River Runoff in European Russia under Global Warming by 1.5 and 2 Degrees
- Authors: Kalugin A.S.1
-
Affiliations:
- Water Problems Institute, Russian Academy of Sciences, 119333, Moscow, Russia
- Issue: Vol 50, No 4 (2023)
- Pages: 451-464
- Section: МАТЕМАТИЧЕСКИЕ МОДЕЛИ В РЕШЕНИИ ЗАДАЧ ГИДРОЛОГИИ СУШИ
- URL: https://medbiosci.ru/0321-0596/article/view/134871
- DOI: https://doi.org/10.31857/S0321059623040120
- EDN: https://elibrary.ru/QJXLZE
- ID: 134871
Cite item
Full Text
Abstract
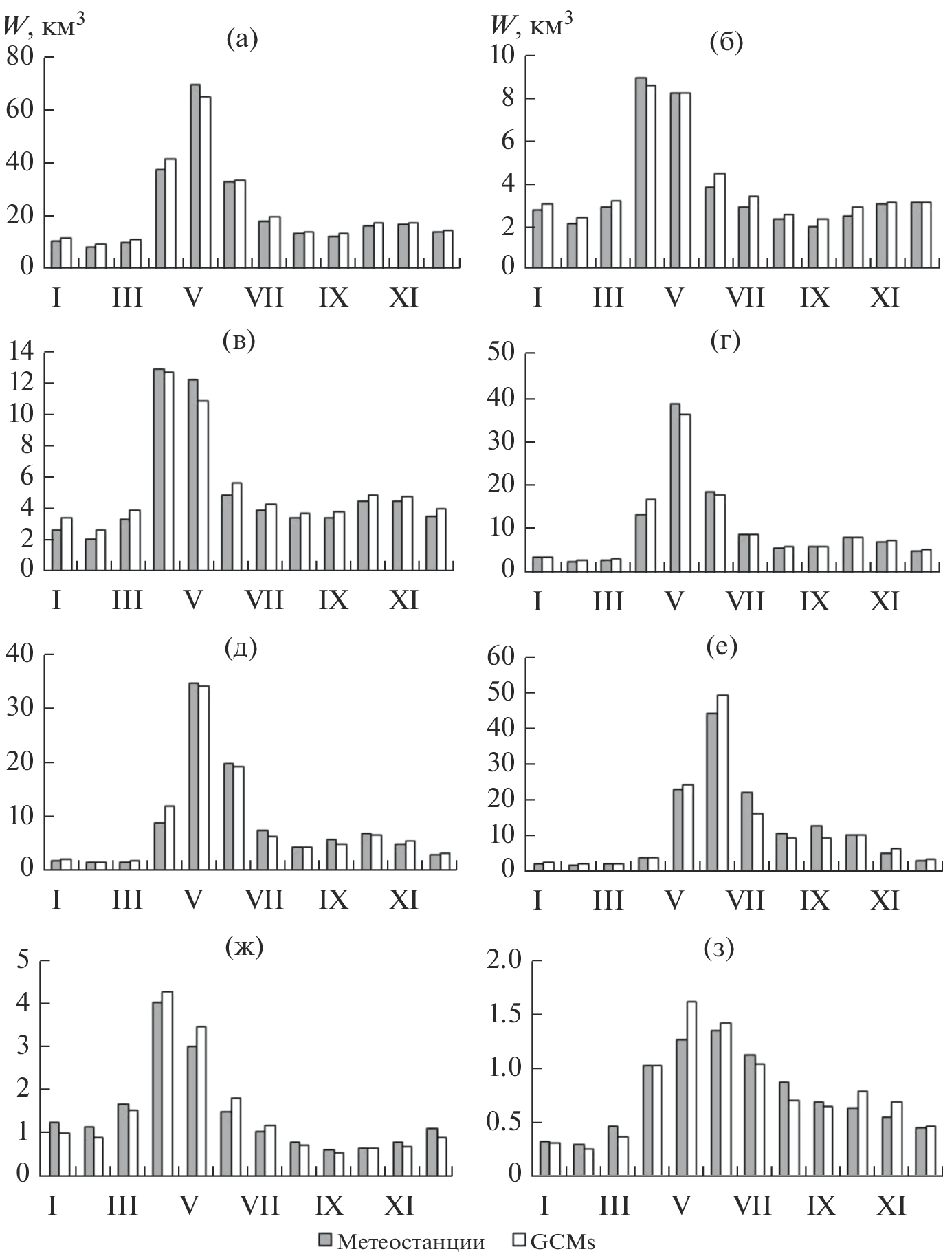
The ECOMAG hydrological model was used to evaluate runoff characteristics in the basins of the major rivers in European Russia: the Volga, Don, Northern Dvina, Pechora, and Kuban. The models of runoff formation for various hydrometric gauging stations in these basins were calibrated using data of weather station observations. Next, the input data were represented by the data of an ensemble of global climate models for assessing the regional hydrometeorological regime at the realization of a scenario of global warming by 1.5 and 2°C in the XXI century relative to the preindustrial values. The reproduction of the annual and seasonal runoff by data of climatic models was evaluated by comparison with observation data. According to the results of numerical experiments at global warming by 1.5 and 2°C, the values of the relative changes in river runoff in European Russia increase from N to S and from E to W, i.e., the hydrological systems under milder climate were found to be more sensitive to changes in the meteorological characteristics. The estimation of runoff anomalies in the European Russia showed the following common features: an increase in the winter runoff in the northern rivers and in the Volga basin, a decrease in the spring snowmelt runoff in the Northern Dvina, Volga, and Don, a decrease in the summer–autumn runoff of all studied rivers with various intensity. In this case, the annual runoff of the Pechora will show a positive trend, and that of the Northern Dvina, Volga, Don, and Kuban, a negative trend.
About the authors
A. S. Kalugin
Water Problems Institute, Russian Academy of Sciences, 119333, Moscow, Russia
Author for correspondence.
Email: kalugin-andrei@mail.ru
Россия, 119333, Москва
References
- Болгов М.В., Коробкина Е.А., Трубецкова М.Д., Филимонова М.К., Филиппова И.А. Современные изменения минимального стока на реках бассейна р. Волга // Метеорология и гидрология. 2014. № 3. С. 75–85.
- Гельфан А.Н., Гусев Е.М., Калугин А.С., Крыленко И.Н., Мотовилов Ю.Г., Насонова О.Н., Миллионщикова Т.Д., Фролова Н.Л. Сток рек России при происходящих и прогнозируемых изменениях климата: обзор публикаций. Ч. 2. Влияние изменения климата на водный режим рек России в XXI веке // Вод. ресурсы. 2022. Т. 49. № 3. С. 270–285.
- Гельфан А.Н., Калугин А.С., Крыленко И.Н., Насонова О.Н., Гусев Е.М., Ковалев Е.Э. О проблеме тестирования гидрологической модели для оценки влияния изменений климата на речной сток // Метеорология и гидрология. 2020. № 5. С. 77–85.
- Георгиади А.Г., Коронкевич Н.И., Милюкова И.П., Кашутина Е.А., Барабанова Е.А. Современные и сценарные изменения речного стока в бассейнах крупнейших рек России. Ч. 2. Бассейны рек Волги и Дона. М.: МАКС Пресс, 2014. 214 с.
- Георгиади А.Г., Милюкова И.П., Кашутина Е.А. Современные и сценарные изменения речного стока в бассейне Дона // Вод. ресурсы. 2020. Т. 47. № 6. С. 651–662.
- Георгиевский В.Ю., Грек Е.А., Грек Е.Н., Лобанова А.Г., Молчанова Т.Г. Пространственно-временны́е изменения характеристик экстремального стока рек бассейна Волги // Метеорология и гидрология. 2018. № 10. С. 8–16.
- Георгиевский В.Ю., Шалыгин А.Л. Гидрологический режим и водные ресурсы // Методы оценки изменения климата для физических и биологических систем / Под ред. С.М. Семенова М.: НИЦ Планета, 2012. С. 53–87.
- Гидрологические изменения / Под ред. В.М. Котлякова, Н.И. Коронкевича, Е.А. Барабановой // Вопросы географии. Т. 145. М.: ИД Кодекс, 2018. 432 с.
- Джамалов Р.Г., Фролова Н.Л., Телегина Е.А. Изменение зимнего стока рек Европейской части России // Вод. ресурсы. 2015. Т. 42. № 6. С. 581–588.
- Калюжный И.Л., Лавров С.А. Основные физические процессы и закономерности формирования зимнего и весеннего стока рек в условиях потепления климата // Метеорология и Гидрология. 2012. № 1. С. 68–81.
- Крыленко И.Н., Голосной Д.А., Григорьев В.Ю., Захарова Е.А., Фролова Н.Л. Оценка суммарных влагозапасов в бассейнах рек севера ЕТР на основе модели формирования стока и спутниковых данных // Тр. VIII науч.-практ. конф. MARESEDU. Т. I. Тверь: ПолиПРЕСС, 2020. С. 253–255.
- Крыленко И.Н., Голосной Д.А., Жук В.А. Оценка притока воды в Белое море с территории бассейнов рек Онеги и Северной Двины на основе модели формирования стока // Тр. VII науч.-практ. конф. MARESEDU. Т. I. Тверь: ПолиПРЕСС, 2019. С. 163–171.
- Кучмент Л.С., Гельфан А.Н., Демидов В.Н. Пространственная модель формирования тало-дождевого стока горной реки (на примере верхней Кубани) // Метеорология и гидрология. 2010. № 12. С. 76–87.
- Кучмент Л.С., Гельфан А.Н., Демидов В.Н., Романов П.Ю. Использование спутниковой информации для предвычисления гидрографа талого стока // Метеорология и гидрология. 2011. № 9. С. 86–96.
- Мотовилов Ю.Г., Гельфан А.Н. Модели формирования стока в задачах гидрологии речных бассейнов. М.: РАН, 2018. 300 с.
- Научно-прикладной справочник: Основные гидрологические характеристики рек бассейна Верхней Волги, Камы, Нижней Волги / Под ред. В.Ю. Георгиевского. СПб.: ГГИ, 2015.
- Фролова Н.Л., Киреева М.Б., Агафонова С.А., Евстигнеев В.М., Ефремова Н.А., Повалишникова Е.С. Внутригодовое распределение стока равнинных рек Европейской территории России и его изменение // Вод. хоз-во России: проблемы, технологии, управление. 2015. № 4. С. 4–20.
- Фролова Н.Л., Магрицкий Д.В., Киреева М.Б., Григорьев В.Ю., Гельфан А.Н., Сазонов А.А., Шевченко А.И. Сток рек России при происходящих и прогнозируемых изменениях климата: обзор публикаций. 1. Оценка изменений водного режима рек по данным наблюдений // Вод. ресурсы. 2022. Т. 49. № 3. С. 251–269.
- Bugaets A., Gartsman B., Gelfan A., Motovilov Y., Sokolov O., Gonchukov L., Kalugin A., Moreido V., Suchilina Z., Fingert E. The integrated system of hydrological forecasting in the Ussuri River basin based on the ECOMAG Model // Geosci. 2018. V. 8. № 5. P. 1–12.
- Frieler K., Lange S., Piontek F., Reyer C., Schewe J., Warszawski L., Zhao F., Chini L., Denvil S., Emanuel K. Assessing the impacts of 1.5°C global warming – simulation protocol of the Inter-Sectoral Impact Model Intercomparison Project (ISIMIP2b) // Geosci. Model Dev. 2017. V. 10. P. 4321–4345.
- Frolova N.L., Agafonova S.A., Kireeva M.B., Povalishnikova E.S., Pakhomova O.M. Recent changes of annual flow distribution of the Volga basin rivers // Geogr. Environ. Sustainability. 2017. V. 10. № 2. P. 28–39.
- Gelfan A., Kalugin A. Permafrost in the Caspian basin as a possible trigger of the late khvalynian transgression: testing hypothesis using a hydrological model // Water Resour. 2021.V. 48. P. 831–843.
- Gelfan A., Kalugin A., Krylenko I., Nasonova O., Gusev Y., Kovalev E. Does a successful comprehensive evaluation increase confidence in a hydrological model intended for climate impact assessment? // Climate Change. 2020. V. 163. P. 1165–1185.
- Georgievsky M., Golovanov O., Balonishnikova Z., Timofeeva L. Changes in river water resources of the Russian Federation’s economic regions forecasted based on the CMIP5 runoff data // Ecohydrol. Hydrobiol. 2021. V. 21. P. 669–682.
- Kalugin A. Climate change attribution in the Lena and Selenga River runoff: an evaluation based on the Earth system and regional hydrological models // Water. 2022. V. 14 (1). № 118. P. 1–18.
- Kalugin A. Future climate-driven runoff change in the large river basins in Eastern Siberia and the Far East using process-based hydrological models // Water. 2022. V. 14 (4). № 609. P. 1–22.
- Kalugin A. Hydrological and meteorological variability in the Volga River basin under global warming by 1.5 and 2 degrees // Climate. 2022. V. 10 (7). № 107. P. 1–23.
- Kalugin A. Process-based modeling of the high flow of a semi-mountain river under current and future climatic conditions: a case study of the Iya River (Eastern Siberia) // Water. 2021. V. 13. № 1042. P. 1–19.
- Kalugin A. The impact of climate change on surface, subsurface and groundwater flow: a case study of the Oka River (European Russia) // Water Resour. 2019. V. 46. P. S31–S39.
- Kalugin A., Motovilov Y. Runoff formation model for the Amur River basin // Water Resour. 2018. V. 45. P. 149–159.
- Kireeva M., Frolova N., Rets E., Samsonov T., Entin A., Kharlamov M., Telegina E., Povalishnikova E. Evaluating climate and water regime transformation in the European part of Russia using observation and reanalysis data for the 1945–2015 period // Int. J. River Basin Manag. 2020. V. 18. P. 491–502.
- Kireeva M.B., Frolova N.L., Winde F., Dzhamalov R.G., Rets E.P., Povalishnikova E.S., Pakhomova O.M. Low flow on the rivers of the European part of Russia and its hazards // Geography, environment, sustainability. 2016. V. 9. № 4. P. 33–47.
- Kornilova E.D., Krylenko I.N., Rets E.P., Motovilov Y.G., Bogachenko E.M., Krylenko I.V., Petrakov D.A. Modeling of extreme hydrological events in the Baksan River basin, the Central Caucasus, Russia // Hydrology. 2021. V. 8. № 24. P. 1–24.
- Krylenko I., Alabyan A., Aleksyuk A., Belikov V., Sazonov A., Zavyalova E., Pimanov I., Potryasaev S., Ze- lentsov V. Modeling ice-jam floods in the frameworks of an intelligent system for river monitoring // Water Resour. 2020. V. 47. P. 387–398.
- Krysanova V., Hattermann F. Intercomparison of climate change impacts in 12 large river basins: overview of methods and summary of results // Clim. Change. 2017. V. 141. P. 363–379.
- Lange S. Trend-preserving bias adjustment and statistical downscaling with ISIMIP3BASD (v1.0) // Geosci. Model Dev. 2019. V. 12. P. 3055–3070.
- Lobanova A., Liersch S., Nunes J.P., Didovets I., Stagl J., Huang S., Koch H., Rivas Lopez M.D.R., Maule C.F., Hattermann F., Krysanova V. Hydrological impacts of moderate and high-end climate change across European river basins // J. Hydrol. Regional Studies. 2018. V. 18. P. 15–30.
- Masson-Delmotte V., Zhai P., Pörtner H., Roberts D., Skea J., Shukla P., Pirani A., Moufouma-Okia W., Péan C., Pidcock R. Global Warming of 1.5°C. An IPCC Special report on the impacts of global warming of 1.5°C above pre-industrial levels and related global greenhouse gas emission pathways, in the context of strengthening the global response to the threat of climate change, sustainable development, and efforts to eradicate poverty. Cambridge, UK: Cambridge Univ. Press, 2018. 616 p.
- Nasonova O.N., Gusev Ye.M., Kovalev E.E., Ayzel G.V., Panysheva K.M. Projecting changes in Russian northern river runoff due to possible climate change during the 21st century: a case study of the Northern Dvina, Taz and Indigirka rivers // Water Resour. 2019. V. 46. № S1. P. S145–S154.
- Renssen H., Lougheed B., Aerts J., de Moel H., Ward P., Kwadijk J. Simulating long-term Caspian Sea level changes: the impact of Holocene and future climate conditions // Earth Planet. Sci. Lett. 2007. V. 261. P. 685–693.
- Rets E.P., Durmanov I.N., Kireeva M.B., Smirnov A.M., Popovnin V.V. Past ‘peak water’ in the North Caucasus: deglaciation drives a reduction in glacial runoff impacting summer river runoff and peak discharges // Climate Change. 2020. V. 163. P. 2135–2151.
- Shkolnik I., Pavlova T., Efimov S., Zhuravlev S. Future changes in peak river flows across Northern Eurasia as inferred from an ensemble of regional climate projections under the IPCC RCP8.5 scenario // Clim. Dyn. 2018. V. 50. P. 215–230.
Supplementary files








