Characterization of carbohydrate specificity of monoclonal antibodies to fungal antigenic markers using biotinylated oligosaccharides as coating antigens
- Authors: Gening M.L.1, Polyanskaya A.V.1, Kuznetsov A.N.1, Titova A.D.1, Yudin V.I.1, Yashunskiy D.V.1, Tsvetkov Y.E.1, Yudina O.N.1, Krylov V.B.1, Nifantiev N.E.1
-
Affiliations:
- N.D. Zelinsky Institute of Organic Chemistry, Russian Academy of Sciences
- Issue: Vol 89, No 12 (2024)
- Pages: 2070-2080
- Section: Articles
- URL: https://medbiosci.ru/0320-9725/article/view/283275
- DOI: https://doi.org/10.31857/S0320972524120045
- EDN: https://elibrary.ru/IFSICH
- ID: 283275
Cite item
Full Text
Abstract
Mannan and β-(1→3)-glucan are two polysaccharide markers that are characteristic for a number of fungal pathogens, including Candida albicans, which is the most common cause of invasive mycoses in humans. In this study, we examined the epitope specificity of two monoclonal antibodies, CM532 and FG70, which recognize certain oligosaccharide fragments from these fungal polysaccharides. Using a panel of biotinylated oligosaccharides as coating antigens, we found that antibody CM532, obtained by immunization with a pentamannoside β-Man-(1→2)-β-Man-(1→2)-α-Man-(1→2)-α-Man-(1→2)-α-Man KLH conjugate, selectively recognizes the trisaccharide β-Man-(1→2)-α-Man-(1→2)-α-Man epitope. Another antibody, FG70, obtained by immunization with heptaglucan β-Glc-(1→3)-[β-Glc-(1→3)]5-β-Glc with KLH, interacts with a linear β-(1→3)-linked pentaglucoside fragment, and the presence of 3,6-branches within this epitope does not significantly affect the interaction efficiency. The data obtained indicate that the monoclonal antibodies under consideration can be used to create currently lacking effective diagnostics for the detection of fungal infections.
Full Text
Принятые сокращения: ИК – инвазивный кандидоз; ПАА – полиакриламид; ФСБ – фосфатно-солевой буфер; KLH – гемоцианин Megathura crenulata.
ВВЕДЕНИЕ
Инвазивные микозы представляют собой серьёзную угрозу для здоровья населения, особенно для людей с ослабленным иммунитетом [1]. Распространённость этих инфекций значительно возросла в последние десятилетия. Согласно статистическим данным, которые получены в самое последнее время, ежегодная заболеваемость инвазивными грибковыми инфекциями составляет 6,5 млн случаев в год, что приводит к 3,8 млн смертей, из которых около 2,5 млн являются прямым следствием грибковой инфекции [2]. Данные показатели превышают таковые для многих других наиболее опасных инфекционных заболеваний, включая туберкулёз и малярию. Одним из наиболее распространённых видов инвазивных грибковых инфекций является инвазивный кандидоз (ИК). Ежегодно около 1,56 млн человек заболевают ИК, при этом 995 000 человек умирают [2].
Диагностика грибковых инфекций значительно улучшилась за последние 10–15 лет, однако качество известных на сегодня тестов не позволяет получать достоверные результаты, а их доступность и фактическое использование ограничены [3]. Культуральные методы, т.е. выращивание культуры патогенного гриба, выделенного из крови или других физиологических жидкостей, является золотым стандартом в диагностике ИК, однако данные методы требуют продолжительного времени (от нескольких дней до недели), что является серьёзным недостатком с учётом неотложности клинического состояния пациентов при инвазивных микозах [4]. Методы ПЦР-диагностики пока не дают эффективного результата при обнаружении инвазивных микозов, для детекции которых более широко используются методы иммуноферментного анализа (ИФА). Их примерами являются диагностические наборы, обнаруживающие галактоманнан Aspergillus и маннан Candida, а также соответствующие антитела [3]. Для обнаружения грибкового β-(1→3)-глюкана используется тест-система на основе лизата амебоцитов мечехвоста (Limulus polyphemus) [5], популяция которого является ограниченной и исчерпаемой. Данный тест способен давать ложноположительные результаты вследствие своей высокой чувствительности и неудобен при дробном использовании диагностического набора [6]. Представляется целесообразным заменить его на ИФА-формат.
Выбор диагностических маркеров и гомологичных антител является ключевой проблемой при разработке тест-систем ИФА. Они должны эффективно выявлять присутствие грибковых патогенов в организме даже на ранних стадиях инфекции. Одним из практически важных маркеров является полисахарид β-(1→3)-глюкан – компонент клеточной стенки многих грибов, включая Candida, Aspergillus и Pneumocystis jirovecii [7]. Тесты, детектирующие β-(1→3)-глюкан, используются для диагностики инвазивных микозов, вызываемых данными патогенными грибами [8]. Наличие этого маркера в сыворотке крови свидетельствует о наличии грибковой инфекции, однако тест не является специфичным для какого-то одного рода гриба, поэтому его результаты должны интерпретироваться в контексте с клинической картиной и другими диагностическими тестами.
Другой антигенный маркер, маннан, является компонентом клеточной стенки грибов рода Candida. Тест на маннан используется для диагностики инвазивного кандидоза [9]. Антитела, специфичные к маннану, также могут быть обнаружены в крови пациентов и указывают на иммунный ответ на инфекцию Candida [10]. Использование комбинации тестов на маннан и комплементарные антитела повышает чувствительность и специфичность диагностики ИК [11]. Однако существующие тесты характеризуются недостаточной чувствительностью, что связано с выбором выявляемого эпитопа в структуре сложного и гетерогенного маннана [12, 13].
Разработка эффективных тест-систем ИФА для обнаружения β-(1→3)-глюкана и маннана требует наличия соответствующих высокоаффинных антител, распознающих строго определённую олигосахаридную последовательность. Целью данной работы является характеристика углеводной специфичности двух моноклональных антител, СM532 и FG70, к грибковым антигенным маркерам с использованием серии олигосахаридов, полученных синтетическим путём. Особенностью проведённой работы является использование в качестве иммуногенов синтетических олигосахаридов определённого строения, которые, в отличие от гетерогенных грибковых полисахаридов, могут быть воспроизводимо получены и структурно охарактеризованы. Кроме того, показано, что достаточно широко распространённое использование в качестве покрывающих антигенов гликоконъюгатов на основе полиакриламида (ПАА) [14] может приводить к получению неточных и завышенных результатов по специфичности антител. Применение в качестве покрывающих антигенов биотинилированных олигосахаридов, которые могут быть нанесены количественно на слайды чипов и иммунологические планшеты [15], позволяет получать более точные данные об углеводной специфичности исследуемых антител.
МАТЕРИАЛЫ И МЕТОДЫ
Материалы. Все реакции проводили в растворителях, очищенных по стандартным методикам. Гель-хроматографию активированных эфиров олигосахаридных лигандов проводили на колонке (0,9 × 30 см) с гелем TSK HW-40(S) («Tosoh Bioscience», Япония) в 0,5 М AcOH; скорость потока – 0,3 мл/мин; элюат анализировали с помощью проточного рефрактометра Knauer К-2401 («Knauer GmbH», Германия). Диализ проводили в диализных кассетах Slide-A-Lyzer™ Dialysis Cassettes (10K MWCO, 3 мл), согласно инструкции производителя («Thermo Fisher Scientific», США).
Спектры ЯМР регистрировали при 25 °С на приборе Bruker Avance 600 («Bruker Corporation», США) в тяжёлой воде (D2O); в качестве внутреннего стандарта использовался ацетон (δH 2,225; δC 31,45). Масс-спектры высокого разрешения были зарегистрированы на приборе Bruker micrOTOF II («Bruker Corporation») методом электрораспылительной ионизации (ESI).
Синтез иммуногенов. Получение активированных лигандов 1-AE и 2-АЕ. К растворам олигосахаридных лигандов 1 и 2 (1,03 мг; 1,16 мкмоль – для 1; 1,38 мг; 1,14 мкмоль – для 2) в диметилформамиде (ДМФА; 100 мкл), содержащем Et3N (0,1 мкл), добавляли раствор бис(4-нитрофенил)(оксибис(этан-2,1-диил))бис(карбоната) (5,07 мг; 11,5 мкмоль; 10 экв.) в ДМФА (200 мкл). Полученную реакционную смесь гомогенизировали на вортексе и выдерживали при комнатной температуре в течение 20 мин, затем упаривали досуха на роторном испарителе. Остаток растворяли в EtOAc (5,0 мл) и экстрагировали активированные эфиры 1-АЕ и 2-AE 0,1 M AcOH (3 раза по 2,0 мл), объединённую водную фазу упаривали на роторном испарителе. Остаток растворяли в 0,5 мл 0,5 М AcOH и наносили на колонку с гелем TSK HW-40(S) (0,9 × 30 см; элюент – 0,5 М AcOH). Фракции, содержащие целевой продукт, упаривали досуха, затем остаток растворяли в воде (0,5 мл) и лиофилизировали. Производные 1-AE (1,00 мг; 73%) и 2-АЕ (1,20 мг; 70%) получали в виде белых аморфных порошков. В спектре 1H ЯМР полученных продуктов 1-AE и 2-АЕ присутствовали сигналы углеводной части, практически не отличающиеся от соответствующих данных спектров исходных (3-аминопропил) гликозидов 1 и 2, а также идентичные для обоих продуктов характеристичные сигналы агликона. Спектр 1H ЯМР (600 МГц, D2O, δ, м.д., J/Гц; характеристичные сигналы агликона): 4,11 (м, 2 H, СHaHbOC=O); 4,37 (м, 2 H, СHaHbOC=O); 7,37 (д, 2 H, pNPh, J = 9,0); 8,24 (д, 2 H, pNPh, J = 9,0). 1-AE – найдено: m/z 1205,3705 [M + Na]+ C45H70N2O34; вычислено: M + Na = 1205,3702. 2-АЕ – найдено: m/z 1529,4752 [M + Na]+ C57H90N2O44; вычислено: M + Na = = 1529,4759.
Получение конъюгатов с KLH (гемоцианин Megathura crenulate). Раствор KLH («Sigma-Aldrich», США; H8283; 4,4 мг/мл; 500 мкл) вносили в предварительно гидратированную диализную кассету, которую помещали в 200 мл фосфатного буфера (50 мM, pH 8,55), который меняли через 2, 4, и 16 ч. Раствор KLH извлекали из кассеты и делили на две части по 250 мкл (4,0 мг/мл), к которым добавляли водные растворы активированных лигандов 1-AE (1,0 мг в 40 мкл H2O) или 2-AE (1,2 мг в 50 мкл H2O). Полученные реакционные смеси гомогенизировали на вортексе и выдерживали при комнатной температуре в течение двух суток, при этом весь активированный эфир расходовался (ТСХ-контроль). Затем реакционные смеси диализовали против фосфатно-солевого буфера (ФСБ), который меняли через 2, 4, и 16 ч. Целевые конъюгаты извлекали из кассет с использованием ФСБ («Sigma-Aldrich») для промывки. Получали по 600 мкл конъюгатов 1-KLH и 2-KLH c концентрацией по белку 1,22 мг/мл (ε279 = 1,4 мл·мг−1·см−1; ε347 = 0,4 мл·мг−1·см−1) в виде слегка опалесцирующих жидкостей с голубым оттенком, которые использовали в качестве иммуногенов для получения моноклональных антител.
Моноклональные антитела. Моноклональные антитела СM532 (IgG2a) и FG70 (IgG2b) были получены с использованием гибридомной технологии, как было описано ранее [16, 17]. Конъюгаты 1-KLH и 2-KLH использовали в качестве иммуногенов, а соответствующие биотинилированные конъюгаты – в качестве покрывающих антигенов ИФА для отбора клеточных линий продуцентов. Изотипы антител, продуцируемых обоими клонами, были определены с помощью набора для изотипирования («Sigma-Aldrich»). Очистку антител проводили методом аффинной хроматографии на колонке с белком А-сефароза. Для очистки антител использовали среды, собранные при культивировании гибридом. Антитела элюировали с помощью 50 мМ лимонной кислоты с последующим добавлением фосфата натрия. Финальный состав цитратно-фосфатного буфера: 22 мM фосфатного буфера и 12 мМ лимонной кислоты (pH 7,5); 0,05% (v/v) Tween 20; 0,1% ProClin 300.
Конъюгаты олигосахаридных лигандов с биотином и полиакриламидом. Биотинилированные олигосахариды 1m–14m, родственные фрагментам маннана [18–24], и 1g–13g, родственные фрагментам глюкана [25–27], были синтезированы с использованием ранее разработанных синтетических методов [28]. Для этого к раствору аминопропил гликозида в ДМФА добавляли Et3N и раствор активированного эфира биотина, после прохождения реакции конъюгат очищали методом гель-проникающей хроматографии на геле TSK HW-40(S) (элюент – 0,1 M AcOH). Конъюгаты олигосахаридов 9m–12m c ПАА были получены по описанной нами ранее методике [29] с 20%-ным мольным содержанием олигосахаридного лиганда. Кратко, к раствору аминопропил гликозида в ДМФА добавляли Et3N и раствор п-нитрофенил полиакрилата в ДМФА при 37 °C. Через 2 ч к смеси добавляли н-BuNH2, а ещё через 2 ч добавляли избыток этаноламина и оставляли на ночь. Реакционную смесь упаривали, конъюгат очищали методом гель-проникающей хроматографии на геле LH-20 («Sigma-Aldrich») в системе MeCN/H2O (1/1).
Иммуноферментный анализ с использованием полиакриламидных покрывающих антигенов. Раствор конъюгатов олигосахаридов 1m–14m с ПАА (100 мкл; 2 мкг/мл в ФСБ) наносили в лунки полистирольного планшета («Thermo Fisher Scientific») и оставляли при 4 °С на сутки. После нанесения лунки промывали ФСБ (100 мкл) 1 раз и блокировали 1%-ным раствором БСА в ФСБ при 37 °С в течение 1 ч. После вытряхивания блокирующего раствора и сушки планшет был готов для эксперимента. Образцы исследуемых моноклональных антител (100 мкл) в заданной концентрации наносили в лунки планшета и инкубировали при 37 °С в течение 1 ч, затем промывали промывочным буфером 3 раза. Для разведения антител и промывки планшетов использовали ФСБ (pH 7,4), содержащий 0,1% БСА и 0,1% (v/v) Tween 20. Далее, лунки обработали конъюгатом поликлональных антител к IgG мыши с пероксидазой («ИМТЕК», Россия) и инкубировали при 37 °С в течение 30 мин, затем промывали промывочным буфером 5 раз. Проявление планшетов производили добавлением 100 мкл однокомпонентного хромогенного субстрата TMB («Хема», Россия) в течение 10 мин. Реакцию останавливали, добавляя 50 мкл 1 M H2SO4. Поглощение измеряли при длине волны 450 нм на планшетном ридере Multiskan GO («Thermo Fisher Scientific»). Все измерения проводили независимо в трёх повторениях.
Иммуноферментный анализ с использованием биотинилированных покрывающих антигенов. Иммуноферментный анализ проводили на авидиновых планшетах («Хема»; P300A) при использовании ФСБ, содержащего 0,05% (v/v) Tween 20 и 0,1% БСА, в качестве отмывающего раствора и раствора для разведения биотинилированных олигосахаридов, моноклональных антител и проявляющих антител, меченных пероксидазой. Биотинилированные олигосахариды 1m–14m и 1g–13g адсорбировали на дно лунок (20 пмоль олигосахарида в 100 мкл разводящего раствора на одну лунку) в течение 2 ч при 37 °С при встряхивании, затем промывали планшет 3 раза и наносили образцы исследуемых моноклональных антител в заданной концентрации (100 мкл). Планшет инкубировали 45 мин при 37 °С при встряхивании, после чего промывали планшет 5 раз. Адсорбированные антитела проявляли с использованием поликлональных антител к IgG мыши, меченных пероксидазой, и однокомпонентного хромогенного субстрата TMB. Поглощение продуктов ферментативной реакции измеряли на приборе Multiskan GO при длине волны 450 нм.
Статистический анализ. Все измерения для олигосахарид-специфического ИФА повторяли трижды и представляли в виде среднего. Разброс полученных значений представлен на графиках в виде среднеквадратичного отклонения. Относительное стандартное отклонение значения поглощения при повторах не превышало 10%.
РЕЗУЛЬТАТЫ И ИХ ОБСУЖДЕНИЕ
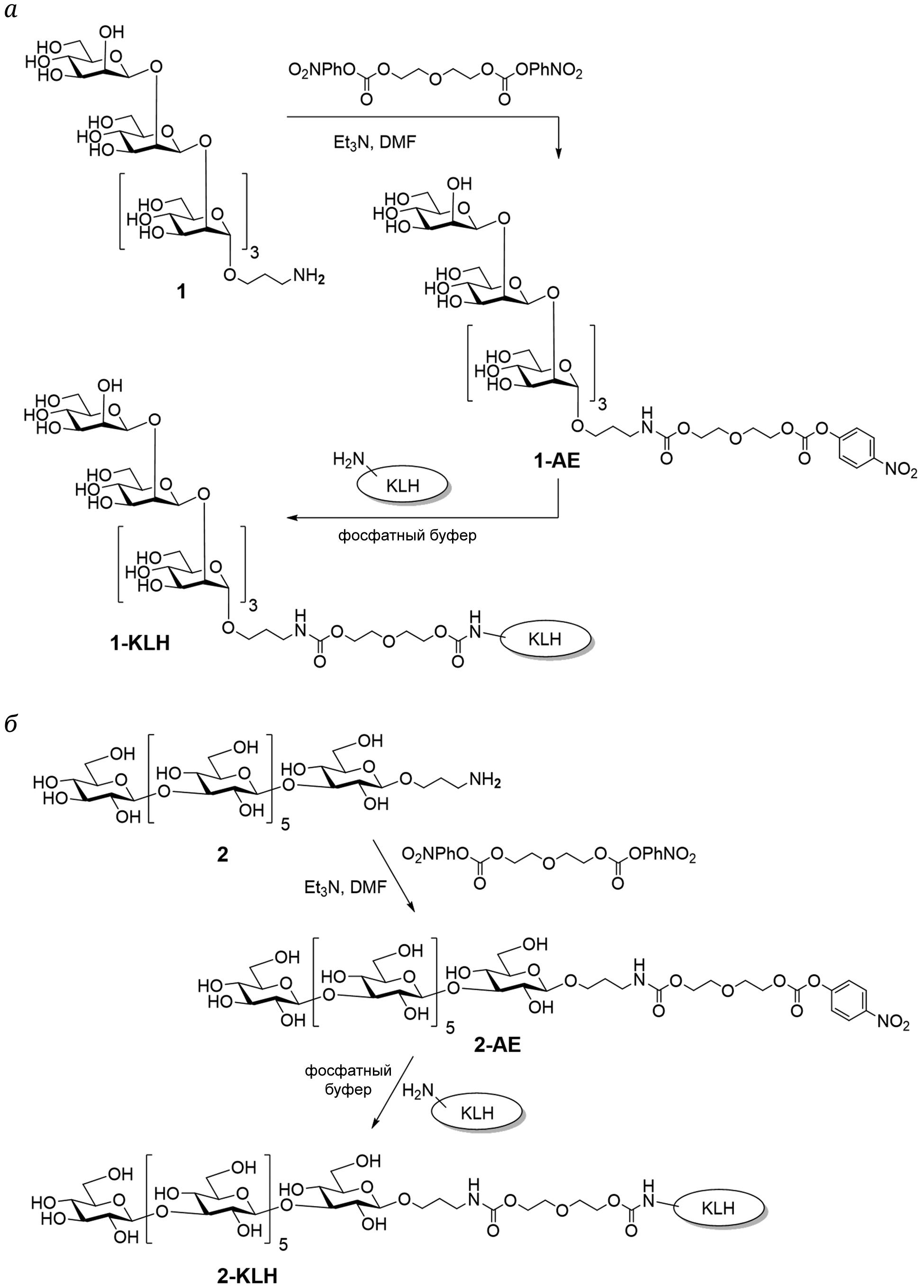
Полисахарид маннан, являющийся характерным антигенным маркером для рода Candida, имеет сложную разветвлённую структуру, напоминающую гребень. Основная цепь данного полисахарида построена из α-(1→6)-связанных остатков маннозы, к которым во втором положении присоединены олигоманнозные цепи, которые, в свою очередь, могут также содержать ответвления. Боковые олигоманнозиды для разных серотипов Candida имеют различную структуру и длину. Они могут быть построены либо только из α-(1→2)-, α-(1→3)-связанных остатков маннозы, либо дополнены на невосстанавливающем конце фрагментами из β-(1→2)-связанных остатков маннозы. Боковые цепи маннана являются антигенными факторами, позволяющими серотипировать различные виды Candida, и составляют основу для их диагностики. Ранее было установлено, что именно боковые цепи, содержащие β-(1→2)-связанные остатки маннозы, вносят наибольший вклад при индуцировании выработки антител в отношении маннанов Candida albicans [29–31]. Поэтому в качестве лиганда для получения иммуногенного конъюгата в данной работе был выбран пентаманнозид 1, содержащий блок из двух β-(1→2)-связанных маннозных остатков на невосстанавливающем конце α-(1→2)-триманнозидной последовательности (схема 1).
Схема 1. Синтез конъюгатов 1-KLH (а) и 2-KLH (б), использованных в качестве иммуногенов при получении моноклональных антител
β-D-Глюканы, являющиеся маркерами целого ряда грибковых инфекций (см. выше), имеют, как правило, β-(1→3)-связанную основную цепь, несущую боковые ответвления при С-6 некоторых остатков глюкозы. Для выработки антител был использован линейный гептасахаридный фрагмент β-(1→3)-глюкана (схема 1), так как именно эта основная цепь в первую очередь взаимодействует с клетками иммунной системы [32].
Конъюгаты лигандов 1 и 2 были получены по разработанной ранее методике (схема 1) [33]. Для этого из олигосахаридов 1 и 2, содержащих аминопропильный агликон, были получены производные с дополнительным линкером на основе диэтиленгликоля, содержащим на конце пара-нитрофениловый эфир (соединения 1-АЕ и 2-АЕ соответственно). Активированные таким образом лиганды 1-АЕ и 2-АЕ были введены в реакцию с белком-носителем с дальнейшей очисткой с помощью диализа. Таким образом, были получены конъюгаты 1-KLH и 2-КLH, содержащие фрагменты целевых грибковых антигенов – маннана и глюкана.
Конъюгаты 1-KLH и 2-КLH были использованы в качестве иммуногенов для получения моноклональных антител при помощи гибридомной технологии, как было описано ранее [16, 17]. Биотинилированные производные маннана (1) и глюкана (2) были использованы в качестве покрывающих антигенов для отбора соответствующих клеточных линий продуцентов методом ИФА. В результате были получены моноклональные антитела СM532 и FG70, специфичность которых была исследована с использованием серий олигосахаридных лигандов.
Для изучения эпитопной специфичности моноклональных антител в качестве покрывающих антигенов для ИФА были использованы два типа производных: поливалентные конъюгаты с ПАА и моновалентные конъюгаты с биотином (схема 2). Конъюгаты с ПАА были получены по реакции олигосахаридов, содержащих аминопропильный агликон, с пара-нитрофениловым активированным эфиром полиакриламидного носителя с последующим добавлением двух низкомолекулярных аминов для блокирования карбоксильных групп, не вступивших во взаимодействие с олигосахаридным лигандом (схема 2, а). Для получения конъюгатов с биотином был использован биотинилирующий агент, содержащий гибкий гидрофильный линкер на основе гексаэтиленгликоля (схема 2, б) [28].
Схема 2. Синтез покрывающих антигенов для ИФА: конъюгатов с ПАА (а) и биотином (б)
Первоначально для изучения эпитопной специфичности моноклонального антитела СM532 были использованы ПАА-конъюгаты олигосахарида 11m, входящего в состав иммуногена, а также структурно родственных лигандов 9m, 10m и 12m (рис 1, а). Результаты ИФА с использованием данного типа покрывающего антигена показали примерно одинаковое распознавание всех исследованных олигосахаридов (рис 1, в). Отсутствие различий между лигандами с существенными структурными различиями (9m, 10m, 11m и 12m), вероятно, является следствием использования полиакриламидной основы для покрывающих антигенов. В этом случае невозможно контролировать плотность присоединения лигандов к поверхности полимера, а следовательно, нельзя добиться воспроизводимых результатов и сравнивать количественно показатели связывания для различных конъюгатов. Кроме того, адгезия полиакриламида к поверхности лунки планшета также не поддаётся контролю, затрудняя интерпретацию полученных результатов. Использование же биотинилированных конъюгатов в сочетании со стандартизованными планшетами, покрытыми стрептавидином, позволяет обеспечивать равномерное и воспроизводимое покрытие поверхности лунок. Также наличие гибкого длинного спейсера между биотином и лигандом обеспечивает хорошую презентацию антигена, отделяя его от поверхности стрептавидина (рис. 1, б). Таким образом, данные, полученные в ИФА-экспериментах с биотинилированными покрывающими антигенами, хорошо воспроизводятся и могут служить количественной мерой связывания.
Рис. 1. Результаты скрининга углеводной специфичности антитела СM532 c использованием углеводных лигандов 1m–14m (а), родственных маннану Candida albicans. Схематичное изображение иммобилизации конъюгатов с ПАА и биотином на поверхности планшета (б). Результаты ИФА, полученные с использованием конъюгатов с полиакриламидом (в) и биотином (г); ПАА – полиакриламид
В связи с вышесказанным для дальнейшего изучения эпитопной специфичности отобранных моноклональных антител были использованы библиотеки биотиновых углеводных лигандов [15]. Так, для моноклонального антитела СM532 в качестве покрывающих антигенов для ИФА были исследованы биотинилированные олигосахариды 1m–14m (рис. 1, а). В этом ряду содержались как α-(1→2)-/α-(1→3)-связанные маннозиды (1m–8m), так и соединения, содержащие β-(1→2)-маннозидные фрагменты (9m–13m). Также был рассмотрен лиганд, содержащий разветвление при С-6 (8m) и пента-α-(1→6)-маннозид (14m), родственный фрагменту главной цепи маннана C. albicans. Как видно из результатов скрининга (рис. 1, г), ни один из лигандов, содержащих исключительно α-гликозидные связи (1m–8m), не обладает сродством к моноклональному антителу СM532. Это можно объяснить иммунодоминантной ролью β-(1→2)-связанного фрагмента, входящего в состав гаптена 1. Рассматриваемое антитело связывается с олигоманнозидами, содержащими одну, две или три β-(1→2)-гликозидные связи (соединения 9m, 10m, 11m и 12m соответственно), но не связывается с лигандами, содержащими более длинную последовательность из четырёх β-(1→2)-связанных остатков маннозы (13m). Вероятно, в этом случае решающую роль играют конформационные особенности гексасахаридного лиганда 13m, не позволяющие ему эффективно взаимодействовать с центром связывания антитела СM532. Как следует из высоких значений поглощения (рис. 1, г) для всех рассмотренных концентраций, наибольшим сродством к антителу СM532 обладает пентасахарид 11m, а тетрасахарид 10m лишь незначительно ему уступает. Хуже распознаются лиганды 9m и 12m. Эти данные позволяют сделать вывод о том, что минимальный эпитоп, специфично распознаваемый моноклональным антителом СM532, представляет собой трисахаридную последовательность β-Man-(1→2)-α-Man-(1→2)-α-Man.
Аналогичным образом был проведён скрининг углеводных лигандов для изучения эпитопной специфичности моноклонального антитела FG70, полученного в ответ на иммунизацию конъюгатом гепта-β-(1→3)-глюкозида (2-KLH). В качестве покрывающих антигенов для ИФА были использованы биотинилированные производные линейных β-(1→3)-глюкозидов, содержащих от одного до тринадцати звеньев глюкозы (1g–7g), а также β-(1→3)-глюкозидов, содержащих разветвления в виде одного остатка β-(1→6)-связанной глюкозы в различных участках цепи (8g–11g), и октасахарид 12g, в котором боковая цепь образована четырьмя остатками глюкозы. В качестве отрицательного контроля был выбран пента-β-(1→6)-глюкозид.
В результате проведённого скринига (рис. 2) было установлено, что моно- и дисахаридные фрагменты (1g и 2g) не распознаются антителом FG70 совсем; далее, по мере роста цепи от три- до пентасахарида (3g–5g) эффективность связывания возрастает, однако дальнейшее удлинение цепи (7 остатков – 6g, 13 остатков – 7g) не приводит к улучшению взаимодействия и выходит на плато.
Рис. 2. Результаты скрининга углеводной специфичности антитела FG70 c использованием углеводных лигандов 1g–13g (а), родственных общему грибковому маркеру β-(1→3)-D-глюкану. б – Результаты ИФА, полученные с использованием биотинилированных конъюгатов
При сравнении значений поглощения для лигандов 5g, 9g и 10g (рис. 2, б), содержащих одинаковый фрагмент пента-β-(1→3)-глюкозида, можно заключить, что дополнительное 3,6-разветвление практически не влияет на аффинность. Также на уровне пентасахарида 5g распознаётся нонасахарид 11g с одним 3,6-разветвлением в середине цепи. Олигосахаридные лиганды, в структуре которых отсутствует β-(1→3)-пентаглюкозидный фрагмент, либо не распознаются (соединение 8g и 13g), либо распознаются значительно слабее (соединение 12g). Эти данные позволяют сделать вывод о том, что эпитоп, специфично распознаваемый моноклональным антителом FG70, расположен в пентасахаридной последовательности β-Glc-(1→3)-β-Glc-(1→3)-β-Glc-(1→3)-β-Glc-(1→3)-β-Glc.
Ранее авторами работы были исследованы моноклональные антитела 3G11 и 5H5, которые были отобраны после иммунизации мышей нона-β-(1→3)-глюкозидом [16]. Однако сравнительный анализ предельных значений концентраций антител, детектируемых в тестах ИФА, даёт основания полагать, что антитело FG70 обладает более высокой аффинностью к целевым глюканам, чем ранее описанные антитела 3G11 и 5H5.
ЗАКЛЮЧЕНИЕ
В результате данной работы были получены и охарактеризованы два моноклональных антитела, обладающие высокой специфичностью по отношению к фрагментам двух грибковых полисахаридов. Это позволяет рассматривать антитела СM532 и FG70 в качестве перспективных для разработки диагностикумов, предназначенных для выявления соответствующих грибковых инфекций. Используемое сейчас в коммерческих диагностических наборах моноклональное антитело EBCA-1 также распознаёт трисахаридный фрагмент β-Man-(1→2)-α-Man-(1→2)-α-Man [13], что указывает на перспективность полученного в данной работе антитела СM532.
Используемые в настоящее время наборы для диагностики грибковых глюканов содержат ферменты, выделяемые из живых организмов (мечехвостов), поэтому их использование имеет существенные ограничения. Применение ИФА-наборов на основе синтетических углеводных антигенов и гомологичных моноклональных антител позволит упростить производство, а также получать более достоверные и воспроизводимые диагностические результаты [34]. Охарактеризованные в данной работе антитела FG70 и СM532 обладают необходимыми для этого характеристиками.
Вклад авторов. В.Б. Крылов, Н.Э. Нифантьев – концепция и руководство работой; А.В. Полянская, А.Н. Кузнецов, А.Д. Титова, В.И. Юдин, Ю.Е. Цветков, О.Н. Юдина, Д.В. Яшунский – проведение экспериментов; М.Л. Генинг, Н.Э. Нифантьев – обсуждение результатов исследования; М.Л. Генинг, В.Б. Крылов – написание текста; А.Н. Кузнецов, Н.Э. Нифантьев – редактирование текста статьи.
Финансирование. Работа выполнена при поддержке Министерства науки и высшего образования РФ (соглашение № 075-03-2024-401/3 от 30.05.2024).
Конфликт интересов. Авторы заявляют об отсутствии конфликта интересов.
Соблюдение этических норм. Все процедуры, выполненные в исследованиях с участием животных, соответствовали этическим стандартам учреждения, в котором проводились исследования, и утвержденным правовым актам РФ и международных организаций.
About the authors
M. L. Gening
N.D. Zelinsky Institute of Organic Chemistry, Russian Academy of Sciences
Email: v_krylov@ioc.ac.ru
Laboratory of Synthetic Glycovaccines
Russian Federation, 119991 MoscowA. V. Polyanskaya
N.D. Zelinsky Institute of Organic Chemistry, Russian Academy of Sciences
Email: v_krylov@ioc.ac.ru
Laboratory of Synthetic Glycovaccines
Russian Federation, 119991 MoscowA. N. Kuznetsov
N.D. Zelinsky Institute of Organic Chemistry, Russian Academy of Sciences
Email: v_krylov@ioc.ac.ru
Laboratory of Synthetic Glycovaccines
Russian Federation, 119991 MoscowA. D. Titova
N.D. Zelinsky Institute of Organic Chemistry, Russian Academy of Sciences
Email: v_krylov@ioc.ac.ru
Laboratory of Synthetic Glycovaccines
Russian Federation, 119991 MoscowV. I. Yudin
N.D. Zelinsky Institute of Organic Chemistry, Russian Academy of Sciences
Email: v_krylov@ioc.ac.ru
Laboratory of Synthetic Glycovaccines
Russian Federation, 119991 MoscowD. V. Yashunskiy
N.D. Zelinsky Institute of Organic Chemistry, Russian Academy of Sciences
Email: nen@ioc.ac.ru
Laboratory of Glycoconjugate Chemistry
Russian Federation, 119991 MoscowY. E. Tsvetkov
N.D. Zelinsky Institute of Organic Chemistry, Russian Academy of Sciences
Email: nen@ioc.ac.ru
Laboratory of Glycoconjugate Chemistry
Russian Federation, 119991 MoscowO. N. Yudina
N.D. Zelinsky Institute of Organic Chemistry, Russian Academy of Sciences
Email: nen@ioc.ac.ru
Laboratory of Glycoconjugate Chemistry
Russian Federation, 119991 MoscowV. B. Krylov
N.D. Zelinsky Institute of Organic Chemistry, Russian Academy of Sciences
Author for correspondence.
Email: v_krylov@ioc.ac.ru
Laboratory of Synthetic Glycovaccines
Russian Federation, 119991 MoscowN. E. Nifantiev
N.D. Zelinsky Institute of Organic Chemistry, Russian Academy of Sciences
Email: nen@ioc.ac.ru
Laboratory of Glycoconjugate Chemistry
Russian Federation, 119991 MoscowReferences
- Soriano, A., Honore, P. M., Puerta-Alcalde, P., Garcia-Vidal, C., Pagotto, A., Gonçalves-Bradley, D. C., and Verweij, P. E. (2023) Invasive candidiasis: current clinical challenges and unmet needs in adult populations, J. Antimicrob. Chemother., 78, 1569-1585, https://doi.org/10.1093/jac/dkad139.
- Denning, D. W. (2024) Global incidence and mortality of severe fungal disease, Lancet Infect. Dis., 24, e428-e438, https://doi.org/10.1016/S1473-3099(23)00692-8.
- Terrero-Salcedo, D., and Powers-Fletcher, M. V. (2020) Updates in laboratory diagnostics for invasive fungal infections, J. Clin. Microbiol., 58, e01487-19, https://doi.org/10.1128/JCM.01487-19.
- Barantsevich, N., and Barantsevich, E. (2022) Diagnosis and treatment of invasive candidiasis, Antibiotics, 11, 718, https://doi.org/10.3390/antibiotics11060718.
- Roslansky, P. F., and Novitsky, T. J. (1991) Sensitivity of Limulus amebocyte lysate (LAL) to LAL-reactive glucans, J. Clin. Microbiol., 29, 2477-2483, https://doi.org/10.1128/jcm.29.11.2477-2483.1991.
- He, S., Hang, J.-P., Zhang, L., Wang, F., Zhang, D.-C., and Gong, F.-H. (2015) A systematic review and meta-analysis of diagnostic accuracy of serum 1,3-β-D-glucan for invasive fungal infection: focus on cutoff levels, J. Microbiol. Immunol. Infect., 48, 351-361, https://doi.org/10.1016/j.jmii.2014.06.009.
- Synytsya, A., and Novák, M. (2013) Structural diversity of fungal glucans, Carbohydr. Polym., 92, 792-809, https://doi.org/10.1016/j.carbpol.2012.09.077.
- Senn, L., Calandra, T., Bille, J., and Marchetti, O. (2008) Beta-glucan in the diagnosis of invasive fungal disease: reply letter to Pasqualotto and Sukiennik, Clin. Infect. Dis., 47, 293-294, https://doi.org/10.1128/JCM.01737-13.
- Mikulska, M., Calandra, T., Sanguinetti, M., Poulain, D., Viscoli, C., and Third European Conference on Infections in Leukemia Group (2010) The use of mannan antigen and anti-mannan antibodies in the diagnosis of invasive candidiasis: recommendations from the Third European Conference on Infections in Leukemia, Crit. Care, 14, R222, https://doi.org/10.1186/cc9365.
- Solovev, A. S., Tsarapaev, P. V., Krylov, V. B., Yashunsky, D. V., Kushlinskii, N. E., and Nifantiev, N. E. (2023) A repertoire of anti-mannan Candida albicans antibodies in the blood sera of healthy donors, Russ. Chem. Bull., 72, 263-268, https://doi.org/10.1007/s11172-023-3731-3.
- Clancy, C. J., and Nguyen, M. H. (2018) Diagnosing invasive candidiasis, J. Clin. Microbiol., 56, e01909-17, https://doi.org/10.1128/JCM.01909-17.
- The Cava Trem Study Group, León, C., Ruiz-Santana, S., Saavedra, P., Castro, C., Loza, A., Zakariya, I., Úbeda, A., Parra, M., Macías, D., Tomás, J. I., Rezusta, A., Rodríguez, A., Gómez, F., and Martín-Mazuelos, E. (2016) Contribution of Candida biomarkers and DNA detection for the diagnosis of invasive candidiasis in ICU patients with severe abdominal conditions, Crit. Care, 20, 149, https://doi.org/10.1186/s13054-016-1324-3.
- Krylov, V. B., Solovev, A. S., Puchkin, I. A., Yashunsky, D. V., Antonets, A. V., Kutsevalova, O. Y., and Nifantiev, N. E. (2021) Reinvestigation of carbohydrate specificity of EBCA-1 monoclonal antibody used for the detection of Candida mannan, J. Fungi, 7, 504, https://doi.org/10.3390/jof7070504.
- Tuzikov, A., Chinarev, A., Shilova, N., Gordeeva, E., Galanina, O., Ovchinnikova, T., Schaefer, M., and Bovin, N. (2021). 40 years of glyco-polyacrylamide in glycobiology, Glycoconj. J., 38, 89-100, https://doi.org/10.1007/s10719-020-09965-5.
- Krylov, V. B., and Nifantiev, N. E. (2019) Synthetic oligosaccharides mimicking fungal cell wall polysaccharides, Curr. Top. Microbiol. Immunol., 425, 1-16, https://doi.org/10.1007/82_2019_187.
- Matveev, A. L., Krylov, V. B., Khlusevich, Y. A., Baykov, I. K., Yashunsky, D. V., Emelyanova, L. A., Tsvetkov, Y. E., Karelin, A. A., Bardashova, A. V., Wong, S. S. W., Aimanianda, V., Latgé, J.-P., Tikunova, N. V., and Nifantiev, N. E. (2019) Novel mouse monoclonal antibodies specifically recognizing β-(1→3)-D-glucan antigen, PLoS One, 14, e0215535, https://doi.org/10.1371/journal.pone.0215535.
- Matveev, A. L., Krylov, V. B., Emelyanova, L. A., Solovev, A. S., Khlusevich, Y. A., Khlusevich, Y. A., Baykov, I. K., Fontaine, T., Latgé, J.-P., Tikunova, N. V., and Nifantiev, N. E. (2018) Novel mouse monoclonal antibodies specifically recognize Aspergillus fumigatus galactomannan, PLoS One, 13, e0193938, https://doi.org/10.1371/journal.pone.0193938.
- Karelin, A. A., Tsvetkov, Yu. E., Kogan, G., Bystricky, S., and Nifantiev, N. E. (2007) Synthesis of oligosaccharide fragments of mannan from Candida albicans cell wall and their BSA conjugates, Russ. J. Bioorg. Chem., 33, 110-121, https://doi.org/10.1134/S106816200701013X.
- Karelin, A. A., Tsvetkov, Y. E., Paulovičová, L., Bystrickỳ, S., Paulovičová, E., and Nifantiev, N. E. (2009) Synthesis of a heptasaccharide fragment of the mannan from Candida guilliermondii cell wall and its conjugate with BSA, Carbohydr. Res., 344, 29-35, https://doi.org/10.1016/j.carres.2008.09.016.
- Karelin, A. A., Tsvetkov, Y. E., Paulovičová, L., Bystrickỳ, S., Paulovičová, E., and Nifantiev, N. E. (2010) Synthesis of 3, 6-branched oligomannoside fragments of the mannan from Candida albicans cell wall corresponding to the antigenic factor 4, Carbohydr. Res., 345, 1283-1290, https://doi.org/10.1016/j.carres.2009.11.012.
- Argunov, D. A., Karelin, A. A., Grachev, A. A., Tsvetkov, Yu. E., and Nifantiev, N. E. (2011) A new synthesis of the 3,6-branched hexasaccharide fragment of the cell wall mannan in Candida albicans, corresponding to the antigenic factor 4, Russ. Chem. Bull., 60, 1004-1011, https://doi.org/10.1007/s11172-011-0157-0.
- Karelin, A. A., Tsvetkov, Yu. E., Paulovičová, E., Paulovičová, L., and Nifantiev, N. E. (2015) Blockwise synthesis of a pentasaccharide structurally related to the mannan fragment from the Candida albicans cell wall corresponding to the antigenic factor 6, Russ. Chem. Bull., 64, 2942-2948, https://doi.org/10.1007/s11172-015-1251-5.
- Karelin, A. A., Tsvetkov, Y. E., Paulovičová, E., Paulovičová, L., and Nifantiev, N. E. (2016) A blockwise approach to the synthesis of (1→2)-linked oligosaccharides corresponding to fragments of the acid-stable β-mannan from the Candida albicans cell wall, Eur. J. Org. Chem., 2016, 1173-1181, https://doi.org/10.1002/ejoc.201501464.
- Karelin, A. A., Ustyuzhanina, N. E., Tsvetkov, Y. E., and Nifantiev, N. E. (2019) Synthesis of a biotinylated probe from biotechnologically derived β-D-mannopyranosyl-(1→2)-D-mannopyranose for assessment of carbohydrate specificity of antibodies, Carbohydr. Res., 471, 39-42, https://doi.org/10.1016/j.carres.2018.10.013.
- Yashunsky, D. V., Tsvetkov, Y. E., Grachev, A. A., Chizhov, A. O., and Nifantiev, N. E. (2016) Synthesis of 3-aminopropyl glycosides of linear β-(1→3)-D-glucooligosaccharides, Carbohydr. Res., 419, 8-17, https://doi.org/10.1016/ j.carres.2015.10.012.
- Yashunsky, D. V., Tsvetkov, Yu. E., and Nifantiev, N. E. (2015) Synthesis of 3-aminopropyl glycosides of branched β-(1→3)-glucooligosaccharides, Russ. Chem. Bull., 64, 2922-2931, https://doi.org/10.1007/s11172-015-1249-z.
- Yashunsky, D. V., Tsvetkov, Y. E., and Nifantiev, N. E. (2016) Synthesis of 3-aminopropyl glycoside of branched β-(1→3)-D-glucooctaoside, Carbohydr. Res., 436, 25-30, https://doi.org/10.1016/j.carres.2016.11.005.
- Tsvetkov, Y. E., Burg-Roderfeld, M., Loers, G., Ardá, A., Sukhova, E. V., Khatuntseva, E. A., Grachev, A. A., Chizhov, A. O., Siebert, H.-C., Schachner, M., Jiménez-Barbero, J., and Nifantiev, N. E. (2012) Synthesis and molecular recognition studies of the HNK-1 trisaccharide and related oligosaccharides. The specificity of monoclonal anti-HNK-1 antibodies as assessed by surface plasmon resonance and STD NMR, J. Am. Chem. Soc., 134, 426-435, https://doi.org/10.1021/ja2083015.
- Krylov, V. B., Kuznetsov, A. N., Polyanskaya, A. V., Tsarapaev, P. V., Yashunsky, D. V., Kushlinskii, N. E., and Nifantiev, N. E. (2023) ASCA-related antibodies in the blood sera of healthy donors and patients with colorectal cancer: characterization with oligosaccharides related to Saccharomyces cerevisiae mannan, Front. Mol. Biosci., 10, 1296828, https://doi.org/10.3389/fmolb.2023.1296828.
- Sendid, B., Lecointe, K., Collot, M., Danzé, P.-M., Damiens, S., Drucbert, A.-S., Fradin, C., Vilcot, J.-P., Grenouillet, F., Dubar, F., de Ruyck, J., Jawhara, S., Mallet, J.-M., and Poulain, D. (2021) Dissection of the anti-Candida albicans mannan immune response using synthetic oligomannosides reveals unique properties of β-1,2 mannotriose protective epitopes, Sci. Rep., 11, 10825, https://doi.org/10.1038/s41598-021-90402-4.
- Singh, R. K., Reuber, E. E., Bruno, M., Netea, M. G., and Seeberger, P. H. (2023) Synthesis of oligosaccharides to identify an immunologically active epitope against Candida auris infection, Chem. Sci., 14, 7559-7563, https://doi.org/10.1039/D3SC01242E.
- Ruiz-Herrera, J., and Ortiz-Castellanos, L. (2019) Cell wall glucans of fungi. A review, Cell Surf., 5, 100022, https://doi.org/10.1016/j.tcsw.2019.100022.
- Friedman Ohana, R., Kirkland, T. A., Woodroofe, C. C., Levin, S., Uyeda, H. T., Otto, P., Hurst, R., Robers, M. B., Zimmerman, K., Encell, L. P., and Wood, F. V. (2015) Deciphering the cellular targets of bioactive compounds using a chloroalkane capture tag, ACS Chem. Biol., 10, 2316-2324, https://doi.org/10.1021/acschembio.5b00351.
- Sunamura, E., Iwasaki, M., Shiina, S., Kitahara, S., Yotani, T., Manabe, M., and Miyazaki, O. (2020) A novel enzyme immunoassay for the measurement of plasma (1→3)-β-D-glucan levels, J. Immunol. Methods, 487, 112872, https://doi.org/10.1016/j.jim.2020.112872.
Supplementary files






