The effect of moderate and acute hypoxia on the antioxidant enzyme complex of the tissues of the black sea mussel Mytilus galloprovincialis
- Authors: Gostyukhina O.L.1, Soldatov A.A.1,2
-
Affiliations:
- A.O. Kovalevsky Institute of Biology of the Southern Seas Russian Academy of Sciences
- Sevastopol State University
- Issue: Vol 17, No 5 (2024)
- Pages: 801-809
- Section: ЭКОЛОГИЧЕСКАЯ ФИЗИОЛОГИЯ И БИОХИМИЯ ГИДРОБИОНТОВ
- URL: https://medbiosci.ru/0320-9652/article/view/272443
- DOI: https://doi.org/10.31857/S0320965224050119
- EDN: https://elibrary.ru/XQUKVA
- ID: 272443
Cite item
Full Text
Abstract
The effect of moderate (2 mg O2/L) and acute (1 mg O2/L) hypoxia on the state of the antioxidant complex of the mussel Mytilus galloprovincialis (Lamarck, 1819) was studied. The activity of superoxiddismutase (SOD), catalase and glutathione peroxidase (GP) in the hepatopancreas and gills of the mollusk was determined. The reactions of the AO complex of mussels to oxygen deficiency depended on the degree of hypoxic exposure and had tissue specificity. Acute hypoxia had a more pronounced effect on the mussel than moderate. In the gills of the mollusk under acute hypoxia, an increase in the activity of all the studied enzymes was observed. In the digestive gland of the mussel, under these conditions, only catalase activity increased, and SOD significantly decreased. Under moderate hypoxia conditions, the AO protection of the mollusk gills was provided by SOD and GP, and in hepatopancreas – by activation of catalase and GP. These reactions indicate the development of moderate oxidative stress in mussel tissues under both hypoxia regimes. The features of the AO response of gills and hepatopancreas reflect their tissue-specific sensitivity to the effects of oxygen deficiency.
Keywords
Full Text
ВВЕДЕНИЕ
Двустворчатые моллюски–фильтраторы широко распространены в среде обитания с постоянными изменениями ее параметров, и в том числе, уровня растворенного в воде кислорода. Доступность кислорода для моллюсков изменяется в зависимости от сезонных факторов, ежедневно в процессе приливов и отливов, в связи с загрязнением вод, зарыванием моллюсков в донные осадки (Power and Sheehan, 1996; Livingstone, 2001; Donaghy et al., 2015; Li et al., 2022). Показано, что дефицит кислорода <2 мг О2/л вызывает у водных организмов ряд негативных функциональных изменений – снижение иммунных функций, замедление роста, повышение уязвимости перед хищниками и, в конечном итоге, приводит к массовой смертности и существенному снижению биоразнообразия гидробионтов (Diaz, Rosenberg, 2008; Vaquer-Sunyer, Duarte, 2008; Sui et al., 2017; Chen et al., 2022).
Установлено, что обитание организмов в условиях гипоксии связано с избыточным образованием различных АФК (Halliwell, Gutteridge, 1999; Li, Jackson, 2002; Ekau et al., 2010) и развитием ОС. Одной из эффективных молекулярных систем защиты от ОС, вызываемого избытком АФК, служит АО система. Она во многом регулирует баланс между продукцией и инактивацией АФК (Livingstone, 2001; Welker et al., 2013; Tomanek, 2015). Особое значение АО система имеет для двустворчатых моллюсков в связи с их физиолого-экологическими особенностями – обитанием в литоральной зоне, фильтрационным способом питания и постоянной высокой окислительной нагрузкой в их тканях (Zwaan et al., 1991; Livingstone, 2001; Woo et al., 2013; Soldatov et al., 2014). Ряд видов двустворчатых моллюсков относят к организмам, устойчивым к гипоксии и другим стрессовым воздействиям, например, Mytilus sp., Cerastoderma sp., Anadara sp. и др. (De Zwaan et al., 1991; Gostyukhina, 2021). Высокая устойчивость таких моллюсков к дефициту О2 во многом определяется эффективностью их системы АО защиты (Woo et al., 2013; Hermes-Lima et al., 2015; Sui et al., 2017). Показано, что параметры АО комплекса двустворчатых моллюсков весьма лабильны и могут существенно изменяться в зависимости от многих факторов – сезонности и репродуктивного цикла (Power, Sheehan, 1996; Soldatov et al., 2008), возраста, типа ткани и физико-химических характеристик окружающей среды (Di Guiulio et al., 1989; Livingstone, 2001), природы и степени ОС (Soldatov et al., 2014). Вместе с тем, АО ферменты, такие как каталаза, СОД, ГП и другие, способны эффективно обеспечивать защиту двустворчатых моллюсков от ОС (Livingstone, 2001; Soldatov et al., 2007; Sui et al., 2017). Изменения в состоянии АО защиты во время дефицита О2 способствуют адаптации моллюсков к повышению уровня АФК, что определяет выживание этих животных при периодическом дефиците О2 в водной среде (De Zwaan et al., 1991; Woo et al., 2013; Sui et al., 2017).
Мидия Mytilus galloprovincialis (Lam.) (сeм. Mytilidae) – один из массовых видов двустворчатых моллюсков–фильтраторов Черного моря, доминирующих по биомассе в зонах своих поселений и играющих важную экологическую роль в экосистемах моря (Заика и др., 1990). Мидию относят к видам, сравнительно устойчивым к дефициту кислорода и другим стресс-факторам среды, в том числе и за счет эффективной системы АО защиты (Soldatov et al., 2007; Woo et al., 2013; Гостюхина, Андреенко, 2018; Andreyeva et al., 2021; Gostyukhina et al., 2022), однако информация о реакциях АО системы этого моллюска в условиях умеренной и острой гипоксии в сравнительном аспекте фрагментарна.
Цель настоящей работы – выявить реакции АО комплекса тканей мидии M. galloprovincialis при воздействии умеренной (2 мг О2/л) и острой (1 мг О2/л) гипоксии.
МАТЕРИАЛ И МЕТОДЫ ИССЛЕДОВАНИЯ
Материалом для исследования служили взрослые особи черноморского двустворчатого моллюска M. galloprovincialis. Мидию размером 72–92 мм собирали в июне 2022 г. в акватории марихозяйства в бухте Карантинная (район г. Севастополя, Черное море) на глубине 1.5–2.0 м. После транспортировки для снятия стресса животных помещали на 3 сут в аквариумы объемом 50 л с проточной морской водой. Температура воды в аквариумах, как и в море, была 22.0 ± 0.5°C, соленость – 17–18‰. Затем моллюсков разделяли на три группы – контрольную и две опытных. В каждой группе было по 15 особей. Животных контрольной группы содержали при нормальном уровне кислорода в воде (6.7–6.8 мг О2/л), близкому к природному в месте сбора. Моллюски из опытных групп находились в условиях гипоксии в двух режимах – острой (1 мг О2/л) и умеренной (2 мг О2/л). Особей опытных групп помещали в аквариумы, а затем снижали концентрацию кислорода в воде путем барботажа азотом в течение 4 ч. Концентрацию кислорода измеряли с помощью оксиметра Ohaus ST300D (США). Длительность экспозиции составила 72 ч. Плотность посадки моллюсков была 10 особей на 30 л воды. Животных не кормили, поскольку они фильтровали природную морскую воду, содержавшую пищевые частицы. Для удаления метаболитов воду в аквариумах меняли каждые 12 ч. В аквариум с контрольной группой моллюсков наливали свежую морскую воду, в аквариумы с опытными мидиями – новую воду, барботированную азотом.
У моллюсков извлекали гепатопанкреас и жабры. Ткани немедленно высушивали фильтровальной бумагой, взвешивали, промывали в ледяном физиологическом растворе (0.85% NaCl), замораживали и хранили при температуре –80°С до использования. В день работы замороженные образцы тканей размораживали на льду и гомогенизировали с помощью гомогенизатора Potter-Elvehjem в 2 мл ледяного 20 мМ буфера Tris/HCl (рН = 7.5), содержащего 0.5 мм ЭДТА при температуре 0–4°С. Гомогенаты центрифугировали в течение 20 мин (11000 g, 4°C) на центрифуге Centrifuge 5424 R, Eppendorf (Cossi et al., 2020), супернатанты использовали для анализа немедленно. Активность СОД определяли по степени ингибирования восстановления нитросинего тетразолия (Nishikimi et al., 1972), каталазы – по реакции остаточных количеств пероксида водорода с молибдатом аммония (Goth, 1991). Активность ГП оценивали по накоплению окисленного глутатиона (GSSG) (Paglia, Valentine, 1967). Содержание белка определяли с помощью метода Лоури (Lowry et al., 1951). Активность ферментов оценивали при температуре 25.0 ± 0.5°С. Измерения экстинкции проводили на спектрофотометре ССП-715-М.
При статистической обработке цифрового материала использовали программу Excel-2019. Достоверность полученных различий оценивали с помощью U-критерия Манна–Уитни. Различия считали достоверными при p ≤0.05.
РЕЗУЛЬТАТЫ ИССЛЕДОВАНИЯ
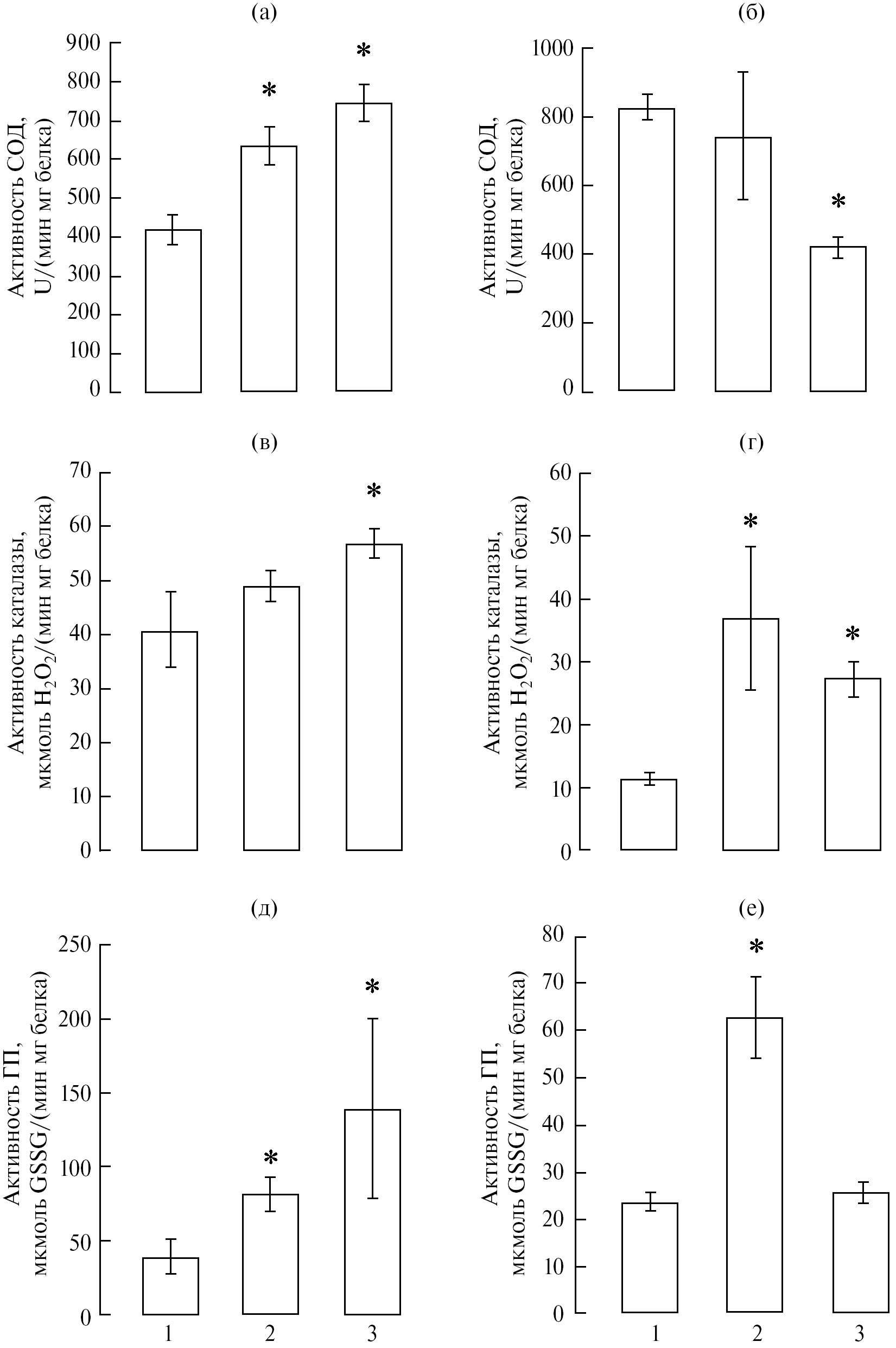
Жабры. Активность СОД, каталазы и ГП в жабрах мидий в условиях нормоксии (контроль) была 420.0 ± 38.16 U/(мин × мг белка), 40.9 ± 7.1 мкМ Н2О2/(мин × мг белка) и 39.1 ± 11 мкМ GSSG/(мин × мг белка) соответственно (рис. 1). Умеренная гипоксия (2 мг О2/л) сопровождалась ростом активности СОД и ГП. По сравнению с контрольной группой моллюсков различия были в 1.5 и 2.0 раза (р ≤0.05) соответственно (рис. 1а, 1д). Активность каталазы не менялась (рис. 1в).
Рис. 1. Активность СОД (а, б), каталазы (в, г) и ГП (д, е) в жабрах (а, в, д) и гепатопанкреасе (б, г, е) мидий в условиях гипоксии. 1 – контроль; 2 – гипоксия 2 мг О2/л; 3 – гипоксия 1 мг О2/л; U – относительные единицы; GSSG – окисленный глутатион, * – достоверные отличия от контроля (p ≤0.05).
В условиях острой гипоксии (1 мг О2/л) отмечали увеличение активности всех исследуемых ферментов. Рост активности СОД был сопоставим со значениями, отмеченными при концентрации кислорода 2 мг О2/л, – 1.8 раза (р ≤0.05), а ГП – существенно выше, в 3.5 раза (р ≤0.01) (рис. 1а, 1д). При этом активность каталазы достигала 56.8 ± 2.8 мкМ Н2О2/(мин · мг белка), что превышало контрольное значение в 1.4 раза (р ≤0.05) (рис. 1в).
Гепатопанкреас. Антиоксидантный ферментный комплекс данного органа имел явно выраженную специфику. Активность СОД в условиях нормоксии (контроль) почти в 2 раза (p <0.05) превышала отмеченную для жабр и составляла 828.0 ± 36.5 U/(мин × мг белка) (рис. 1б). Тогда как активность каталазы и ГП была существенно ниже, чем в жабрах: 11.4 ± 1.1 мкМ Н2О2/(мин · мг белка) и 23.7 ± 2.0 мкМ GSSG/(мин × мг белка) (рис. 1г, 1е). Различия составляли 3.6 (p <0.01) и 1.6 раза (p <0.05) (рис. 1в–1е).
Реакция гепатопанкреаса на условия экспериментальной гипоксии была не столь однозначна, как в случае с жабрами.
В условиях умеренной гипоксии (2 мг О2/л) отмечали рост активности каталазы и ГП (рис. 1г, 1е), различия были статистически значимы и составляли 3.2 и 2.6 раза (р ≤0.01) соответственно. Активность СОД при этом уровне гипоксии не изменялась (рис. 1б).
Острая форма гипоксии (1 мг О2/л) приводила к росту активности каталазы в 2.4 раза (р ≤0.01) (рис. 1г). Активность СОД, напротив, понижалась почти в 2 раза (p <0.05) (рис. 1б), активность ГП при этом оставалась на уровне контрольных значений (p >0.05) (рис. 1е).
ОБСУЖДЕНИЕ РЕЗУЛЬТАТОВ
Известно, что условия среды, и особенно содержание кислорода в воде, оказывают влияние на уровень АФК и состояние системы АО защиты двустворчатых моллюсков (Santovito et al., 2005; Soldatov et al., 2007; Andreeva et al., 2021; Andreeva et al., 2023). Кроме того, реакции АО комплекса моллюсков на действие факторов среды, как правило, тканеспецифичны (Soldatov et al., 2007; Gostyukhina, Andreenko, 2018).
В нашем исследовании дефицит кислорода, вероятно, вызвал усиление производства АФК и продуктов ПОЛ, что оказало влияние на активность исследованных ферментов и АО статус тканей. Одним из основных источников АФК у двустворок при дефиците кислорода являются митохондрии. При адаптации двустворчатых моллюсков к низкому содержанию кислорода происходит перестройка метаболизма тканей с аэробного на анаэробный путь генерации энергии (Storey, 1993; Donaghy et al., 2015). Митохондрии морских беспозвоночных, способных выживать в условиях аноксии, называют “анаэробно функционирующие” (Ivanina, Sokolova, 2016). Показано, что митохондриальная генерация АФК у морских беспозвоночных зависит от величины мембранного потенциала митохондрий и утечки из них протонов H+ (Abele et al., 2007). In vitro изолированные митохондрии морских двустворчатых моллюсков способны продуцировать АФК. Генерация АФК митохондриями в гипоксических условиях выявлена у двустворчатых моллюсков Arctica islandica (Steffen et al., 2021), Mya arenaria (Ouillon et al., 2021), Argopecten irradians (Ivanina, Sokolova, 2016) и других.
Рост продукции АФК может, в свою очередь, приводить к росту образования продуктов ПОЛ. Их накопление при дефиците кислорода выявлено в тканях ряда видов моллюсков – Mуtilus galloprovincialis (Andreyeva et al., 2021), M. coruscus (при 2 мг O2/л) (Sui et al., 2017), Perna perna (пребывание на воздухе) (Almeida et al., 2011), Geukensia demissa (при 2.5% O2) (Khan, Ringwood, 2016), сердцевидки Cerastoderma glaucum (0.8–0.9 мг О2/л) (Gostyukhina, 2021), анадары Anadara broughtonii (при 1.5–1.9 мг O2/л) (Andreyeva et al., 2023) и др.
Выявленные нами реакции АО комплекса мидии на действие гипоксии имели ряд различий в жабрах и гепатопанкреасе моллюска.
Жабры. Увеличение активности ферментов в жабрах носило согласованный характер – в обеих гипоксических группах наблюдали одновременный рост активности СОД и/или каталазы и ГП. Вероятно, реакции этих ферментов вызваны усилением продукции АФК под действием дефицита кислорода, что показано в ряде работ (Ouillon et al., 2021; Andreeva et al., 2023). Жабры как орган фильтрации и газообмена в норме отличаются повышенным уровнем АФК и поэтому могут быть более чувствительны к изменениям уровня кислорода в среде, чем другие органы моллюска (Santovito et al., 2005; Trevisan et al., 2016).
При острой (1 мг О2/л) гипоксии была выявлена активация всех трех исследованных нами ферментов, что свидетельствует о развитии в жабрах выраженного ОС. Считают, что повышенная ферментативная активность СОД, каталазы и ГП является индикатором окислительного стресса (Halliwell, Gutteridge, 1999). Как известно, СОД – первая и наиболее важная линия защиты от ОС среди АО ферментов (Tomanek et al., 2011). Очевидно, в данном случае СОД и каталаза последовательно обезвреживали СОАР и Н2О2, а ГП также принимала участие в инактивации Н2О2 и гидроперекисей. Активацию этих же АО ферментов при дефиците кислорода у моллюсков зафиксировали и другие исследователи – в жабрах мидии Mytilus coruscus (Sui et al., 2017), гребешка Chlamys farreri в течение краткой гипоксии (Chen et al., 2007), устрицы Pinctada fucata (Chen et al., 2022), Haliotis discus discus (De Zoysa et al., 2009) и других. Последнее подтверждает, что активация сразу нескольких АО ферментов, вероятно, связана с ростом уровня АФК и развитием определенного уровня ОС в жабрах моллюска при острой гипоксии, а также c формированием адаптивного ответа жабр исследованной нами мидии на стресс в этих условиях.
Напротив, при умеренной (2 мг О2/л) гипоксии активность каталазы была постоянной, а СОД и ГП – возрастала, что, по-видимому, свидетельствует о меньшей степени окислительной нагрузки в таких условиях, чем при острой гипоксии. Очевидно, избытку АФК в этом случае эффективно противостоят СОД и ГП, активность которых синхронно повышалась.
Аналогичные реакции выявлены и другими авторами. Как и в нашем исследовании, в условиях гипоксии 2 мг О2/л в жабрах мидии Mуtilus galloprovincialis отмечали рост активности СОД, однако активность каталазы не изменялась (Andreyeva et al., 2021). На этом фоне авторами обнаружено значительное повышение уровня экспрессии генов Mn-СОД, увеличение общего количества внутриклеточных АФК и смертности клеток в 10 раз, однако в экспрессии генов каталазы изменения не выявлены. Возможно, каталаза – более устойчивый к действию АФК фермент, чем СОД, и включается в АО защиту при более выраженной окислительной нагрузке.
Исследователи отмечают особую роль активации ГП в условиях гипоксии у моллюсков. Предполагают, что наряду с прямой инактивацией АФК рост активности ГП связан с подготовкой к ОС при выходе из гипоксии, что сопровождается резким усилением оксигенации тканей моллюска (Welker et al., 2013). Существенную роль ГП и глутатионовой системы в целом отмечают в тканях как у мидии (Гостюхина, Андреенко, 2018), так и у других моллюсков, устойчивых к гипоксии и ОС, – сердцевидки Cerastoderma glaucum, анадары Anadara kagoshimensis (Гостюхина Андреенко, 2018; Гостюхина, 2020; Gostyukhina, 2021), устрицы Pinctada fucata (Chen et al., 2022), а также Haliotis discus discus, у которого выявлен >10-кратный рост активности ГП при гипоксии (De Zoysa et al., 2009).
Гепатопанкреас. При острой (1 мг О2/л) гипоксии нами выявлено снижение активности СОД, что может быть связано с рядом причин. Одной из них может служить избыточное накопление АФК в гепатоцитах, а также специфическая чувствительность этого органа к ОС, возможно более высокая, чем у жабр. Кроме того, при пониженном поступлении кислорода наблюдается общее снижение содержания белка у толерантных к гипоксии животных (Ivanina, Sokolova, 2016). Это обусловлено, вероятно, общим снижением энергетических трат и интенсивности метаболизма у моллюсков при недостатке кислорода (Storey, 1993). Наряду с этим, возможно, происходит снижение уровня СОАР в гепатоцитах, что и ведет к снижению активности СОД, а основной вклад в окислительную нагрузку вносит Н2О2, образование которой связано не только с реакцией дисмутации СОАР, но и с другими источниками.
Показано (Pannunzio, Storey, 1998), что действие острой гипоксии на моллюска Littorina littorea вызвало снижение активности пяти АО ферментов в гепатопанкреасе, включая СОД. Авторы сделали вывод о выраженном влиянии дефицита О2 на этого моллюска в сочетании с высокой чувствительностью системы АО защиты в гепатопанкреасе, который является основным органом борьбы с АФК при гипоксии и других стрессах. В нашем исследовании при гипоксии 1 мг О2/л обнаружено снижение только активности СОД, что можно связать со снижением эффективности инактивации СОАР этим ферментом при выраженном гипоксическом воздействии у двустворок (Chen et al., 2022). Однако активность каталазы, напротив, существенно возрастала, а ГП оставалась неизменной. Это позволяет согласиться с выводами (Pannunzio, Storey, 1998), что АО защита гепатопанкреаса устойчивых к гипоксии моллюсков, по-видимому, способна справиться с увеличенным образованием АФК не только при гипоксии, но и при последующей реоксигенации.
Повышение активности каталазы в гепатопанкреасе при гипоксии 1 мг О2/л, вероятно, связано с возрастанием уровня пероксида водорода и необходимостью инактивации его больших количеств. Одним из основных источников Н2О2 в гемолимфе моллюсков при гипоксии служат митохондрии, вырабатывающие АФК в норме и при переходе к анаэробным процессам (Storey, 1993; Donaghy et al., 2015), а также аутоокисление дыхательного пигмента (Abele-Oeschger, Oeschger, 1995) и некоторые ферментные системы, например, НАДФН-оксидаза, имеющая тканеспецифическую экспрессию и активацию (Donaghy et al., 2015). Очевидно, в этих условиях каталаза имеет одно из ключевых значений в поддержании окислительно-восстановительного баланса в гепатопанкреасе мидии. Такой тип защитных АО реакций особенно важен для двустворчатых моллюсков, которые ведут прикрепленный образ жизни и не способны избегать неблагоприятных условий. Кроме того, это согласуется с гипотезой о преадаптации АО комплекса при выходе из гипоксии (Hermes-Lima, Zenteno-Savín, 2002). Высокая активность каталазы наряду с другими АО ферментами может способствовать адаптации моллюска при возврате организма к нормоксическим условиям.
По мнению (Welker et al., 2013), адаптация моллюсков к ОС при гипоксии может проходить с помощью избирательного повышения активности только одного из ключевых АО ферментов. Несмотря на снижение активности СОД в гепатопанкреасе мидии при гипоксии 1 мг О2/л, рост активности каталазы, вероятно, способствует адаптации моллюска к ОС при непродолжительной гипоксии. К подобным выводам приходят и в исследовании влияния краткосрочного дефицита кислорода (40 ч) на АО систему черноморской сердцевидки Cerastoderma glaucum, где также активность каталазы росла, а СОД снижалась (Gostyukhina, 2021). Учитывая, что длительность бескислородных условий в природе чаще всего невелика (несколько часов), вероятно, АО реакции в тканях мидии направлены на поддержание конститутивной АО защиты, достаточной для адаптации к нормальному диапазону колебаний уровня О2 и количества АФК в тканях (Pannunzio, Storey, 1998).
При умеренной (2 мг О2/л) гипоксии нами не выявлено изменений в активности СОД. Это может быть связано с меньшей окислительной нагрузкой, чем при острой гипоксии, а также с активацией каталазы, ГП и системы глутатиона в целом, которая также непосредственно преобразует H2O2. Показано, что инактивация пероксида водорода с помощью ГП – основной путь инактивации H2O2 в различных тканях двустворчатых моллюсков: гемоцитах Mуtilus galloprovincialis (Chatziargyriou, Dailianis, 2010), гепатопанкреасе Diplodon chilensis (Sabatini et al., 2011) и других. В условиях гипоксии 2 мг О2/л в гепатопанкреасе устрицы Pinctada fucata отмечали рост активности КАТ и ГП (Chen et al., 2022), как и в нашем исследовании, наряду с ростом активности СОД. Авторы связывают эти реакции с формированием адаптивного ответа моллюска на действие умеренной гипоксии.
ЗАКЛЮЧЕНИЕ
Реакции АО комплекса мидии на дефицит кислорода зависели от степени гипоксического воздействия и имели тканевую специфику. Острая гипоксия (1 мг О2/л) оказывала бóльшее воздействие на организм мидии, чем умеренная (2 мг О2/л). В жабрах моллюска это выражалось в активации всех исследованных ферментов. В пищеварительной железе мидии в этих условиях возрастала только активность каталазы, а СОД существенно снижалась. При умеренной гипоксии адаптации в жабрах мидии обеспечивались с участием СОД и ГП, активность которых повышалась, в гепатопанкреасе – преимущественно с участием возросшей активности каталазы и ГП. Эти реакции свидетельствуют о развитии умеренного ОС в тканях мидии при обоих режимах гипоксии. Особенности АО ответа жабр и гепатопанкреаса отражают их тканеспецифическую чувствительность на гипоксическое воздействие. Жабры мидии отличались более согласованными АО реакциями – ростом активности всех исследованных ферментов. В антиоксидантной защите гепатопанкреаса преобладало действие каталазы и ГП.
ФИНАНСИРОВАНИЕ
Работа проведена в рамках государственного задания Института биологии южных морей по темам “Функциональные, метаболические и молекулярно-генетические механизмы адаптации морских организмов к условиям экстремальных экотопов Черного и Азовского морей и других акваторий Мирового океана” (Номер гос. регистрации темы: 124030100137-6) и “Механизмы функционирования иммунной системы двустворчатых моллюсков и физиологические основы ее адаптации к абиотическим, биотическим и антропогенным факторам окружающей среды” (Номер гос. регистрации темы: 124030100090-4).
About the authors
O. L. Gostyukhina
A.O. Kovalevsky Institute of Biology of the Southern Seas Russian Academy of Sciences
Author for correspondence.
Email: gostolga@yandex.ru
Russian Federation, Sevastopol
A. A. Soldatov
A.O. Kovalevsky Institute of Biology of the Southern Seas Russian Academy of Sciences; Sevastopol State University
Email: gostolga@yandex.ru
Russian Federation, Sevastopol; Sevastopol
References
- Гостюхина О.Л. 2020. Особенности антиоксидантной глутатионовой системы в тканях черноморского двустворчатого моллюска (Cardiidae) // Биология внутр. вод. № 3. С. 299. https://doi.org/10.31857/S0320965220030079
- Гостюхина О.Л., Андреенко Т.И. 2018. Ферментное и низкомолекулярное звенья антиоксидантного комплекса двух видов черноморских моллюсков с разной устойчивостью к окислительному стрессу: Mytilus galloprovincialis Lam. и Anadara kagoshimensis (Tokunaga, 1906) // Журн. общ. биол. V. 79. № 6. С. 482. https://doi.org/10.1134/S0044459618060040
- Заика В.Е., Валовая Н.А., Повчун А.С., Ревков Н.К. 1990. Митилиды Черного моря. Науково-виробниче підприємство “Видавництво” “Наук. думка” НАН України”.
- Abele-Oeschger D., Oeschger R. 1995. Hypoxia-induced autoxidation of haemoglobin in the benthic invertebrates Arenicola marina (Polychaeta) and Astarte borealis (Bivalvia) and the possible effects of sulphide // J. Exp. Mar. Biol. and Ecol. V. 187. № 1. P. 63. https://doi.org/10.1016/0022-0981(94)00172-A
- Abele D., Philipp E., Gonzalez P., Puntarulo S. 2007. Marine invertebrate mitochondria and oxidative stress // Frontiers in Bioscience. V. 12. P. 933.
- Almeida E.A., Di Mascio P. 2011. Hypometabolism and antioxidative defense systems in marine invertebrates // Hypometabolism: Strategies of survival in vertebrates and invertebrates. Kerala: Research Signpost. P. 39.
- Andreyeva A.Y., Gostyukhina O.L., Kladchenko E.S., Afonnikov D.A. 2021. Hypoxia exerts oxidative stress and changes in expression of antioxidant enzyme genes in gills of Mytilus galloprovincialis (Lamarck, 1819) // Mar. Biol. Res. V. 17 № 4. P. 369. https://doi.org/10.1080/17451000.2021.1967992
- Andreyeva A.Y., Kladchenko E.S., Gostyukhina O.L., Chelebieva E.S. 2023. Antioxidant and cellular immune response to acute hypoxia stress in the ark shell (Anadara broughtonii) // Estuarine, Coastal and Shelf Sci. V. 281. P. 108222. https://doi.org/10.1016/j.ecss.2023.108222
- Chen J., Mai K., Ma H. et al. 2007. Effects of dissolved oxygen on survival and immune responses of scallop (Chlamys farreri Jones et Preston) // Fish & Shellfish Immunol. V. 22. № 3. P. 272. https://doi.org/10.1016/j.fsi.2006.06.003
- Chen J., Huang J., Peng J. et al. 2022. Effects of hypoxic stress on the digestion, energy metabolism, oxidative stress regulation, and immune function of the pearl oyster (Pinctada fucata martensii) // Aquacult. Reports. V. 25. P. 101246. https://doi.org/10.1016/j.aqrep.2022.101246
- Chatziargyriou V., Dailianis S. 2010. The role of selenium dependent glutathione peroxidase (Se-GPx) against oxidative and genotoxic effects of mercury in haemocytes of mussel Mytilus galloprovincialis (Lmk.) // Toxicology in vitro. V. 24. № 5. P. 1363. https://doi.org/10.1016/j.tiv.2010.04.008
- Cossi P.F., Herbert L.T., Yusseppone M.S. et al. 2020. Toxicity evaluation of the active ingredient acetamiprid and a commercial formulation (Assail® 70) on the non-target gastropod Biomphalaria straminea (Mollusca: Planorbidae) // Ecotoxicol. Environ. Saf. V. 192. e110248. https://doi.org/10.1016/j.ecoenv.2020.110248
- De Zoysa M., Whang I., Lee Y. et al. 2009. Transcriptional analysis of antioxidant and immune defense genes in disk abalone (Haliotis discus discus) during thermal, low-salinity and hypoxic stress // Comp. Biochem. and Physiol. Part B: Biochem. and Mol. Biol. V. 154. № 4. P. 387. https://doi.org/10.1016/j.cbpb.2009.08.002
- Di Giulio R.T., Washburn P.C., Wenning R.J. et al. 1989. Biochemical responses in aquatic animals: a review of determinants of oxidative stress // Environ. Toxicol. and Chem.: Int. J. V. 8(12). P. 1103-1123. https://doi.org/10.1002/etc.5620081203
- Diaz R.J., Rosenberg R. 2008. Spreading dead zones and consequences for marine ecosystems // Science. V. 321. P. 926. https://doi.org/10.1126/science.11564
- Donaghy L., Hong H.K., Jauzein C., Choi K.S. 2015. The known and unknown sources of reactive oxygen and nitrogen species in haemocytes of marine bivalve molluscs // Fish & Shellfish Immunol. V. 42. № 1. P. 91. https://doi.org/10.1016/j.fsi.2014.10.030
- Ekau W., Auel H., Portner H., Gilbert D. 2010. Impacts of hypoxia on the structure and processes in pelagic communities (zooplankton, macro-invertebrates and fish) // Biogeosciences. V. 7. № 5. P. 1669. https://doi.org/10.5194/bg-7-1669-2010
- Gostyukhina O.L. 2021. Short-term hypoxia effect on the state of the antioxidant complex in the Black Sea bivalve mollusk Cerastoderma glaucum (Bruguiere, 1789) // Rus. J. Mar. Biol. V. 47. P. 373. https://doi.org/10.1134/S1063074021050047
- Gostyukhina О.L., Andreyeva A.Yu., Chelebieva E.S. et al. 2022. Adaptive potential of the Mediterranean mussel Mytilus galloprovincialis to short-term environmental hypoxia // Fish and Shellfsh Immunol. V. 131. P. 654. https://doi.org/10.1016/j.fsi.2022.10.052
- Goth L. 1991. A simple method for determination of serum catalase activity and revision of reference range // Clin. Chim. Acta. V. 196. № 2–3. P. 143. https://doi.org/10.1016/0009-8981(91)90067-m
- Halliwell B., Gutteridge J.M.C. 1999. Free radicals in biology and medicine. Oxford: Oxford Univ. Press.
- Hermes-Lima M., Zenteno-Savín T. 2002. Animal response to drastic changes in oxygen availability and physiological oxidative stress // Comp. Biochem. Physiol. Part C: Toxicol. Pharmacol. V. 133. № 4. P. 537. https://doi.org/10.1016/S1532-0456(02)00080-7
- Hermes-Lima M., Moreira D.C., Rivera-Ingraham G.A. et al. 2015. Preparation for oxidative stress under hypoxia and metabolic depression: revisiting the proposal two decades later // Free Radical Biology and Medicine. V. 89. P. 1122. https://doi.org/10.1016/j.freeradbiomed.2015.07.156
- Ivanina A.V., Sokolova I.M. 2016. Effects of intermittent hypoxia on oxidative stress and protein degradation in molluscan mitochondria // J. Exp. Biol. V. 219. № 23. P. 3794. https://doi.org/10.1242/jeb.146209
- Khan B., Ringwood A.H. 2016. Cellular biomarker responses to hypoxia in eastern oysters and Atlantic ribbed marsh mussels // Mar. Ecol. Progress Ser. V. 546. P. 123. https://doi.org/10.3354/meps11622
- Li C., Jackson R.M. 2002. Reactive species mechanisms of cellular hypoxia-reoxygenation injury // Am. J. Physiology-Cell Physiol. V. 282(2), P. 227. https://doi.org/10.1152/ajpcell.00112.2001
- Li Z., Chang X., Hu M., Fang J.K. 2022. Is microplastic an oxidative stressor? Evidence from a meta-analysis on bivalves // J. Hazard Mater. V. 423. P. 127211. https://doi.org/10.1016/j. jhazmat.2021.127211
- Livingstone D.R. 2001. Contaminant-stimulated reactive oxygen species production and oxidative damage in aquatic organisms // Mar. Pollut. Bull. V. 42. № 8. P. 656. https://doi.org/10.1016/S0025-326X(01)00060-1
- Lowry O.H., Rosebrough N.J., Farr A.L., Randall R.J. 1951. Protein measurement with the Folin phenol reagent // J. Biol. Chem. V. 193. P. 265. https://doi.org/10.1016/S0021-9258(19)52451-6
- Nishikimi M., Rao N.A., Yagi K. 1972. The occurrence of superoxide anion in the reaction of reduced phenazine methosulfate and molecular oxygen // Biochem. Biophys. Res. Commun. V. 46. № 2. P. 849. https://doi.org/10.1016/s0006-291x(72)80218-3
- Ouillon N., Sokolov E.P., Otto S., Rehder G. 2021. Effects of variable oxygen regimes on mitochondrial bioenergetics and reactive oxygen species production in a marine bivalve, Mya arenaria // J. Exp. Biol. V. 224. № 4. P. jeb237156. https://doi.org/10.1242/jeb.237156
- Paglia D., Valentine W. 1967. Studies on the quantitative and qualitative characterization of erythrocyte glutathione peroxidase // J. Lab. Clin. Med. V. 70. № 1. P. 158.
- Pannunzio T.M., Storey K.B. 1998. Antioxidant defenses and lipid peroxidation during anoxia stress and aerobic recovery in the marine gastropod Littorina littorea // J. Exp. Mar. Biol. and Ecol. V. 221. № 2. P. 277. https://doi.org/10.1016/S0022-0981(97)00132-9
- Power A., Sheehan D. 1996. Seasonal variation in the antioxidant defence systems of gill and digestive gland of the blue mussel, Mytilus edulis // Comp. Biochem. and Physiol. Part C: Pharmacol., Toxicol. and Endocrinol. V. 114. № 2. P. 99. https://doi.org/10.1016/0742-8413(96)00024-2
- Sabatini S.E., Rocchetta I., Luquet C.M., Guido M.I. 2011. Effects of sewage pollution and bacterial load on growth and oxidative balance in the freshwater mussel Diplodon chilensis // Limnologica. V. 41. № 4. P. 356. https://doi.org/10.1016/j.limno.2011.04.004
- Santovito G., Piccinni E., Cassini A., et al. 2005. Antioxidant responses of the Mediterranean mussel, Mytilus galloprovincialis, to environmental variability of dissolved oxygen // Comp. Biochem. and Physiol. Part C: Toxicol. & Pharmacol. V. 140 (3–4). P. 321. https://doi.org/10.1016/j.cca.2005.02.015
- Soldatov A.A., Gostyukhina O.L., Golovina I.V. 2007. Antioxidant enzyme complex of tissues of the bivalve Mytilus galloprovincialis Lam. under normal and oxidative-stress conditions: a review // Appl. Biochem. and Microbiol. V. 43. P. 556. https://doi.org/10.1134/S0003683807050092
- Soldatov A.A., Gostyukhina O.L., Golovina I.V. 2008. State of the antioxidant enzyme complex in tissues of the Black Sea mollusc Mytilus galloprovincialis under natural oxidative stress // J. Evol. Biochem. and Physiol. V. 44. P. 175. https://doi.org/10.1134/S0022093008020047
- Soldatov A.A., Gostyukhina O.L., Golovina I.V. 2014. Functional states of antioxidant enzymatic complex of tissues of Mytillus galloprovincialis Lam. under conditions of oxidative stress // J. Evol. Biochem. and Physiol. V. 50. P. 206. https://doi.org/10.1134/S0022093014030028
- Steffen J.B., Haider F., Sokolov E.P., Bock C. 2021. Mitochondrial capacity and reactive oxygen species production during hypoxia and reoxygenation in the ocean quahog, Arctica islandica // J. Exp. Biol. V. 224. № 21. P. jeb243082. https://doi.org/10.1242/jeb.243082
- Storey K.B. 1993. Molecular mechanisms of metabolic arrest in mollusks // Surviving hypoxia: mechanisms of control and adaptation. P. 253.
- Sui Y., Hu M., Shang Y., Wu F. 2017. Antioxidant response of the hard-shelled mussel Mytilus coruscus exposed to reduced pH and oxygen concentration // Ecotoxicol. and Environ. Saf. V. 137. P. 94. https://doi.org/10.1016/j.ecoenv.2016.11.023
- Tomanek L. 2015. Proteomic responses to environmentally induced oxidative stress // J. Exp. Biol. V. 218. P. 1867. https://doi.org/10.1242/jeb.116475
- Tomanek L., Zuzow M., Ivanina A. et al. Proteomic response to elevated PCO2 level in eastern oysters, Crassostrea virginica: evidence for oxidative stress // J. Exp. Biol. V. 214. P. 1836. https://doi.org/10.1242/jeb.055475
- Trevisan R., Mello D.F., Delapedra G. et al. 2016. Gills as a glutathione-dependent metabolic barrier in Pacific oysters Crassostrea gigas: Absorption, metabolism and excretion of a model electrophile // Aquat. Toxicol. V. 173. P. 105. https://doi.org/10.1016/j.aquatox.2016.01.00
- Vaquer-Sunyer R., Duarte C. 2008. Thresholds of hypoxia for marine biodiversity // Proc. Nat. Acad. Sci. V. 105. № 40. P. 15452. https://doi.org/10.1073/pnas.0803833105
- Welker A., Moreira D., Campos É., Hermes-Lima M. 2013. Role of redox metabolism for adaptation of aquatic animals to drastic changes in oxygen availability // Comp. Biochem. and Physiol. Part A: Mol. and Integr. Physiol. V. 165. № 4. P. 384. https://doi.org/10.1016/j.cbpa.2013.04.003
- Woo S., Denis V., Won H. et al. 2013. Expressions of oxidative stress-related genes and antioxidant enzyme activities in Mytilus galloprovincialis (Bivalvia, Mollusca) exposed to hypoxia // Zool. Stud. V. 52. P. 1. https://doi.org/10.1186/1810-522X-52-15
- Zwaan A., Cortesi P., ThiHart G., van den Roos J. 1991. Differential sensitivities to hypoxia by two anoxia-tolerant marine molluscs: a biochemical analysis // Mar. Biol. V. 111. P. 343. https://doi.org/10.1007/BF01319405
Supplementary files



