плоскости. Таким образом, структура различий между рыбоядными и нерыбоядными формами алтайских османов вида O. potanini в двух озерах запада Центрально-Азиатского бессточного бассейна почти совпадает со структурой различий между рыбоядными и нерыбоядными формами усачей комплекса Bаrbus intermedius в африканском оз. Тана. Вместе с тем структура различий рыбоядной и нерыбоядной форм алтайских османов Oreoleuciscus humilis в озере, расположенном на востоке Центрально-Азиатского бессточного бассейна, существенно отличается от структуры различий экологических форм вида Oreoleuciscus potanini и усачей комплекса Barbus intermedius.
Таким образом, сравнительно далекие в систематическом и филогенетическом отношении алтайские османы и африканские усачи, представляющие разные роды карповых, обнаруживают высокое сходство факторной структуры изменчивости, тогда как в пределах одного рода Oreoleuciscus наблюдаются значительные межвидовые различия. По-видимому, выявленное несходство модусов изменчивости османов в оз. Орог и в двух других монгольских озерах объясняется не таксономическим несходством O. humilis и O. potanini, а существенными различиями гидрологических режимов исследуемых водоемов. Озера Хар-Ус и Баян (как и эфиопское оз. Тана) существуют постоянно, тогда как оз. Орог периодически высыхает в силу чередования сухих и влажных периодов в восточной части Центрально-Азиатского бассейна, где оно находится. В сухие периоды, когда оз. Орог высыхает, обитающие там рыбы гибнут. С началом влажного периода озеро заполняется водой, и популяция O. humilis восстанавливается за счет особей, скатывающихся из впадающей в него р. Туин (Dgebuadze, 1995; Dgebuadze et al., 2012). Поскольку других источников восстановления популяции османа в оз. Орог нет, остается предполагать, что от речных рыб р. Туин происходят не только “карликовая”, но и отсутствующая в реке рыбоядная форма. В пользу такого предположения свидетельствуют данные, показывающие, что крупные особи, скатившиеся из реки в озеро, становятся каннибалами, и темп их роста резко возрастает (Dgebuadze, 1995; Дгебуадзе, 2001). Отметим, что 2000 г. (год, когда в оз. Орог были отловлены изучаемые выборки особей) был восьмым годом полного заполнения озера в очередной влажный период, длившийся с 1992 по 2004 гг. (Dgebuadze, 1995; Dgebuadze et al., 2012). Следовательно, если выборками из озер Тана, Баян и Хар-Ус представлены рыбоядные и нерыбоядные формы, сосуществующие на протяжении многих поколений, то соответствующие выборки из оз. Орог отражают лишь начало (примерно восьмой год) процесса возникновения рыбоядной (“озерной”) формы от нерыбоядных (речных, “карликовых”) особей.
Таким образом, в озерах Тана, Баян и Хар-Ус выявленная структура различий характеризует уже устоявшуюся ситуацию стационарного сосуществования рыбоядных и нерыбоядных форм в одном водоеме. Структура различий в оз. Орог отражает не стационарную ситуацию, но незавершенный процесс еe формирования, раз за разом прерываемый гибелью популяции озера в очередной сухой период. Следует отметить, что у рыб оз. Орог векторные нагрузки параметров жаберной крышки Op и Pop имеют знак “–”, что сближает их с османами озер Баян и Хар-Ус, отличая в совокупности от усачей оз. Тана.
Роль коэффициентов корреляции при анализе графиков. В случае линейной зависимости значения коэффициентов корреляции Спирмена (rs) и Пирсона (rπ) высоки и близки по величине между собой (рис. 4а–4г). При некотором отклонении зависимости от линейной значения корреляций несколько ниже и тоже близки по величине (рис. 4д). При зависимости явно нелинейной (рис. 4е) коэффициенты корреляции тоже близки между собой, но их высокие значения создают, очевидно, ложное впечатление о большом сходстве факторных нагрузок в сопоставляемых СВ. Из этого следует, что при анализе таких графиков в первую очередь необходимо сравнивать общий паттерн распределения, взаиморасположение нагрузок параметров и контраст знаков (“+” или “–”) в нагрузках на векторы. При линейной зависимости и большом подобии паттернов тесные корреляции математически подтверждают высокое сходство сравниваемых векторов. При зависимости нелинейной суждения о сходстве факторных нагрузок, основанные на величине корреляций, могут привести к неверным выводам.
ЗАКЛЮЧЕНИЕ
Вектор морфологической изменчивости, определяемый оппозицией факторных нагрузок признаков челюстного аппарата и нейрокраниума, не уникален, но и не универсален. Такая оппозиция нагрузок может иметь место в структуре различий экологических форм у видов разных родов, обитающих в водоёмах разных водных бассейнов разных континентов. Вместе с тем, у близких видов одного рода, обитающих в пределах одного водного бассейна, структура различий оказалась существенно разной. Гипотезу, что выявленные в настоящем исследовании особенности структуры морфологических различий рыбоядной и нерыбоядной форм в оз. Орог обусловлены особенностями его гидрологического режима, можно проверить, исследовав структуру различий рыбоядной и нерыбоядной форм Oreoleuciscus humilis в одном из стационарных непересыхающих озер Центрально-Азиатского бессточного бассейна.
БЛАГОДАРНОСТИ
Авторы искренне благодарны руководству Совместной российско-монгольской комплексной биологической экспедиции РАН и АН Монголии, а также руководству Совместной российско-эфиопской биологической экспедиции РАН за содействие в организации работ в Монголии и Эфиопии, а также за возможность пользоваться коллекционным материалом.
ФИНАНСИРОВАНИЕ
Данная работа финансировалась за счет средств бюджета Институтов Биологии Внутренних Вод РАН и Института Проблем Экологии и Эволюции РАН. Никаких дополнительных грантов на проведение или руководство данным конкретным исследованием получено не было. Исследование выполнено в рамках государственных заданий Института проблем экологии и эволюции РАН (№ 0109-2018-0076, АААА-А18-118042490059-5 и № FFER-2021-0006), Института биологии внутренних вод РАН (№124032500016-4 и № 124032100075-5) и Института биологии южных морей им. А.О. Ковалевского РАН (№124022400148-4).
About the authors
A. N. Mironovsky
Severtsov Institute of Ecology and Evolution, Russian Academy of Sciences
Author for correspondence.
Email: adissa@mail.ru
Russian Federation, Moscow
E. E. Slynko
Papanin Institute for Biology of Inland Waters, Russian Academy of Sciences; Federal State Budgetary Educational Institution of Higher Education Russian Biotechnological University
Email: adissa@mail.ru
Russian Federation, Borok, Nekouzskii raion, Yaroslavl oblast; Moscow 125080
References
- Баасанжав Г., Дгебуадзе Ю.Ю., Демин А.Н. и др. 1983. Обзор видов ихтиофауны МНР // Рыбы Монгольской Народной Республики. М.: Наука.
- Борисовец Е.Э., Дгебуадзе Ю.Ю., Ермохин В.Я. 1984. Опыт исследования морфологической изменчивости рыб рода Oreoleuciscus (Pisces, Cyprinidae) методами многомерной статистики // Зоол. журн. Т. 63. № 4. С. 563.
- Борисовец Е.Э., Дгебуадзе Ю.Ю., Ермохин В.Я. 1985. Морфометрический анализ алтайских османов (Oreoleuciscus; Pisces, Cyprinidae) водоемов МНР: многомерный подход // Зоол. журн. Т. 64. № 8. С. 1199.
- Васильев А.Г., Васильева И.А., Шкурихин А.О. 2018. Геометрическая морфометрия: от теории к практике. М.: КМК.
- Голубцов А.С., Малков. 2007. Очерк ихтиофауны Республики Алтай: систематическое разнообразие, распространение и охрана. М.: КМК.
- Дгебуадзе Ю.Ю. 2001. Экологические закономерности изменчивости роста рыб. М.: Наука.
- Дгебуадзе Ю.Ю., Мина М.В., Мироновский А.Н. 2008. К оценке фенетических отношений алтайских османов (Oreoleuciscus, Cyprinidae) из трех озер Монголии по признакам черепа // Вопр. ихтиологии. Т. 48. № 3. С. 315.
- Дгебуадзе Ю.Ю., Дулмаа А., Мунхбаяр Х. 2003. О находке представителя рода Oreoleuciscus (Cyprinidae) в бассейне р. Селенги // Вопр. ихтиологии. Т. 43. № 3. С. 420.
- Мина М.В., Мироновский А.Н., Капитанова Д.В. 2011. Фенетические отношения и вероятные пути морфологической диверсификации африканских усачей комплекса Barbus intermedius из озера Тана (Эфиопия) // Вопр. ихтиологии. Т. 51. № 2. С. 149.
- Мина М.В., Мироновский А.Н. 2022. Сравнительный анализ структуры различий между некоторыми морфотипами крупных африканских усачей рода Barbus (Labeobarbus auctorum) из озера Тана, Эфиопия // Вопр. ихтиологии. Т. 62. № 3. С. 272. https://doi.org/10.31857/S0042875222030134
- Мироновский А.Н. 2021. Вектор разделения пищевых ресурсов в изменчивости особей генерализованной формы крупных африканских усачей комплекса Barbus (=Labeobarbus) intermedius в озерах Тана, Лангано и Аваса, Эфиопия // Вопр. ихтиологии. Т. 61. № 4. С. 455. https://doi.org/10.31857/S0042875221040135
- Мироновский А.Н., Слынько Е.Е. 2023. Сравнительный анализ структуры фенетического разнообразия алтайских османов рода Oreoleuciscus (Cyprinidae) в популяциях рек трех водных систем Монголии // Вопр. ихтиологии. Т. 63. № 3. С. 274. https://doi.org/10.31857/S0042875223030128
- Мироновский А.Н. 2022. Фенетическая радиация особей генерализованной формы крупных африканских усачей комплекса Barbus intermedius в озере Тана (Эфиопия) // Биология внутр. вод. № 1. С. 33. https://doi.org/10.31857/S0320965222010107
- Слынько Ю.В., Боровикова Е.А. 2012. Филогеография Алтайских османов (Oreoleuciscus sp., Cyprinidae, Pisces) по данным изменчивости нуклеотидных последовательностей гена цитохрома b митохондриальной ДНК // Генетика. Т. 48. № 6. С. 726.
- Слынько Ю.В., Дгебуадзе Ю.Ю. 2009. Популяционно-генетический анализ алтайских османов (Oreoleuciscus, Cyprinidae) из водоемов Монголии // Вопр. ихтиологии. Т. 49. № 5. С. 632.
- Dgebuadze Yu.Yu. 1995. The land/inland-water ecotones and fish population of Lake Valley (West Mongolia) // Hydrobiologia. V. 303. P. 235.
- Dgebuadze Yu.Yu., Mendsaikhan B., Dulmaa A. 2012. Diversity and distribution of Mongolian fish: recent state, trends and studies // Erforsh. Biol. Ress. Mongolei (Halle/Saale). V. 12. P. 219.
- Kartavtsev Yu.Ph., Batischeva N.M., Bogutskaya N.G. et al. 2016. Molecular systematics and DNA barcoding of Altai osmans, Oreoleuciscus (Pisces, Cyprinidae, and Leuciscinae), and their nearest relatives, inferred from sequences of cytochrome b (Cyt-b), cytochrome oxidase c (Co-1), and complete mitochondrial genome // Mitochondrial DNA Part A. V. 28. № 4. P. 502. https://doi.org/10.3109/24701394.2016.1149822
- Kottelat M. 2006. Fishes of Mongolia. A check-list of the fishes known to occur in Mongolia with comments on systematics and nomenclature. Washington: The World Bank. P. 103.
- Nagelkerke L.A.J., Sibbing F.A., van den Boogaart J.G.M. et al. The barbs (Barbus spp.) of Lake Tana: a forgotten species flock? // Environ. Biol. Fish. 1994. V. 39. P. 1. https://doi.org/10.1007/BF00004751
Supplementary files






