Radioecological Studies of the Lake Frog in the Reservoirs of the Middle Urals
- Authors: Chebotina M.Y.1, Guseva V.P.1, Berzin D.L.1
-
Affiliations:
- Institute of Plant and Animal Ecology, Ural Branch of the Russian Academy of Sciences
- Issue: Vol 17, No 3 (2024)
- Pages: 469-480
- Section: ВОДНАЯ ТОКСИКОЛОГИЯ
- URL: https://medbiosci.ru/0320-9652/article/view/266955
- DOI: https://doi.org/10.31857/S0320965224030111
- EDN: https://elibrary.ru/ZPCEPQ
- ID: 266955
Cite item
Full Text
Abstract
A study of the accumulation of radionuclides 90Sr, 134Cs, 137Cs by a lake frog (Pelophylax ridibundus Pall., 1771) living in the areas of the reservoirs of the Middle Urals was carried out. The variability of size and mass indicators and concentrations of radionuclides in animals in the surveyed area was noted. Increased concentrations of 137Cs and 134Cs were detected in some amphibian representatives compared to the average values. A significant decrease in the concentration of 90Sr in frogs with an increase in raw body weight was found on a large statistical material. Analysis of the data obtained on the concentrations of 90Sr and 137Cs in frogs of different sexes did not reveal a significant difference in the accumulation of both radionuclides between male and female animals, as well as in the accumulation of 90Sr by striata and strieless amphibians. It is shown that radionuclides 90Sr and 137Cs enter the animal body from water much more than from the ground, while with an increase in the concentration of radionuclide in the habitat, the coefficients of their transition into the animal body decrease.
Keywords
Full Text
ВВЕДЕНИЕ
Интерес к озерным лягушкам (Pelophylax ridibundus Pall., 1771) как объекту научных исследований в значительной степени вызван их использованием для производства пищевой продукции в ряде стран мира (Китай, Вьетнам, Франция, Бельгия, Корея, Италия, Испания, Голландия и др.), где этих амфибий активно культивируют в искусственных и природных водоемах. Мировой вылов животных достигает сотни тысяч тонн в год (Omoniy et al., 2012; Желанкин, 2020). Обеспечение радиационной чистоты продукции из природных водоемов — важные условие использования амфибий для пищевых целей. Кроме того, важность их исследования объясняется тем, что лягушки служат комплексными индикаторами экологического состояния окружающей среды, поскольку большинство их видов обитает и в водной, и в наземной среде. Кожа лягушек обладает высокой чувствительностью из-за ее проницаемости для воды, газов, а также радиоактивных и химических загрязнителей, присутствующих в среде обитания.
Проблема накопления радионуклидов озерной лягушкой в Уральском регионе представляет особый интерес в связи с широким использованием радионуклидов и ионизирующих излучений в различных областях производственной деятельности человека, вследствие чего возможно неконтролируемое поступление их в окружающую среду, в том числе в природные водоемы. На территории Уральского региона расположены крупнейшие в стране энергетические объекты (ПО “Маяк”, Белоярская атомная электростанция), произошла тяжелейшая радиационная катастрофа, оставившая после себя Восточно-Уральский радиоактивный след, проводились массовые подземные технологические взрывы, испытания ядерного оружия, сосредоточено производство и хранение ядерных боеприпасов, перерабатывается ядерное горючее, ведется добыча и первичная переработка урана и тория. Кроме того, регион испытывает загрязнение от природных радиоактивных источников. На фоне радиоактивного загрязнения окружающей среды в Уральском регионе регистрируют сильное загрязнение тяжелыми металлами. В связи с этим, в ряде промышленных центров и более удаленных территорий происходит загрязнение атмосферного воздуха, поверхностных и подземных вод, почв, растет заболеваемость населения (Первушкина, 1998; Уткин и др., 2004; Калинкин и др., 2020).
Для решения радиоэкологических проблем, возникших с развитием атомной промышленности на Урале, в ряде крупных городов (Екатеринбург, Челябинск, Озерск и др.) созданы научные центры для систематического наблюдения за состоянием окружающей среды в регионе и проведения фундаментальных научных исследований по данной проблеме. Результатом этих исследований служат монографии (Отдаленные…, 2000; Мокров, 2002, 2003; Уткин и др., 2004; Смагин, 2013; Киселев и др., 2016 и др.) и большое количество статей, опубликованных в научных журналах. Объектами исследований в работах служили различные природные среды (вода, воздух, почвы, грунты), представители растительного и животного мира (наземные и водные растения, лишайники, мышевидные грызуны, рыбы, планктон, скот и пр.), а также человек. В то же время радиоэкологические исследования озерной лягушки в Уральском регионе единичны и ограничиваются нашими работами (Берзин и др., 2020; Чеботина и др., 2021).
Озерная лягушка, один из широко распространенных чужеродных видов амфибий, случайно попала в водоемы Уральского региона и расселилась на значительной его территории. Считается, что на Урале озерная лягушка появилась в 70-е годы прошлого столетия (Топоркова и др., 1979; Вершинин, 2007а. Экологические особенности этого вида изучены и описаны в работах (Иванова, 1995; Вершинин, Иванова, 2006; Иванова, Жигальский, 2011). Благодаря высокой экологической пластичности, озерная лягушка широко распространена в водных экосистемах различных географических зон мира. Излюбленным местом ее обитания служат зоны подогрева водоемов–охладителей тепловых и атомных электростанций, где создаются благоприятные условия для жизни и размножения в течение всего года. Однако в условиях умеренных широт она благополучно живет и размножается при более низких температурах.
Цель работы — дать сравнительную оценку накопления радионуклидов 90Sr, 134Cs и 137Cs озерной лягушкой P. ridibundus, обитающей в водных объектах Среднего Урала.
МАТЕРИАЛ И МЕТОДЫ ИССЛЕДОВАНИЯ
Работу проводили в конце июля 2014–2019 гг. Материалом служили озерные лягушки, вода, водные растения, грунт в водных объектах Среднего Урала в пределах Свердловской обл. В их числе — водоем-охладитель Белоярской АЭС (БАЭС) (Белоярское водохранилище), водоемы-охладители Рефтинской и Верхнетагильской ГРЭС (Рефтинское и Верхнетагильское водохранилища), Верх-Нейвинское водохранилище, р. Тагил и другие более мелкие водные экосистемы (рис. 1). Ниже приведена краткая характеристика крупных водоемов.
Рис. 1. Карта района исследований. 1 – Белоярское водохранилище, промливневый канал (ПЛК) БАЭС; 2 – зона сброса подогретой воды из систем охлаждения атомной электростанции в Белоярское водохранилище; 3 – водоем в лесу за четвертым энергоблоком БАЭС; 4 – Рефтинское водохранилище, прибрежная часть водоема напротив Рефтинской ГРЭС; 5 – Рефтинское водохранилище, теплый канал; 6 – Рефтинское водохранилище, канал напротив гидроузла; 7 – Верхнетагильское водохранилище в районе ГРЭС; 8 – р. Тагил за плотиной Верхнетагильского водохранилища; 9 – изолированный водоем ниже плотины недалеко от точки 8; 10 – Верх-Нейвинское водохранилище в районе железнодорожного вокзала; 11 – небольшой водоем между сбросными каналами Уральского электрохимического комбината.
Белоярское водохранилище — водоем-охладитель Белоярской АЭС (БАЭС) — образовано в 1959–1963 гг. путем зарегулирования русла р. Пышма в 75 км от ее истока. Протяженность водоема ~20 км, ширина на уровне АЭС ~3 км. Глубина по фарватеру р. Пышма 15–20 м, средняя глубина 8–9 м. Площадь зеркала водоема ~47 км2. Белоярская атомная электростанция расположена на левом берегу водохранилища в 7 км от плотины. Пущена в эксплуатацию в 1964 г., первый и второй энергоблоки станции к настоящему времени уже выведены из эксплуатации. Сейчас на БАЭС находятся в эксплуатации два энергобока — третий (работает с 1980 г.) и четвертый (пущен в 2014 г.). За время работы первых трех энергоблоков основной путь поступления радионуклидов в Белоярское водохранилище — промливневый канал (ПЛК), куда сбрасывают дебалансные воды станции (воды, прошедшие спецводоочистку, воды спецпрачечных, душевых, талые и ливневые воды с территории станции). Кроме того, в канал поступают воды с соседнего предприятия Института реакторных материалов (ИРМ), где работает экспериментальный реактор. Из растений в канале преобладают рдест гребенчатый и кладофора, реже встречаются ряска, рдест курчавый и элодея. Планктон представлен 30 видами фито- и 10 видами зоопланктона. В канале много мальков рыб, кроме того, встречаются карась, лещ, чебак, окунь, отмечено обилие озерных лягушек, особенно в период размножения.
Рефтинское водохранилище — водоем-охладитель Рефтинской ГРЭС, крупнейшей тепловой электростанции России, расположенной в 100 км северо-восточнее г. Екатеринбург. Площадь водоема 25.3 км2, максимальная и средняя длины 14 и 4 км, максимальная и средняя глубины 22 и 5 м соответственно. Рефтинское водохранилище создано в 1968 г. на р. Рефт, левого притока р. Пышма. Водохранилище используют для технического водоснабжения Рефтинской ГРЭС. Температура воды в период наибольшего прогрева превышает естественную на 4.3–4.8°С, а перепад температур в различных частях водоема из-за сброса подогретой воды может достигать 10°С. Особенности экологии озерной лягушки, интродуцированной в Рефтинское водохранилище, описаны в работах (Большаков, Иванова, 2013; Иванова, 2017).
Верхнетагильское водохранилище образовано в 1960 г. в районе слияния рек Тагил и Вогулка. Площадь зеркала водоема 3.5 км2, средняя глубина 3.8 м, максимальная глубина 5 м. Водохранилище служит в качестве водоема-охладителя Верхнетагильской ГРЭС. Подогретую воду используют для обеспечения горячей водой населения и предприятий г. Верхний Тагил. По характеру теплового баланса Верхнетагильское водохранилище относится к категории водоемов с сильным перегревом, поскольку температура воды в нем постоянно превышает температуру воды в естественных водоемах на ≥6°С. Озерная лягушка была завезена в водохранилище из Краснодарского края в 80-х годах прошлого столетия при зарыблении водоема белым амуром (Топоркова и др., 1979; Вершинин, 2007а).
Верх-Нейвинское водохранилище − искусственно созданный в 1762 г. пруд в верховьях р. Нейва. Водохранилище расположено в юго-западной части Уральского электрохимического комбината Свердловской обл. Его площадь 13 км2, средняя и максимальная глубины — 3 и 9 м соответственно. Пруд питается стоком мелких рек длиной ≤10 км. На северо-западном берегу водоема находятся объекты транспортного и промышленного назначения: железнодорожная станция Верх-Нейвинск, подъездные пути и промплощадка Верх-Нейвинского завода (ныне – филиал “Производство сплавов цветных металлов” АО “Уралэлектромедь”), а также насосная станция. По юго-восточной границе Верх-Нейвинского завода расположена плотина пруда, здесь из него вытекает р. Нейва. Восточный берег водоема занят лесами, за которыми простирается цепь гор Верх-Исетского горного массива. В водоеме много заболоченных мест. Преобладающие виды рыб — щука, плотва, окунь, лещ, налим, карась.
В процессе выполнения работы лягушек ловили при помощи водного сачка, после чего усыпляли с помощью эфира. Растения и рыбу отбирали в трех повторностях, каждая из которых была 2–3 кг. Грунт отбирали пробоотборником на глубину 0–5 см. Пробы воды по 70 л в каждой точке наблюдений подкисляли соляной кислотой. После отбора все пробы транспортировали в лабораторию. Лягушек взвешивали, определяли длину, массу тела, пол и принадлежность к морфе striata. Все пробы после высушивания и озоления при температуре 500°С анализировали на содержание в них радионуклидов. Концентрацию 90Sr в пробах золы определяли радиохимическим методом (Трапезников и др., 2008). Радиометрию полученных осадков проводили на малофоновой установке УМФ-2000 (Россия) в трех повторностях при статистической ошибке счета 10–15%. Концентрацию 134, 137Cs определяли с помощью многоканальных γ-анализаторов фирмы “Canberra-Packard” и “ORTEC” (США) при ошибке измерений ≤10–20%. При проведении радиометрии на 90Sr каждую лягушку анализировали отдельно, на 134Cs и 137Cs — две-три пробы объединяли по половому признаку для повышения точности определений.
В процессе статистической обработки данных коэффициенты корреляции Пирсона и коэффициенты вариации рассчитывали с помощью пакета прикладных программ “Statistica v. 6.0”, StatSoft, 2001, США, лицензия № AXXR003A622407FAN8. Различия считали значимыми на уровне p <0.05. Среднюю квадратическую ошибку вычисляли с использованием таблиц Л.Б. Стрелкова (1966).
РЕЗУЛЬТАТЫ ИССЛЕДОВАНИЯ
Получены морфометрические показатели и коэффициенты вариации для озерных лягушек из различных мест обитания (табл. 1). В большинстве точек наблюдений озерные лягушки характеризовались близкими показателями длины (70–86 мм) и массы тела (53–62 г), за исключением животных из двух небольших почти изолированных водоемов (точки 3 и 9), где их масса тела была заметно больше (94–102 г). Возможно, это связано с благоприятными условиями жизни лягушек в указанных водоемах (отсутствием быстрого течения воды и штормовых волн, хорошим прогревом воды при небольшой глубине водоема, обильной пищевой базой и пр.).
Таблица 1. Характеристика озерной лягушки в точках отбора проб
Точки | Координаты | n | Длина тела, мм | Сырая масса тела, г | ||||
с.ш. | в.д. | ♀ | ♂ | |||||
1 | 56°51'10'' | 61°18'16'' | 11 | 32 | 79.4 ± 1.3 57.1–93.5* | (11) | 56.6 ± 2.7 21.5−105.5 | (34) |
2 | 56°49'53'' | 61°19'03'' | 11 | 39 | 75.2 ± 1.2 48.2–86.4 | (11) | 50.9 ± 1.7 19.1–80.8 | (24) |
3 | 56°53'11'' | 61°16'33'' | 3 | 18 | 95.5 ± 1.9 86.0–118.1 | (13) | 102.2 ± 6.8 190.1–75.6 | (33) |
4 | 57°10'13'' | 61°72'71'' | 9 | 33 | 70.6 ± 4.8 57.4−90.0 | (14) | 55.1 ± 5.0 15.0−96.6 | (31) |
5 | 57°06'18'' | 61°42'21'' | 34 | 20 | 86.2 ± 1.6 60.1–115.2 | (15) | 62.4 ± 3.1 26.0–130.2 | (43) |
6 | 57°06'25'' | 61°45'49'' | 18 | 13 | 73.3 ± 2.0 55.2–100.1 | (15) | 39.2 ± 3.4 14.4–92.6 | (53) |
7 | 57°21'21'' | 59°58'03'' | 21 | 15 | 77.3 ± 1.4 56.0−92.1 | (12) | 53.7 ± 2.4 19.1–79.9 | (29) |
8 | 57°22'43'' | 59°57'46'' | 12 | 21 | 85.6 ± 3.2 63.5–140.1 | (14) | 58.7 ± 3.2 31.2 ± 108.0 | (31) |
9 | 57°23'06'' | 59°57'41'' | 2 | 12 | 72.8 ± 8.3 10.1−110.8 | (39) | 94.4 ± 8.3 12.0−113.1 | (31) |
10 | 57°15'27'' | 60°07'04'' | 12 | 23 | 86.3 ± 2.2 60.1–115.0 | (11) | 66.6 ± 3.8 23.9–118.9 | (25) |
11 | 57°18'58'' | 60°05'01'' | 4 | 46 | 81.3 ± 1.1 67.2−102.1 | (11) | 53.6 ± 2.8 30.6−121.3 | (33) |
Примечание. Над чертой — среднее и его ошибка, под чертой — размах колебаний признака, в скобках — коэффициент вариации, %, * − разброс данных; n — количество особей, экз.
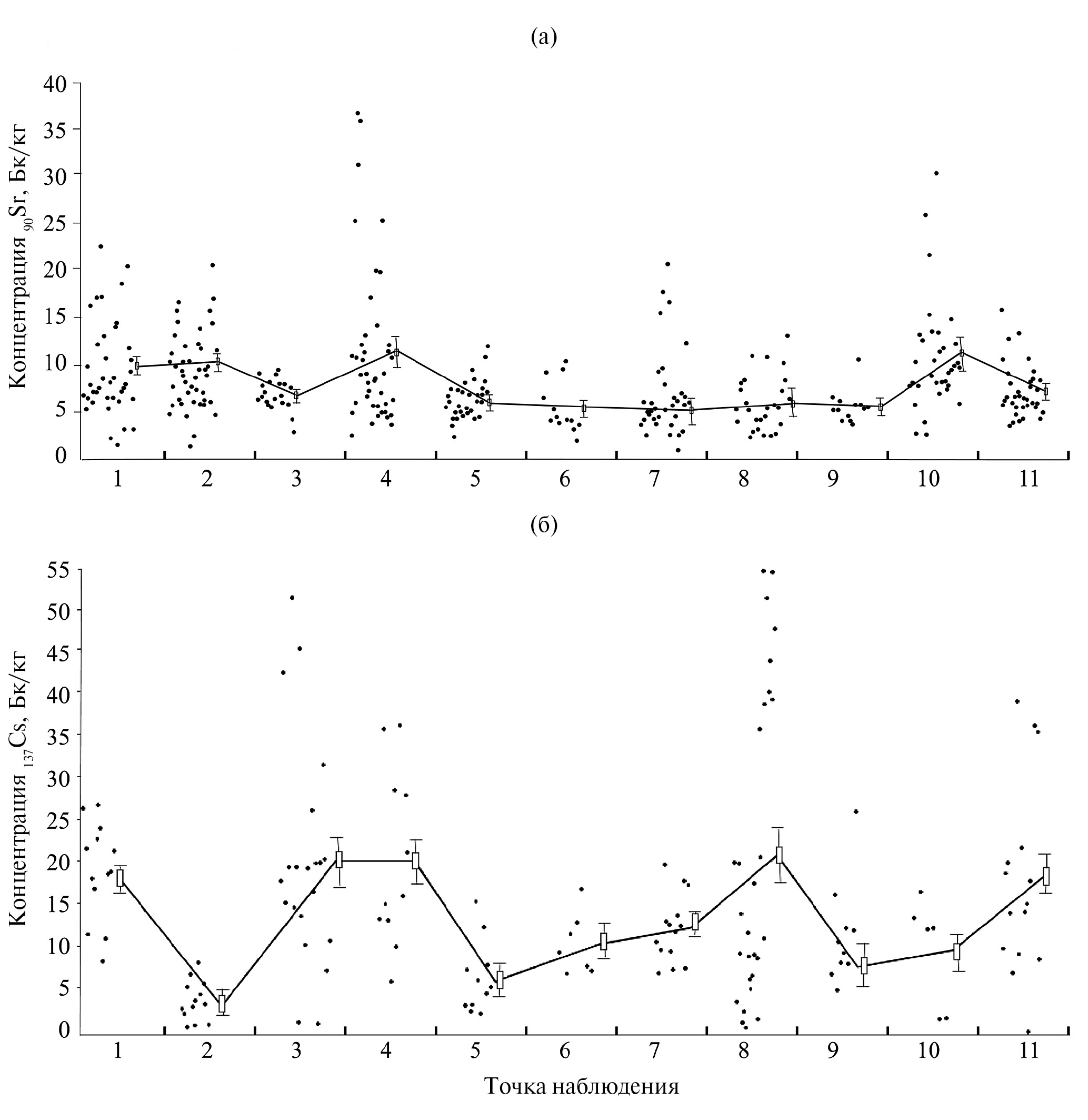
Выявлены индивидуальные и средние значения концентраций радионуклидов в лягушках, отобранных на исследуемых территориях Среднего Урала (рис. 2). Средние уровни концентраций 90Sr в лягушках различных местообитаний близки между собой (5.6–11.5 Бк/кг сухой массы), тогда как индивидуальные показатели в некоторых водоемах характеризуются заметной вариабельностью. К последним относятся, в основном, крупные водоемы − прибрежная часть Рефтинского водохранилища около ГРЭС (точка 4), побережье Верхнетагильского водохранилища вблизи ТЭЦ (точка 7), береговая часть Верх-Нейвинского водохранилища в районе железнодорожного вокзала (точка 10), примыкающий к Белоярской АЭС район Белоярского водохранилища (точки 1 и 2). Коэффициенты вариации концентраций 90Sr в лягушках для указанных точек наблюдений находятся в пределах 60−75%. Содержание радионуклида в лягушках, обитающих в мелких водоемах и каналах, как правило, более однородно, а коэффициенты вариации характеризуются более низкими значениями (24−32%).
Рис. 2. Индивидуальные и средние концентрации 90Sr (а) и 137Cs (б) у лягушек, отобранных на исследуемых территориях Среднего Урала.
Аналогичную ситуацию наблюдали для 137Cs. Средние значения концентраций радионуклида в лягушках различных мест наблюдений варьировали от 4.3 до 21.1 Бк/кг. Высокая вариабельность показателей отмечена для точек 3 (водоем в лесу за четвертым энергоблоком БАЭС), 4 (прибрежная часть Рефтинского водохранилища напротив ГРЭС), 8 (р. Тагил за плотиной Верхнетагильского водохранилища) и 11 (водоем между сбросными каналами Уральского электрохимического комбината). Коэффициенты вариации 137Cs в этих точках наблюдений имели наиболее высокие показатели (51–62%).
На фоне общей картины, характеризующей средние уровни концентраций радионуклидов в лягушках исследованной территории, у отдельных особей амфибий отмечены повышенные концентрации 137Cs и 134Cs. В частности, одна лягушка в точке 1 содержала 45 000 Бк/кг 137Cs, в другой лягушке из точки 8 обнаружено 52 904 Бк/кг радиоцезия. У этих двух особей отмечено повышенное содержание 134Cs (441 и 320 Бк/кг соответственно). Повышенная концентрация 137Cs (6914 Бк/кг) выявлена также у особи из Верх-Нейвинского водохранилища (точка 10), у трех особей из Рефтинского водохранилища напротив ГРЭС (101, 229 и 912 Бк/кг) (точка 4) и у особи с аномальным внешним видом и массой тела 11 г, отловленной в районе базы отдыха “Кедровая роща” на правом берегу Белоярского водохранилища (155 Бк/кг).
На большом статистическом материале установлено достоверное снижение концентрации 90Sr в лягушках с увеличением сырой массы тела (p <0.0002) (рис. 3). Для 137Cs такую связь установить не представилось возможным, поскольку в процессе радиометрии часть проб лягушек объединяли для увеличения точности определений.
Рис. 3. Зависимость концентрации 90Sr от сырой массы лягушек.
Анализ полученных данных по концентрациям 90Sr и 137Cs в лягушках разного пола на обследованной территории Среднего Урала не выявил достоверной разницы (p >0.05) в накоплении радионуклидов между самцами и самками (6.7 ± 0.8 и 8.5 ± 0.6 для 90Sr и 12.7 ± 1.2 Бк/кг и 15.1 ± ± 1.0 Бк/кг для 137Cs соответственно).
В связи с частой встречаемостью на Урале полосатых особей лягушек (striata) в некоторых точках наблюдений (точки 5–8) получены данные о накоплении 90Sr в животных, различающихся по этому признаку. В выборке, представленной 54 особями, не выявлены достоверные различия между полосатыми (5.6 ± 0.5 Бк/кг) и бесполосыми (5.4 ± 0.4 Бк/кг) особями (p >0.05).
Сравнительный анализ концентраций 90Sr и 137Cs в компонентах водных экосистем обследованной территории на Среднем Урале (табл. 2) свидетельствует о вариации этих показателей в различных точках наблюдений. В некоторых местах отмечены повышенные уровни содержания того или иного радионуклида в том или ином компоненте водного биоценоза. В частности, повышенные концентрации обоих радионуклидов в воде отмечены в промливневом канале БАЭС (точка 1), а также 137Cs в Верхнетагильском водохранилище в районе ГРЭС (точка 7). В этих же точках зарегистрированы повышенные концентрации 137Cs в грунте и растениях. В двух точках наблюдений (точки 1 и 5) содержание исследуемых радионуклидов в лягушках в среднем превышало таковое в рыбах.
Таблица 2. Средние концентрации 90Sr и 137Cs в компонентах водных экосистем из различных точек наблюдений
Объект исследования | Радионуклид | 1 | 2 | 3 | 4 | 5 | 6 | 7 | 8 | 9 | 10 | 11 |
Вода | 90Sr 137Cs | 20 ± 3 33 ± 1.2 | 12 ± 2 22 ± 6 | 3.3 ± 0.2 13 ± 6 | 12 ± 1 17 ± 7 | 4.1 ± 0.1 7.8 ± 1.2 | 4.3 ± 0.2 3.4 ± 1.1 | 16.5 ± 1.3 36 ± 7 | 3.6 ± 0.2 3.1 ± 1.2 | 4.5 ± 0.5 2.9 ± 1.8 | 10 ± 2 20 ± 10 | 6.9 ± 1.0 5 ± 2.2 |
Грунт | 90Sr 137Cs | 6.4 ± 1.5 81 ± 9 | 2.8 ± 1.3 120.4 ± 8 | 11.4 ± 2.0 46.2 ± 3 | 8.3 ± 1.0 8.3 ± 1.9 | 22.9 ± 3.3 25.4 ± 7.5 | – – | 13.1 ± 1.6 34.6 ± 10.8 | 26.0 ± 2.6 10.7 ± 0.9 | 9.8 ± 0.1 10.8 ± 1.2 | 9.1 ± 1.9 26 ± 4.9 | 21.2 ± 1.7 10.8 ± 0.8 |
Лягушка | 90Sr 137Cs | 9.7 ± 0.9 18.1 ± 1.7 | 10.1 ± 2.1 4.3 ± 0.6 | 6.6 ± 0.4 22.3 ± 2.6 | 11.1 ± 1.2 20.3 ± 3 | 5.8 ± 0.3 6.3 ± 0.5 | 5.6 ± 0.7 10.4 ± 1.5 | 6.5 ± 0.8 11.8 ± 1.0 | 5.2 ± 0.7 11.7 ± 2.1 | 5.7 ± 0.9 11.6 ± 2.2 | 11.5 ± 1.6 10.1 ± 2.8 | 6.6 ± 0.5 19 ± 2.6 |
Кладофора | 90Sr 137Cs | 21.6 ± 2.2 1156 ± 150 | 14.2 ± 2.4 20.4 ± 1.4 | 7.3 ± 1.1 6.9 ± 1.9 | 7.9 ± 0.9 17.5 ± 5.1 | 4.5 ± 0.9 5.2 ± 2.9 | – – | 9.9 ± 2.2 44.8 ± 13.4 | 4.4 ± 0.3 11.2 ± 1.4 | – – | нпо 19.4 ± 4.6 | 3.9 ± 0.9 15.5 ± 5 |
Роголистник | 90Sr 137Cs | – – | 14.1 ± 1.8 22.3 ± 1.3 | – – | – – | – – | – – | 4.1 ± 0.4 103.6 ± 30.6 | – – | – – | нпо 3.4 ± 0.9 | – – |
Карп садковый | 90Sr 137Cs | – – | – – | – – | – – | 3.9 ± 0.3 2.9 ± 0.9 | – – | – – | – – | – – | – – | – – |
Окунь Карась Лещ | 90Sr 137Cs 90Sr 137Cs 90Sr 137Cs | – – 1.5 ± 0.1 17.3 ± 0.6 1.7 ± 0.6 8.8 ± 1.8 | – – – – – – | – – – – – – | – – – – – – | 3.7 ± 0.1 2.1 ± 0.7 – – – – | – – – – – – | – – – – – – | – – – – – – | – – – – – – | – – – – – – | – – – – – – |
Примечание. Единицы измерения показателей: вода — Бк/м3, остальные компоненты — Бк/кг сухой массы; нпо — ниже предела обнаружений,
“–” – данные отсутствуют. 1–11 —точки наблюдений.
Получены коэффициенты перехода 90Sr и 137Cs в организм лягушек из воды и грунта в зависимости от содержания радионуклида в среде обитания (рис. 4). Для оценки коэффициентов перехода радионуклида из воды (Бк/л) или грунта (Бк/кг) в организм лягушки использовали отношение средней концентрации того или иного радионуклида в сухой массе амфибии в каждой точке наблюдений к его концентрации в воде или грунте. Из рис. 4 видно, что исследованные радионуклиды поступают из воды в организм амфибий.
Рис. 4. Коэффициенты перехода 90Sr и 137Cs в организм лягушек в зависимости от концентрации радионуклида в среде обитания из воды (а, в) и грунта (б, г) соответственно.
ОБСУЖДЕНИЕ РЕЗУЛЬТАТОВ
В плане обсуждения роли озерной лягушки как объекта радиоэкологических исследований следует подчеркнуть малое количество данных по вопросу о накоплении ими радионуклидов. Имеющиеся в литературе работы относятся преимущественно к сильно загрязненным территориям в послеаварийный период на Фукусимской и Чернобыльской АЭС (ЧАЭС) и р. Саванна в Южной Каролине (Dapson, Kaplan, 1975; Jagoe et al., 2002; Matsushima et al., 2015; Beresford et al., 2020; Burraco et al., 2021). Приведенные в этих работах результаты свидетельствуют, что при высоких уровнях радиоактивного загрязнения природной среды, в частности, при авариях на атомных предприятиях, лягушки способны накапливать радионуклиды в высоких концентрациях, достигающих уровня радиоактивных отходов (Методические…, 1998). В работе (Stark et al., 2004) показано, что в заболоченных экосистемах центрально-восточной части Швеции через 17 лет после Чернобыльской аварии средняя концентрация 137Cs в остромордой лягушке достигала 1.7 ± 1.1 кБк/кг сырой массы, при этом наиболее высокие значения отмечены для самых мелких особей амфибий (3.5 кБк/кг сырой массы). На примере района Чернобыльской АЭС установлено, что при длительном пребывании амфибий в водоемах этой зоны накопление 90Sr и 137Cs в костях скелета может привести к развитию процессов фиброзной остеодистрофии (Родионова и др., 1994). Загрязнение природной среды тяжелыми металлами создает дополнительные отрицательные нагрузки на организм животных, вызывая мутации и повреждения хромосом. В частности, в работе (Акынбек кызы, 2010) при исследовании кариотипа грызунов и амфибий, обитающих вблизи Майлыcуйского радиоактивного хвостохранилища с высоким содержанием тяжелых металлов, обнаружены структурные изменения хромосом, выражающиеся в разрыве плеч хромосом и появлении дицентрических фигур. В работе (Пястолова и др., 1996) в лягушках, обитающих на радиоактивно загрязненных территориях в зоне ПО “Маяк”, по сравнению с контрольным регионом выявлены физиологические и генетические различия в популяции лягушек. По данным (Вершинин, 2007б), установлены изменения в печени, крови, половых органах и продолжительности жизни лягушек на территории Уральского радиоактивного следа по сравнению с контролем. Обзор результатов исследования генетических и цитогенетических показателей у лягушек импактных территорий (Республика Коми) при воздействии опасных загрязнителей приведен в работе (Юшкова и др., 2018).
В настоящей работе представлены результаты исследования накопления радионуклидов 90Sr и 137Cs озерной лягушкой, обитающей в районах расположения крупных водоемов Среднего Урала (Белоярское, Рефтинское, Верхнетагильское и Верх-Нейвинское водохранилища). Исследованная территория не подвергалась крупным радиационным воздействиям и аварийным загрязнениям, хотя такие районы на Урале имеются (Уткин и др., 2004). Установлено, что для основной массы животных средние уровни концентраций 90Sr в разных местообитаниях близки между собой (5.6−11.5 Бк/кг), а в случае 137Cs они варьируют в более широком диапазоне концентраций (4.3−21.1 Бк/кг). В то же время, полученные результаты свидетельствуют о заметной вариабельности 90Sr и 137Cs в большинстве точек наблюдения. Для всей совокупности данных вариабельность накопления можно объяснить разнообразием гидрохимических условий, особенностями пищевой базы животных и прочими экологическими факторами в разных местонахождениях. В отдельных случаях высокое накопление 137Cs и появление в организме лягушек 134Cs может быть следствием тесного контакта животного с радиоактивной средой, например на БАЭС (путешествие в радиоактивную зону, попадание горячей частицы и пр.). Поскольку анализ возможных путей поступления радионуклидов в организм лягушек (неконтролируемые сбросы, наличие на территории пунктов временного хранения радиоактивных материалов и радиоактивных отходов и пр.) не входил в задачу исследования, объяснить повышенное накопление 134Cs и 137Cs в отдельных особях озерной лягушки не представляется возможным. Следует учесть, что лягушки могут мигрировать на большие расстояния − до 15 км (Tunner, 1992), и поэтому они могут быть переносчиками поглощенных радионуклидов с других территорий.
В данном исследовании на большом статистическом материале показано, что концентрация 90Sr достоверно снижается с увеличением массы тела лягушек. Последнее можно объяснить тем, что параметры массы и возраста животных обратно пропорционально связаны друг с другом. Поэтому, согласно многочисленным работам, с увеличением возраста величина отложения остеотропного 90Sr в скелете животных уменьшается (Шведов, Аклеев, 2001; Калистратова и др., 2016 и др.).
Полученные данные подтвердили более ранние результаты исследований об отсутствии различий в накоплении радионуклидов самцами и самками амфибий (Берзин и др., 2020).
В работе оценены сравнительные коэффициенты перехода радионуклидов 90Sr и 137Cs в организм лягушек из воды и грунта, свидетельствующие о большем переходе радионуклидов с водой. Очевидно, это связано с высокой проницаемостью кожи лягушек для воды, с которой радионуклиды поступают в организм преимущественно путем диффузии, однако не исключено их попадание вместе с пищей. Аналогичные данные о больших коэффициентах перехода 137Cs в тело лягушек Rana alvaris из воды относительно грунта (bioconcentration factor) представлены в работе (Stark et al., 2004). Полученные нами фактические данные о снижении коэффициентов перехода 90Sr и 137Cs в организм лягушек с увеличением их концентрации в среде обитания согласуются с данными других авторов на других природных объектах (Beresford, Wright, 2005; Sobakin et al., 2014; Mikhailovskaya et al., 2022), однако в настоящее время объяснение этой зависимости отсутствует.
Представленные в работе данные по накоплению радионуклидов в лягушках водоемов Среднего Урала можно использовать в качестве реперных показателей при аналогичных исследованиях на других территориях.
ЗАКЛЮЧЕНИЕ
Приведенные в работе данные по накоплению 90Sr и 137Cs озерной лягушкой свидетельствуют о вариабельности их концентраций в различных точках наблюдений, что можно объяснить разнообразием гидрохимических условий, особенностями пищевой базы животных и прочими экологическими факторами. На большом статистическом материале показано достоверное снижение концентрации 90Sr в лягушках с увеличением массы их тела. Оценены коэффициенты перехода 90Sr и 137Cs в организм лягушек из воды и грунта, свидетельствующие о большем поступлении радионуклидов с водой.
ФИНАНСИРОВАНИЕ
Работа выполнена в рамках государственных заданий Института экологии растений и животных Уральского отделения РАН № 122021000077-6 и № 122021000082-0. Никаких дополнительных грантов на проведение или руководство данным конкретным исследованием получено не было.
About the authors
M. Ya. Chebotina
Institute of Plant and Animal Ecology, Ural Branch of the Russian Academy of Sciences
Author for correspondence.
Email: Chebotina@ipae.uran.ru
Russian Federation, Yekaterinburg
V. P. Guseva
Institute of Plant and Animal Ecology, Ural Branch of the Russian Academy of Sciences
Email: Chebotina@ipae.uran.ru
Russian Federation, Yekaterinburg
D. L. Berzin
Institute of Plant and Animal Ecology, Ural Branch of the Russian Academy of Sciences
Email: Chebotina@ipae.uran.ru
Russian Federation, Yekaterinburg
References
- Акынбек кызы С. 2010. Изучение кариотипа некоторых позвоночных животных вблизи Майлысульского радиоактивного хвостохранилища // Известия вузов Кыргызстана. № 2. С. 32.
- Берзин Д.Л., Чеботина М.Я., Гусева В.П. 2020. Накопление радионуклидов в озерной лягушке Pelophylax ridibundus в зоне атомного предприятия // Биология внутр. вод. № 6. С 613. https://doi.org/10.31857/S0320965220060042
- Большаков В.Н., Иванова Н.Л. 2013. Озерная лягушка (Rana ridibunda Pall.) как объект мониторинга водоема-охладителя Рефтинской ГРЭС // Изв. Оренбург. аграрного ун-та. № 1. С. 245.
- Вершинин В.Л. 2007а. Амфибии и рептилии Урала. Екатеринбург: УрО РАН.
- Вершинин В.А. 2007б. Специфика жизненного цикла R. arvalis Nills. на территории Восточно-Уральского радиоактивного следа // Сиб. экол. журн. Вып. 4. С. 677.
- Вершинин В.Л., Иванова Н.Л. 2006. Специфика трофических связей вида-вселенца (Rana radibunda Pallas, 1771) в зависимости от условий обитаний // Поволж. экол. журн. № 3. С. 12.
- Желанкин Р.В. 2020. Хозяйственное значение генетических и биотехнических особенностей съедобной лягушки Pelophylax esculentus как объекта аквакультуры // Кролиководство и звероводство. Т. 2. № 5. С. 49. https://doi.org/10.24411/0023-4885-2020-105020
- Иванова Н.Л. 1995. Особенности экологии озерной лягушки (Rana radibunda Pall.), интродуцированной в водоемы-охладители // Экология. № 6. С. 473.
- Иванова Н.Л., Жигальский О.А. 2011. Демографические особенности популяций озерной лягушки (Rana radibunda Pall.), интродуцированной в водоемы Среднего Урала // Экология. № 5. С. 381.
- Иванова Н.Л. 2017. Характер и темпы роста озерной лягушки Pelophylax ridibundus Pall., интродуцированной в водоемы Среднего Урала // Изв. РАН. Серия биол. № 4. С. 413. https://doi.org/10.12737/1024-6177-2020-65-4-5-11
- Калистратова В.С., Беляев И.К., Жорова Е.С. и др. 2016. Радиобиология инкорпорированных радионуклидов. М: ФГБУ ГНЦ ФМБЦ им. А.И. Бурназяна ФМБА России.
- Калинкин Д.Е., Тахауов Р.М., Карпов А.Б. и др. 2020. Факторы влияния на состояние здоровья взрослого населения, проживающего в зоне действия предприятия атомной индустрии // Медицинская радиология и радиационная безопасность. № 65(4). С. 5. https://doi.org/10.12737/1024-6177-2020-65-4-5-11
- Киселев С.М., Жуковский М.В., Стамат И.П. и др. 2016. Радон: от фундаментальных исследований к практике регулирования. М.: Изд-во ФГБУ ГНЦ ФМБЦ им. А.И. Бурназяна.
- Мокров Ю.Г. 2002. Реконструкция и прогноз радиоактивного загрязнения р. Теча. Ч. 1. Озерск: Редакционно-издательский центр.
- Мокров Ю.Г. 2003. Реконструкция и прогноз радиоактивного загрязнения р. Теча. Ч. 2. Озерск: Редакционно-издательский центр.
- Методические указания по методам контроля МУК 2.6.1.717-98. 1998. М.: Минздрав России.
- Отдаленные эколого-генетические последствия радиационных инцидентов: Тоцкий ядерный взрыв. 2000. Екатеринбург: Изд-во “Екатеринбург”.
- Первушкина Н.Л. 1998. Здоровье потомков работников предприятия атомной промышленности — Производственного объединения “МАЯК”. М.: РАДЭКОН.
- Пястолова О.А., Вершинин В.Л., Трубецкая Е.А. и др. 1996. Использование амфибий в биоиндикационных исследованиях территории Восточно-Уральского радиоактивного следа // Экология. № 5. С. 378.
- Родионова Н.В., Мажуга П.М., Домашевская Е.И. и др. 1994. Изменения в гистоструктуре костного скелета у амфибий, обитающих в зоне отчуждения ЧАЭС // Проблемы Чернобыльской зоны отчуждения. Вып. 1. С. 139
- Смагин А.И. 2013. Экология водоемов в зоне техногенной радионуклидной геохимической аномалии на Южном Урале. Челябинск: Издат. центр ЮУрГУ.
- Стрелков Л.Б. 1966. Метод вычисления стандартной ошибки и доверительных интервалов средних арифметических величин с помощью таблицы. Сухуми: Алашара.
- Топоркова Л.Я., Боголюбова Т.В., Хафизова Р.Т. 1979. К экологии озерной лягушки, индуцированной в водоемы горно-таежной зоны Среднего Урала // Фауна Урала и Европейского Севера. Свердловск: Изд-во Уральск. гос. ун-та. С. 108.
- Трапезников А.В., Чеботина М.Я., Трапезникова В.Н. и др. 2008. Влияние АЭС на радиоэкологическое состояние водоема-охладителя. Екатеринбург: УрО РАН.
- Уткин В.И., Чеботина М.Я., Евстигнеев А.В. и др. 2004. Особенности радиационной обстановки на Урале. Екатеринбург: УрО РАН.
- Чеботина М.Я., Гусева В.П., Берзин Д.Л. 2021. Накопление долгоживущих радионуклидов озерной лягушкой в водоеме-охладителе Белоярской АЭС // Радиационная биология. Радиоэкология. Т. 61. № 1. С. 79. https://doi.org/10.31857/S0869803121010045
- Шведов В.Л., Аклеев А.В. 2001. Радиобиология стронция-90. Челябинск: УНПЦ РМ.
- Юшкова Е.А., Бондарь И.С., Шадрин Д.М. и др. 2018. Цитогенетические и молекулярно-генетические показатели в популяциях бесхвостых амфибий (Rana arvalis Nilsson) в условиях радиоактивного и химического загрязнения водной среды // Биология внутр. вод. № 3. С. 88. https://doi.org/10.1134/S0320965218030233
- Beresford N.A., Wright S.M. 2005. Non-linearity in radiocaesium soil to plant transfer: fact or fiction? // Radioprotection. V. 40. P. 67. https://doi.org/10.1051/radiopro: 2005s1-011
- Beresford N.A., Barnett С.L., Gashchak S. et al. 2020. Radionuclide transfer to wildlife at a ‘Reference site’ in the Chernobyl Exclusion Zone and resultant radiation exposures // J. Environ. Radioactivity. V. 211. P. 1. https://doi.org/
- Burraco P., Car C., Bonzom J.-M. et al. 2021. Assessment of exposure to ionizing radiation in Chernobyl tree frogs (Hyla orientalis) // Sci. Reports. V. 11. e20509. https://doi.org/10.1038/s41598-021-00125-9
- Dapson R.W., Kaplan L. 1975. Biological half-life and distribution of radiocesium in a contaminated population of green treefrogs Hyla cinerea // Oikos. V. 26. № 1. Р. 39. Copenhagen: Wiley. https://doi.org/10.2307/3543274
- Jagoe C.H., Majeske A.J., Oleksyk T.K. et al. 2002. Radiocesium concentrations and DNA strand breakage in two species of amphibians from the Chornobyl exclusion zone // Radioprotection. V. 37. P. 873. https://doi.org/10.1051/radiopro/2002217
- Matsushima N., Ihara S., Takase M. et al. 2015. Assessment of radiocesium contamination in frogs 18 months after the Fukushima Daiichi nuclear disaster // Sci. Reports. V. 5. P. 1. https://doi.org/10.038/srep09712
- Mikhailovskaya L.N., Pozolotina V.N., Modorov M.V. et al. 2022. Accumulation of 90SR by Betula pendula within the East Ural Radioactive Trace zone // J. Environ. Radioactivity. V. 250. https://doi.org/10.1016/j.jenvrad.2022.106914
- Omoniy L.O., Ajibola M.E., Bifarin J.O. 2012. Demand analysis for frog meat in Ondo State, Nigeria // Global journal of science frontier research agriculture & biology. Global Journals Inc. P. 8. https://doi.org/10.1007/s10935-020-00619-8
- Stark K., Avila R., Wallberg P. 2004. Estimation of radiation doses from 137Cs to frogs in a wetland ecosystem // J. Environ. Radioactivity. V. 75. P. 1. https://doi.org/ 10.1016/j.jenvrad.2003.12.011
- Sobakin P.I., Gerasimov Y.R., Chevychelov A.P. et al. 2014. Radioecological situation in the impact zone of the accidental underground nuclear explosion “Kraton-3” in the Republic of Sakha (Yakutia) // Radiatsionnaia Biol. Radioecol. V. 54. Р. 641. https://doi.org/10.7868/ S0869803114060125
- Tunner H.G. 1992. Locomotory behaviour in water frogs from Neusiedlersee (Austria, Hungari). 15 km migration of Rana lessonae and ist hybridogenetic associate Rana esculenta // Proceedings of the 6th Ordinary General Meeting of the SAH: Budapest (Hungarian Natural History Museum). P. 449.
Supplementary files






