Элементный состав водорослей рода Spirogyra (Zygnematophyceae, Charophyta) литорали оз. Байкал
- Authors: Куликова Н.Н.1, Чебыкин Е.П.1, Волкова Е.А.1, Тимошкин О.А.1, Сутурин А.Н.1
-
Affiliations:
- Лимнологический институт Сибирского отделения РАН
- Issue: Vol 51, No 1 (2024)
- Pages: 125-142
- Section: ГИДРОХИМИЯ, ГИДРОБИОЛОГИЯ, ЭКОЛОГИЧЕСКИЕ АСПЕКТЫ
- URL: https://medbiosci.ru/0321-0596/article/view/260969
- DOI: https://doi.org/10.31857/S0321059624010113
- EDN: https://elibrary.ru/EDIOSU
- ID: 260969
Cite item
Full Text
Abstract
Методом ИСП-МС определен элементный состав байкальских бентосных водорослей и водорослей рода Spirogyra, массовая вегетация которых отмечена в последнее десятилетие в литорали оз. Байкал. В составе бентосного морфотипа спирогиры, доминирующей на участках каменистой литорали (Spirogyra “morphotype 1”), – следующее распределение элементов: Na ~ K ~ Ca ~ S ~ Ba > Mg ≥ P > Mn ≥ Cl; в составе неприкрепленных ко дну Spirogyra spp. из притоков, неглубоких бухт и заливов с мягкими донными грунтами: Na > K ≥ Ca ~ S ~ P ~ Ba ≥ Mg, Cl > Mn. Водоросли рода Spirogyra отличаются по элементному составу от байкальских бентосных водорослей более высоким содержанием Li, Na, Mn, Ba и нетипичным соотношением концентраций элементов: Na > P, Na ≥ K и Ca, Mn > Fe, Ba ~ Ca и S, Ba > Sr. Максимальное суммарное содержание (∑С) всех определяемых элементов, ∑С Na Mg P S Cl Ca Li Al Si Mn Zn Ba, ∑С Na Cl P Mn характерны для Spirogyra “morphotype 1”, доминирующей на участках литорали, расположенных возле наиболее мощных источников хозяйственно-бытовых стоков. К таким источникам приурочен массовый рост и других видов спирогиры, накапливающих больше, чем Spirogyra “morphotype 1”, Li, Na, Cl, Br.
Full Text
Нитчатые водоросли рода Spirogyra Link., 1820 распространены во всех климатических зонах, растут в реках и старицах рек, водохранилищах, озерах, прудах, болотах, развиваются в пресных и солоноватых водах [26]. В оз. Байкал водоросли рода Spirogyra в небольших количествах отмечены в разные годы ХХ в. в зарослях высших водных растений в прибрежно-соровой зоне: в Истокском соре, в бухтах Анге, Загли и Хорин-Ирги, в Посольском соре, на Ангаро-Кичерском мелководье и соре, в дельте р. Селенги, в бухтах Дагарской и Сеногде, у о. Лиственничного, в приустьевых пространствах рек Тыи, Курлы, Тошки [8, 12, 13, 22, 24, 33]. Водоросли рода Spirogyra типичны для альгофлоры холодных и термальных минеральных источников Прибайкалья, минерализация воды в которых – 0.12–0.27, 2.7–3.4 г/л [28]. С 2008 г. постоянное присутствие небольшого количества спирогиры наблюдалось в истоке р. Ангары. В 2009 г. нити неприкрепленных морфотипов спирогиры были обнаружены в притоках бух. Большие Коты [30]. В толще воды литорали открытых побережий Байкала незначительное количество спирогиры зафиксировано в 1976 и 1982 гг. в районе сброса промышленных сточных вод Байкальского целлюлозно-бумажного комбината (БЦБК) [11].
Нехарактерная для Байкала массовая вегетация бентосной спирогиры (позднее обозначенной как Spirogyra “morphotype 1” [43]) установлена с 2011–2012 гг. в мелководной зоне зал. Лиственничного и бух. Большие Коты [14, 30]. Именно этот бентосный морфотип спирогиры доминирует на значительной части мелководной зоны озера [42, 43]. Массовое цветение водорослей этого рода и прежде всего бентосного морфотипа приурочено к участкам литорали, сопряженным с населенными пунктами и центрами сезонной рекреации [36, 42, 44]. Такие территории из-за резко возросшего потока туристов (~3 млн в год только зарегистрированных) [9] стали значительным источником загрязнения прибрежных вод. Загрязняющими веществами (сульфатами, хлоридами, нитратами, аммиачным азотом, фосфатами и т. д., ~400–500 т в год) насыщены хозяйственно-бытовые сточные воды очистных сооружений городов и поселков, расположенных на площади водосбора озера [9]. Биологическое и химическое загрязнение прибрежной зоны происходит и в результате бесконтрольного поверхностного стока талых, дождевых, речных и паводковых вод, а также их инфильтрации через почвенно-грунтовый покров в прибайкальских населенных пунктах и центрах рекреации в грунтовые воды, гидравлически связанные с озером. Комплексные исследования на территории пос. Листвянка и в зал. Лиственничном показали, что поверхностные и грунтовые воды, поступающие в залив, загрязнены фекальными микроорганизмами и обогащены растворенными соединениями Na, Cl, P, Zn, Ba, Pb [18, 27].
Непосредственное содержание элементов в воде мелководной зоны Байкала, загрязняемой хозяйственно-бытовыми стоками, из-за активных гидродинамических процессов [4] подвержено значительным колебаниям и не отражает реальное поступление загрязнителей в прибрежную зону. Объективную информацию об антропогенном загрязнении водной среды может дать элементный состав бентосных водорослей, накапливающих ряд химических элементов в процессе своего роста. Как показали исследования, все протестированные водоросли: Chara spp., Hydrodictyon spp., Lyngbya spp., Nitella spp., Pithophora spp. и Spirogyra spp., – биоаккумуляторы P, S, K, Rb, Mg, Ca, Sr, Ba, Al, As, Se, Cr, Mn, Fe, Co, Cu, Zn, Мо и Pb [40]. Распределение Cladophora sp., Spirogyra sp, Oedogonium sp. коррелировало с эвтрофным индексом, содержанием хлоридов антропогенного происхождения и минерализацией водоемов [38]. Ранее было показано, что Spirogyra sp. способна эффективно извлекать из водной среды ионы Na, K, Mg и накапливать их больше, чем пресноводные животные [21]. После 30-минутной выдержки в воде, загрязненной Mn, Cu, Zn, Cd, концентрация металлов в талломах Spirogyra sp. увеличивалась пропорционально их концентрации в растворе [39]. Результаты исследований подтвердили эффективность использования Spirogyra spp. для биомониторинга водоемов, в которые поступают сточные воды, загрязненные Zn, Cu, Pb, Cd [35].
Цель исследований – определить элементный состав водорослей рода Spirogyra с акцентом на бентосный морфотип; рассчитать коэффициенты биологического накопления химических элементов спирогирой относительно их концентрации в водной среде; на основе полученных данных выделить участки литорали с максимальным, минимальным и средним содержанием химических элементов в Spirogyra “morphotype 1”.
Объекты и методы исследований
Пробы воды и бентосных водорослей отбирали в июне–сентябре 2018–2020 гг. в мелководной зоне Байкала (рис. 1). Воду отбирали пластиковыми шприцами: в 1 м от уреза; на глубине 5–7 м (придонный слой); в 1 м выше уреза (интерстициальную воду из лунок, заложенных на пляжах зоны заплеска). Пробы воды фильтровали через мембранные фильтры с диаметром пор 0.2 мкм в стерильные полипропиленовые пробирки. В качестве консерванта использовали дважды очищенную суббойлинговой перегонкой 70%-ную HNO3. Образцы водорослей сразу после сбора промывали в прибрежной и байкальской фильтрованной воде. Для удаления остатков загрязнений отмытые водоросли просматривали под бинокуляром “МБС-10” при увеличении от ×30 до ×100, ополаскивали дистиллированной водой и доводили до воздушно-сухого состояния в сушильном шкафу при 60˚C, до постоянной массы – при 105˚C. Образцы водорослей с очень большой долей осевшей взвеси, которую смогли удалить лишь частично, анализировали как пробы с примесью мелкодисперсных минеральных частиц. Подготовку проб водорослей к анализу выполняли способом кислотной минерализации: сухую навеску помещали в стерильную полипропиленовую пробирку, заливали очищенной суббойлинговой перегонкой 70%-ной HNO3, 8 ч выдерживали в сушильном шкафу при 80˚C, после остывания добавляли особо чистый 30% H2O2. Для определения родовой и видовой принадлежности водорослей использовали микрофотографии, полученные с использованием световых микроскопов “Olympus CX-21” и “Meiji Techno” при увеличении от ×40 до ×400, фотоаппаратов “Olympus C-3040” c фотонасадкой NY20005 011705 и “Sony Cyber-shot”. Точное видовое определение спирогир, как правило, возможно лишь при наличии конъюгирующих нитей и зрелых зигоспор, которые при сборе материала в природе встречаются нечасто [26]. Бентосная спирогира, собранная на участках каменистой литорали, граничащих с территориями поселков и рекреаций, имеет сходные морфологические признаки и обозначена авторами настоящей работы как Spirogyra “morphotype 1”. Перечень морфологических признаков, свойственных данному морфотипу, приведены в [42]. Вторая группа проб, морфологически отличных от “morphotype 1”, представлена неприкрепленными ко дну видами Spirogyra spp. из притоков, неглубоких бухт и заливов с мягкими донными грунтами.
Рис. 1. Картосхема территории отбора проб Spirogyra “morphotype 1” и байкальских бентосных водорослей из литорали оз. Байкал. Черные кружки – станции отбора проб Spirogyra “morphotype 1” и байкальских бентосных водорослей: 1 – зал. Лиственничный, пос. Листвянка, кафе “Аланья”; 2 – пос. Листвянка, 40 м севернее устья р. Сеннушки; 3 – пос. Листвянка, гостиница “Маяк”; 4 – пос. Листвянка, нерпинарий; 5 – пос. Листвянка, кафе “Подкова”; 6 – м. Березовый; 7 – пос. Большие Коты, 300 м севернее устья р. Черной; 8 – пос. Большие Коты, Стационар ЛИН; 9 – пос. Большие Коты, биостанция ИГУ; 10 – пос. Большое Голоустное; 11 – бух. Песчаная; 12 – пос. Бугульдейка (напротив устья р. Бугульдейки); 13 – бух. Ая; 14 – пос. Сахюрта; 15 – р. Сарма; 16 – м. Хорин-Ирги; 17 – пос. Хужир, м. Шаманка; 18 – м. Елохин; 19 – м. Коврижка; 20 – м. Котельниковский; 21 – м. Красный Яр; 22 – с. Байкальское; 23 – м. Лударь; 24 – губа Слюдянская; 25 – бух. Сеногда; 26 – напротив пос. Заречный; 27 – р. Тыя (русло, устье); 28 – г. Северобайкальск; 29 – пос. Нижнеангарск; 30 – бух. Фролиха; 31 – бух. Аяя; 32 – губа Томпуда, гидрометеостанция; 33 – пос. Максимиха; 34 – пос. Турка; 35 – г. Бабушкин; 36 – напротив пруда-отстойника БЦБК; 37 – напротив цеха № 1 БЦБК, глубина 1–3 м; 38 – напротив цеха № 1 БЦБК, глубина 3–7 м; 39 – напротив устья р. Бабхи, гл 4 м; 40 – пос. Култук. Светлые кружки – станции, в литорали которых водоросли рода Spirogyra не обнаружены: 1 – зал. Каргантэ; 2 – мыс Ижимей; 3 – о. Большой Ушканий; 4 – о. Тонкий; 5 – м. Малый Солонцовый; 6 – м. Кабаний; 7 – м. Бирокан; 8 – губа Иринда; 9 – м. Омагачан; 10 – губа Большая Самдаки; 11 – губа Лаканда; 12 – м. Немнянка
Элементный состав всех проб определяли методом ИСП-МС. Анализ выполняли на масс-спектрометре “Agilent 7500ce” фирмы “Agilent Technologies” с квадрупольным масс- анализатором в Центре коллективного пользования “Ультрамикроанализ” при ЛИН СО РАН. Правильность определений оценивали, используя аттестованные стандартные образцы состава элодеи канадской (ЭК-1) (Институт гео химии им. А. П. Виноградова СО РАН), стандартный образец состава глубинной байкальской воды [41]. Типичные ошибки измерения (коэффициент вариации CV) в зависимости от концентрации химических элементов находились в следующих диапазонах: < 0.001 – CV > 25, 0.001–0.1 – CV 25–10, 0.1–1 – CV 10–5, > 1 мкг/л – CV 5%. Концентрационную функцию водорослей оценивали относительно элементного состава воды: КБН = C1/C2 (КБН – коэффициент биологического накопления, C1 – концентрация элемента в сырой биомассе водорослей, C2 – то же в глубинной байкальской воде). Содержание воды в талломах водорослей и их зольность определяли термовесовым методом.
Статистическая обработка данных проведена в программах MS Excel 2007 и Statistica 8. Из выборочной совокупности полученных данных выделена однородная группа значений. Для проверки выделенной группы на однородность использовали коэффициент вариации [29]. Выборочная совокупность считается однородной при CV ≤ 33% [2]. В отдельные группы выделены минимальные и максимальные значения. Результаты представлены в виде средних содержаний, стандартных отклонений и медианы, при небольшом количестве данных – в виде интервалов (max–min) или одиночных значений. Кластеризация станций отбора проб Spirogyra “morphotype 1” выполнена методом k-средних по трем переменным: суммарному содержанию (∑С) в составе спирогиры Na, Mg, P, S, Cl, Ca, Li, Al, Si, Mn, Zn, Ba, концентрация которых, кроме Li, > 10 мкг/г сухой массы; ∑С Na Cl P Mn, содержание которых отличается сильной вариацией; ∑С всех определяемых элементов. Для определения количества кластеров последовательно анализировали качество разбиения полученных данных на два, три, четыре и пять кластеров. При увеличении до пяти кластеров отдельные координаты центров в разных кластерах мало отличались друг от друга. Максимально координаты центров отличались при разбиении на три кластера.
Оценка статистической значимости различий между содержаниями элементов в Spirogyra spp. и Spirogyra “morphotype 1” проведена по U-критерию Манна–Уитни (U).
Результаты и обсуждение
Распространение Spirogyra spp. в мелководной зоне
Среди байкальских зеленых водорослей (Chlorophyta), наиболее разнообразной группы макрофитобентоса озера, лидирующие позиции в последнее десятилетие заняла спирогира [45]. Заросли прикрепленных к каменистому дну спирогир на глубинах от 0.5 до 6 м образует Spirogyra “morphotype 1” [42]. Массовое цветение этого морфотипа происходит с конца августа по ноябрь и территориально приурочено к границам прибрежных населенных пунктов и центров сезонной рекреации. В районах озера, мелководная зона которых подвержена круглогодичному воздействию хозяйственно-бытовых стоков, эта нитчатка вегетирует уже круглогодично. Во многих притоках озера и его мелководных заливах, как правило, с мягкими донными грунтами, большие скопления на дне или в толще воды образуют другие виды спирогиры. По данным экспедиционных исследований в сентябре 2020 г., участки прибрежной зоны, пока свободные от спирогир, граничат с заповедными незаселенными территориями (рис. 1). Здесь на большей части каменистых мелководий сохранилась известная со времени работ К. И. Мейе ра [23] зональность распределения бентосных водорослей: на глубине 0–1.5 м (I растительный пояс) – Ulothrix zonata (Web. et Mohr.) Kütz.; от 1.5 до 2.5 м (II) – Tetraspora cylindrica (Wahl.) Ag., Didymosphenia M. Schmidt; от 2.5 до 10 м (III) – эндемичные виды рода Draparnaldioides Meyer et Skabitsch. На донных грунтах в растительных поясах, особенно во II и III, часто распространены многолетние виды Cladophora Kütz., 1843 [10].
Химический элементный состав
Элементный состав водорослей рода Spirogyra, накапливающих многие элементы пропорционально росту их содержания в водной среде [21, 34, 38–40, 46], может дать объективную информацию об антропогенном загрязнении мелковод ной зоны озера.
В настоящем исследовании выяснено, что содержание воды в талломах спирогиры составляет 82–94% (в среднем – 88.0±6.7); зольность – 4.60±1.03%, в пробах с примесью минеральных частиц – 6.0–8.3%. Содержание химических элементов в пробах Spirogyra “morphotype 1” сильно варьирует в зависимости от мест отбора. Наиболее заметное варьирование в составе Spirogyra “morphotype 1” характерно для концентрации Fe, Co, Ni, Zn, Ge, Cd, Sn, Sb, Hg, Tl, Pb, Bi и ряда литофильных элементов: Al, P, Ti, V, Br, Zr, Nb, I, Cs, Hf, Ta, Th, редкоземельных элементов (РЗЭ), мигрирующих в водной среде преимущественно в составе взвеси, часть которой оседает и удерживается в зарослях нитчатых водорослей [16, 32]. Максимальное содержание литофильных элементов: Be, B, Al, Si, Sc, Ti, Zr, Nb, Ag, Cs, Hf, Th, U, РЗЭ, а также Pb и Bi – установлено в пробах спирогиры с примесью мелкодисперсных минеральных частиц (табл. 1, 2). Наименьшая степень варьирования концентраций (Cmax/Cmin – 3.0–4.0) элементов в составе Spirogyra “morphotype 1” отмечена для Ba, S, Sr, Mg, K, Ca, Mo (табл. 1). Высокие и низкие содержания элементов в спирогире, определяющие неоднородность исходной совокупности полученных данных, выделены в группы минимальных и максимальных значений (табл. 1).
Таблица 1. Элементный состав водорослей Spirogyra “morphotype 1”, собранных с 30 станций (88 проб) мелководной зоны Байкала (здесь и в табл. 1–3 n – количество проб; в табл. 1, 2 прочерк – минимальное и максимальное содержание из однородного ряда данных по 30 станциям)
Эле- мент | Содержание, мкг/г сухой массы | ||||||||
минимальное | среднее | максимальное | с примесью минеральных частиц | ||||||
max–min, среднее±стандартное отклонение | количество стан-ций | среднее | меди-ана | CV, % | количество стан-ций | среднее, max–min | количество стан-ций | max–min (n = 6) | |
Li | 0.72 | 1 | 2.42±0.75 | 2.25 | 31.2 | 28 | 5.00 | 1 | 4.70–1.10 |
Be | 0.0011±0.0004 | 8 | 0.0028±0.0009 | 0.0028 | 32.6 | 21 | 0.12 | 1 | 0.038–0.002 |
B | 0.29 | – | 0.53±0.15 | 0.50 | 28.0 | 20 | 3.13±1.35 | 10 | 35.0–0.51 |
Na | 1600 | 1 | 4500±1400 | 4500 | 32.1 | 27 | 8200–7350 | 2 | 9750–1380 |
Mg | 1600 | – | 2300±690 | 2200 | 29.9 | 30 | 4800 | – | 4900–3000 |
Al | 4.50–4.00 | 3 | 27.0±8.5 | 26.4 | 31.5 | 13 | 72.6±22.5 | 14 | 1230–40 |
Si | 15.0 | 1 | 82.7±26.7 | 74.7 | 32.2 | 27 | 160–140 | 2 | 800–190 |
P | 810±210 | 11 | 1700±560 | 1550 | 32.8 | 17 | 3300–3200 | 2 | 3800–1300 |
S | 2100 | – | 3150±820 | 3000 | 26.2 | 30 | 5700 | – | 7000–4700 |
Cl | 110 | 1 | 450±150 | 490 | 32.9 | 26 | 1800–1000 | 3 | 1850–520 |
K | 2800 | – | 5200±1500 | 4900 | 29.8 | 30 | 8700 | – | 10 300–2200 |
Ca | 2800 | – | 3800±1000 | 3600 | 26.6 | 29 | 9850 | 1 | 10 300–5100 |
Sc | 0.036 | – | 0.073±0.019 | 0.075 | 25.6 | 27 | 0.31–0.23 | 3 | 0.78–0.11 |
Ti | 1.06±0.35 | 9 | 2.83±0.92 | 2.86 | 32.6 | 12 | 7.07±1.66 | 9 | 62.5–1.72 |
V | 0.16±0.03 | 5 | 0.44±0.14 | 0.44 | 31.0 | 22 | 2.56–1.22 | 3 | 6.60–0.26 |
Cr | 0.21 | 1 | 0.51±0.16 | 0.47 | 31.8 | 26 | 1.61–1.22 | 3 | 9.40–0.58 |
Mn | 460–230 | 3 | 1100±340 | 990 | 32.1 | 27 | 2000 | – | 2500–810 |
Fe | 80.0–50.0 | 4 | 170±50 | 170 | 31.0 | 23 | 1300–410 | 3 | 2400–280 |
Co | 1.35–0.63 | 4 | 2.83±0.92 | 2.85 | 32.4 | 16 | 7.21±3.66 | 10 | 12.8–1.03 |
Ni | 2.33±0.72 | 6 | 5.76±1.77 | 5.37 | 30.8 | 13 | 18.3±5.7 | 11 | 24.0–1.39 |
Cu | 2.30 | 1 | 4.91±1.62 | 4.53 | 32.9 | 27 | 11.6–10.1 | 2 | 11.8–5.90 |
Zn | 21.6±4.0 | 9 | 57.9±18.2 | 52.5 | 31.4 | 17 | 260–160 | 4 | 190–28.0 |
Ga | 0.020 | 1 | 0.060±0.019 | 0.055 | 31.3 | 27 | 0.19–0.12 | 2 | 0.75–0.09 |
Ge | 0.0043±0.0013 | 7 | 0.010±0.003 | 0.008 | 32.2 | 20 | 0.19–0.06 | 3 | 0.11–0.011 |
As | 2.10–1.88 | 3 | 5.74±1.89 | 5.40 | 33.0 | 24 | 14.3–10.5 | 3 | 11.9–5.00 |
Se | 0.029 | 2 | 0.085±0.026 | 0.081 | 31.1 | 28 | 0.14 | – | 0.31–0.16 |
Br | 2.27±0.42 | 5 | 5.68±1.84 | 5.70 | 32.4 | 21 | 18.7–10.6 | 4 | 45.8–1.90 |
Rb | 0.30 | – | 0.55±0.17 | 0.50 | 30.7 | 28 | 1.42–1.90 | 2 | 4.40–0.97 |
Sr | 21.2 | – | 32.9±8.2 | 30.5 | 25.0 | 30 | 59.0 | – | 71.0–39.0 |
Y | 0.037±0.008 | 5 | 0.11±0.036 | 0.10 | 32.9 | 23 | 0.33–0.18 | 2 | 1.49–0.36 |
Zr | 0.018±0.006 | 7 | 0.049±0.016 | 0.044 | 32.4 | 16 | 0.11±0.02 | 7 | 0.60–0.15 |
Nb | 0.0052±0.0021 | 8 | 0.014±0.005 | 0.014 | 32.0 | 18 | 0.037–0.027 | 4 | 0.38–0.021 |
Mo | 0.21 | – | 0.40±0.11 | 0.39 | 27.0 | 30 | 0.75 | – | 0.99–0.49 |
Ag | 0.0015–0.0013 | 4 | 0.0036±0.0012 | 0.0036 | 32.8 | 25 | 0.0070 | 1 | 0.021–0.001 |
Cd | 0.029–0.020 | 2 | 0.12±0.04 | 0.11 | 32.4 | 18 | 0.35±0.08 | 10 | 1.03–0.21 |
Sn | 0.0050±0.0017 | 10 | 0.012±0.004 | 0.011 | 32.5 | 16 | 0.12–0.023 | 4 | 0.21–0.015 |
Sb | 0.0060±0.0020 | 19 | 0.016±0.005 | 0.016 | 32.2 | 7 | 0.055–0.025 | 4 | 0.087–0.016 |
I | 0.39±0.11 | 7 | 0.86±0.29 | 0.85 | 33.0 | 14 | 1.96±0.62 | 9 | 6.50–1.38 |
Cs | 0.0020–0.0009 | 3 | 0.0035±0.0012 | 0.0033 | 32.9 | 19 | 0.0078±0.0015 | 8 | 0.088–0.008 |
Ba | 2150 | – | 3350±800 | 3300 | 24.0 | 30 | 5600 | – | 6200–3400 |
Hf | 0.0005±0.0002 | 7 | 0.0017±0.0005 | 0.0014 | 31.3 | 16 | 0.0043±0.0022 | 7 | 0.021–0.004 |
Ta | 0.0003±0.0001 | 8 | 0.0009±0.0003 | 0.0009 | 32.4 | 19 | 0.0071–0.0020 | 3 | 0.0065–0.0010 |
W | 0.0080±0.0006 | 3 | 0.015±0.005 | 0.014 | 32.2 | 25 | 0.040–0.030 | 2 | 0.069–0.021 |
Hg | <0.009 | 5 | 0.013±0.004 | 0.014 | 32.6 | 21 | 0.030–0.022 | 4 | 0.040–0.005 |
Tl | 0.0017±0.0005 | 5 | 0.0046±0.0015 | 0.0043 | 31.8 | 18 | 0.12±0.004 | 7 | 0.028–0.003 |
Pb | 0.13±0.02 | 5 | 0.34±0.11 | 0.35 | 32.0 | 18 | 0.81±0.12 | 7 | 9.90–0.81 |
Bi | 0.0005±0.0001 | 6 | 0.0011±0.0004 | 0.0011 | 31.1 | 17 | 0.0049±0.0021 | 7 | 0.013–0.0038 |
Th | 0.0061±0.0026 | 7 | 0.029±0.010 | 0.027 | 32.8 | 18 | 0.065±0.023 | 5 | 0.74–0.057 |
U | 0.14–0.11 | 4 | 0.25±0.08 | 0.23 | 32.1 | 22 | 0.67–0.48 | 4 | 2.80–0.46 |
В сухой массе Spirogyra “morphotype 1” на долю Na ~ K ~ Ca ~ S ~ Ba > Mg ≥ P > Mn ≥ Cl приходится 98–99% общего содержания определяемых элементов; 1–2% представлены Fe > Si > Zn> Sr > Al с содержанием в преобладающей части проб 200–30 мкг/г; Br > Ni > As > Cu > Ti > Co > Li, I (0–1.0 мкг/г); Rb > B > Cr > V > Mo > Pb > U > Cd > Y > Se > Sc > Ga (1.0–0.1 мкг/г); Zr > Th > Sb > Nb > W > Hg > Sn > Ge (0.1–0.01 мкг/г); Tl > Ag > Cs > Be > Hf > Bi > Ta (0.005–0.001 мкг/г) (табл. 1).
Суммарное содержание РЗЭ в сухой массе спирогиры колеблется в широких пределах – от ~0.20 в водорослях, собранных в литорали м. Хорин-Ирги с крупнообломочными донными отложениями и скалистыми берегами, до 3.0–14.0 мкг/г в пробах с примесью минеральных частиц; в преобладающей части проб – 0.38–1.22 мкг/г (в среднем 0.81±0.25). Содержание РЗЭ в составе водорослей рода Spirogyra закономерно убывает в порядке возрастания атомных номеров: легких РЗЭ (∑ La Ce Pr Nd Sm Eu) больше, чем тяжелых (∑ Gd Tb Dy Ho Er Tm Yb Lu), в 6–15 раз (UРЗЭ – 0–2, уровень значимости p < 0.001). В наименьшей степени исследуемые водоросли концентрируют тяжелые Ho, Tb, Tm, Lu (табл. 2).
Таблица 2. Содержание редкоземельных элементов в составе водорослей Spirogyra “morphotype 1”, собранных с 30 станций (88 проб) мелководной зоны Байкала (nd – нет данных)
Эле-мент | Содержание, мкг/г сухой массы | ||||||||
минимальное | среднее | максимальное | с примесью минеральных частиц | ||||||
max–min, среднее ± стандартное отклонение | коли-чество стан-ций | среднее | меди-ана | CV,% | коли-чество стан-ций | среднее, max–min | коли-чество стан-ций | max–min (n = 6) | |
La | 0.080–0.061 | 2 | 0.20±0.06 | 0.19 | 32.1 | 22 | 0.39±0.04 | 6 | 2.70–0.63 |
Ce | 0.015/0.071±0.019* | 1/6 | 0.28±0.08 | 0.31 | 29.4 | 18 | 0.51±0.12 | 5 | 5.80–1.08 |
Pr | 0.003/0.010±0.005* | 1/5 | 0.035±0.011 | 0.038 | 32.3 | 18 | 0.063±0.006 | 6 | 0.67–0.13 |
Nd | 0.042±0.023 | 8 | 0.17±0.05 | 0.17 | 30.6 | 22 | 0.25 | – | 2.70–0.49 |
Sm | 0.019 | – | 0.046±0.014 | 0.047 | 29.9 | 30 | 0.071 | – | 0.54–0.12 |
Eu** | nd | nd | nd | nd | |||||
Gd | 0.0080±0.0037 | 8 | 0.029±0.009 | 0.029 | 30.4 | 20 | 0.064–0.058 | 2 | 0.58–0.12 |
Tb | 0.0008±0.0004 | 5 | 0.0030±0.0010 | 0.0029 | 32.2 | 20 | 0.0061±0.0020 | 5 | 0.050–0.012 |
Dy | 0.0060±0.0026 | 10 | 0.019±0.006 | 0.018 | 31.6 | 19 | 0.059 | 1 | 0.31–0.063 |
Ho | 0.0009±0.0004 | 6 | 0.0028±0.0009 | 0.0025 | 31.2 | 19 | 0.0067±0.0035 | 5 | 0.058–0.012 |
Er | 0.0042±0.0018 | 13 | 0.011±0.004 | 0.010 | 32.7 | 16 | 0.037 | 1 | 0.16–0.035 |
Tm | 0.0006±0.0001 | 6 | 0.0015±0.0005 | 0.0015 | 32.4 | 22 | 0.0060–0.0046 | 2 | 0.021–0.004 |
Yb | 0.0031±0.0012 | 12 | 0.0084±0.0027 | 0.0080 | 32.7 | 17 | 0.032 | 1 | 0.13–0.028 |
Lu | 0.0004±0.0001 | 5 | 0.0011±0.0003 | 0.0010 | 31.7 | 20 | 0.0027±0.0014 | 5 | 0.063–0.004 |
* В числителе – содержание элемента в пробах, собранных на единственной станции, в знаменателе – содержание в пробах со станций 5 и 6.
** При высоком содержании Ba определение Eu методом ИСП-МС осложнятся трудностью учета интерференций с Ba O.
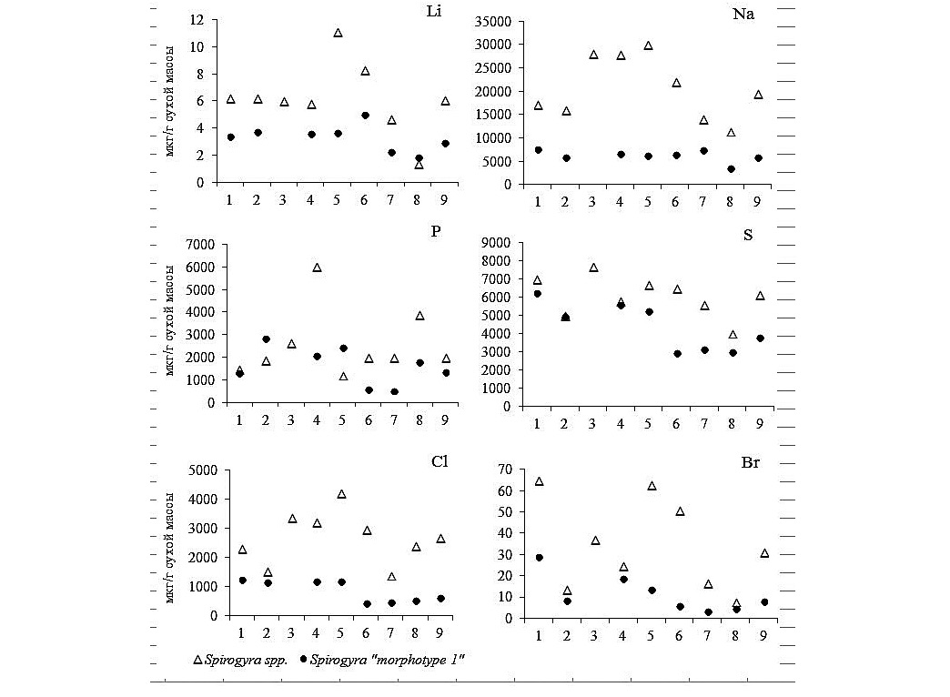
Химический элементный состав, близкий к составу Spirogyra “morphotype 1”, установлен для других морфотипов водорослей этого рода из рек Тыи и Сармы. В пробах Spirogyra spp., собранных в реках Черной, Верхняя Ангара, заливах Лиственничном, Култук, бух. Сеногде, мелководье вблизи пос. Заречного и прибрежном озере в основании берегового уступа (пос. Сахюрта), – больше Na и во многих случаях – Li, S, Cl. Некоторые виды превосходят Spirogyra “morphotype 1” по содержанию Br. Пробы большей части Spirogyra “morphotype 1” и Spirogyra spp. по содержанию фосфора P не различаются (рис. 2), хотя максимальные концентрации P отмечены в двух пробах Spirogyra spp. В элементном составе неприкрепленных ко дну Spirogyra spp. преобладает Na. В отличие от многих пресноводных водорослей и наземных растений незасоленных ландшафтов [6], в сухой массе Spirogyra spp. Na > Ca в 2–10 раз (UNa–Ca = 0, p = 0.00001) и в большей части проб Na > K (UNa–K = 3, p = 0.00001) (рис. 3).
Рис. 2. Содержание Li, Na, P*, S, Cl, Br в сухой массе Spirogyra spp. и Spirogyra “morphotype 1”. (P* – незначимые различия, U = 19, p = 0.3); для Na, Cl – U = 0, p = 0.001; Li – U = 8, p = 0.02; S, Br – U = 9, p = 0.03). 1–8 – точки отбора проб: 1 – 28.07.2016, 23.07.2017, зал. Лиственничный; 2 – 27.09.20, м. Березовый; 3 – Spirogyra spp., 15.09.2018, устье р. Черной; 4 – 13.09.19, 28.09.2020, зал. Култук; 5 – 10.08.2019, 22.09.2019, бух. Сеногда; 6 – 12.06.2018, 10.08.2019, мелководье вблизи пос. Заречного; 7 – Spirogyra spp., 23.07.2020, русло р. Верхней Ангары; Spirogyra “morphotype 1”, 23.07.2020, вблизи пос. Нижнеангарск; 8 – Spirogyra spp., 18.09.2019, прибрежное озеро в основании берегового уступа (пос. Сахюрта); Spirogyra “morphotype 1”, 18.09.2019, пос. Хужир, м. Шаманка; 9 – медиана.
Рис. 3. Среднее содержание (± стандартное отклонение) Na, Ca и K в сухой массе Spirogyra spp. Пробы Spirogyra spp. отобраны: 15.09.2018, устье р. Черной; 28.07.2016, зал. Лиственничный; 27.09.2020, м. Березовый; 13.09.2019, зал. Култук; 10.08.2019, бух. Сеногда; 12.06.2018, вблизи пос. Заречного; 10.08.2019, вблизи пос. Заречного; 23.07.2020, русло р. Верхней Ангары, 18.09.2019, прибрежное озеро в основании берегового уступа (пос. Сахюрта).
Все виды спирогир, собранные из рек, прибрежного озера, бухты и заливов, а также наиболее распространенные на многих участках каменистой литорали водоросли Spirogyra “morphotype 1” по своему элементному составу существенно отличаются от других байкальских водорослей. Байкальские бентосные водоросли растительных поясов в соответствии со слабоминерализованной водной средой гидрокарбонатного кальциевого состава [7] одинаково мало содержат Li, Na, Mn и Ba. В талломах спирогиры концентрация этих элементов намного больше, хотя содержания Li, Na, Mn в Spirogyra “morphotype 1” отличаются сильной вариацией (коэффициент вариации CV – 41–44%) (рис. 4). Из всех определяемых элементов в составе спирогиры “morphotype 1” однородные совокупности значений (СV – 18–31%) характерны для содержания Ba, Mg, S, K, Ca и Sr (рис. 4, 5).
Рис. 4. Содержание Li, Na, Mn, Ba в Spirogyra “morphotype 1” и типичных байкальских бентосных водорослях (1–40 – станции отбора проб (рис. 1)).
Рис. 5. Содержание Mg, P, S, Cl, K, Ca, Sr в Spirogyra “morphotype 1” и типичных байкальских бентосных водорослях (1–40 – станции отбора проб (рис. 1)).
Элементы Mg, P, S, Cl, K, Ca, преобладающие в сухой массе U. zonata, T. cylindrica var. bullosa, D. geminata, D. baicalensis, D. arenaria, C. floccosa, C. glomerata, C. compacta, Spirogyra “morphotype 1” поглощает и накапливает в равной или нередко в меньшей степени (рис. 5). В ее составе заметно меньше Mg, чем в D. baicalensis, D. arenaria, D. geminata. Спирогира – не самый активный концентратор S и заметно уступает в этом отношении U. zonata, C. floccosa, C. glomerata, C. сompacta, D. geminata. Многие водоросли растительных поясов литорали содержат больше K и Cl, чем Spirogyra “morphotype 1” (рис. 5). Виды спирогиры (Spirogyra spp.) из рек, прибрежного озера, бухты и заливов с мягкими донными грунтами концентрируют Mg, P, S, Cl, K, Ca так же интенсивно, как и байкальские бентосные водоросли.
Значительная концентрация в талломах спирогиры Na, Ba и Mn определяет нетипичное для химического состава большинства пресноводных водорослей и наземных растений соотношение содержаний ряда элементов. В преобладающей части проб Spirogyra “morphotype 1” Ca/Na составляет 0.65–1.80; в T. cylindrica, D. baicalensis, D. arenaria – 3–30, в U. zonata, C. floccosa, C. glomerata, C. compacta – 30–100, в D. geminata – 100–300. В cреднем составе живого вещества (по А.П. Виноградову [6]) Ca/Na = 25. Во всех исследуемых видах байкальских бентосных водорослей Na/P < 0.5, в то время как спирогира концентрирует Na гораздо больше (Na/P – 2.30–4.30). В среднем составе живого вещества Na/P = 0.28. В талломах типичных байкальских водорослей, за исключением T. cylindrica, D. geminata, Na/Cl < 1. В составе спирогиры Na > Cl в 4.0–17.0 раз. Водоросли растительных поясов литорали Байкала концентрируют намного больше K, чем Na. В преобладающей части проб Spirogyra “morphotype 1” содержание K ~ Na (K/Na – 0.90–1.80). Спирогира содержит больше Mn, чем Fe (Mn/Fe – 1.60–8.50); в байкальских бентосных водорослях, наоборот, больше Fe. Характерный признак водорослей рода Spirogyra – высокое, очень редкое для большинства растений содержание, Ba, близкое к содержанию Ca (Ca/Ba – 0.60–0.90) и S (Ba/S – 0.90–1.10). По данным [37], Ba накапливается в цитоплазме клеток спирогиры в виде кристаллов сульфата. В отличие от байкальских бентосных водорослей литорали, накапливающих Sr ≥ Ba, спирогира концентрирует больше Ba (Ba/Sr–20–100).
Таким образом, с массовым развитием и доминированием водорослей рода Spirogyra на участках, граничащих с населенными пунктами и рекреационными центрами, меняется элементный состав биогеохимического барьера, основу которого до недавнего времени составляли байкальские бентосные водоросли, активные концентраторы значительной доли химических элементов, поступающих с поверхностным и грунтовым стоком.
Концентрационная функция
Биоаккумуляция наряду с другими факторами снижает миграцию и содержание химических элементов в водной среде [25]. Содержание определяемых элементов в массе байкальских донных водорослей U. zonata, T. cylindrica, D. geminata, D. baicalensis, D. arenaria, C. floccosa, C. glomerata, C. compacta значительно превосходит концентрацию элементов в байкальской воде, за исключением Na. Этот элемент бентосные водоросли растительных поясов поглощают из водной среды наиболее слабо. Величина КБНNa, который характеризует степень концентрирования элемента в живом организме относительно среды обитания [5], в байкальских бентосных водорослях ≤1 или составляет 1.5–6.1, максимум 10–30. У видов рода Spirogyra из Байкала этот показатель гораздо выше: в Spirogyra “morphotype 1” КБНNa – 100–300; в Spirogyra spp. – 300–1250. Также более интенсивно по сравнению с другими исследуемыми водорослями спирогира поглощает Li, Mn, Ba и, наряду с диатомовой D. geminata, максимально извлекает из водной среды и удерживает в своей массе Co, Cd, Zn, Ni. Степень концентрирования этих элементов в исследуемых бентосных водорослях растительных поясов в 2–5, 10–40 раз меньше. По интенсивности поглощения других элементов спирогира – менее активный концентратор или не отличается от байкальских бентосных водорослей (рис. 6).
Рис. 6. КБН по медианам содержания элементов в Spirogyra “morphotype 1” и бентосных водорослях литорали оз. Байкал.
Приведенные данные показывают, что в массе спирогиры, доминирующей на участках литорали, граничащих с населенными пунктами и районами рекреационной активности, по сравнению с байкальскими бентосными водорослями в десятки, сотни раз увеличилась интенсивность поглощения и аккумуляции Mn, Ba, Na, Li, в несколько раз – Co, Cd, Zn и Ni (рис. 6).
Минерализация органических остатков, напротив, повышает миграционную способность элементов и обогащает ими поверхностные воды [25]. По мере отмирания и разложения водорослей значительная доля накопленных в их массе химических элементов вновь поступает в воду литорали. Элементный состав воды, отобранной из лунок на пляже (в районе пос. Заречного) под мощным многолетним слоем разлагающейся спирогиры, значительно отличается от состава глубинной байкальской воды, придонной и интерстициальной воды прибрежной зоны. В пробах воды из-под мощного слоя разлагающейся спирогиры по сравнению с глубинной байкальской водой в тысячи раз больше Mn; в ~500 – Fe; в 100–70 – Co, La, Ce; в 40–10 – Cl, Ba, Ni, As, I, Br; в 10–5 – Na, K, Ca, Mg, Al, Sr; в ~4 – P; соответственно, наблюдается более высокая минерализация воды. Вода из таких лунок не превосходит ни глубинную байкальскую воду, ни воду прибрежной зоны по содержанию S, V, Cu, Mo, U (рис. 7; табл. 3).
Рис. 7. Содержание элементов (± стандартное отклонение) в байкальской воде и интерстициальной воде, отобранной из лунок на пляже в зоне заплеска под массой гниющей спирогиры (Min, мг/л – минерализация воды).
Таблица 3. Величина отношений содержания химических элементов в интерстициальной воде из лунок под массой разлагающихся бентосных водорослей (Сi) к содержанию в глубинной байкальской воде (CBW) (прочерк – содержание в воде из лунок ниже предела обнаружения)
Элемент | СBW | Сi в воде под массой гниющей спирогиры (n = 4) | Сi под разлагающейся массой / СBW | |||
мкг/л | Spirogyra spp. | U. zonata* | T. cylindrica* | D. baicalensis* | ||
Mn | 0.18 | 1800 | 10 000 | 620 | 30 | 60 |
Fe | 3.00 | 1670 | 560 | 80 | 60 | 40 |
Ce | 0.0025 | 0.39 | 150 | 10 | 20 | 50 |
Co | 0.033 | 3.80 | 120 | – | 3.3 | 6.1 |
La | 0.0037 | 0.24 | 65 | 60 | 10 | 20 |
Ba | 10.1 | 420 | 40 | 4.4 | 2 | 0.81 |
Th | 0.0006 | 0.024 | 40 | – | 1. 7 | 20 |
Cl | 550 | 16 400 | 30 | 2.3 | 0.95 | 4.0 |
Ni | 0.18 | 3.40 | 20 | 6.4 | 6. 7 | 10 |
As | 0.37 | 6.70 | 18 | 2.1 | 1.8 | 3.5 |
I | 2.70 | 40.1 | 15 | 1.9 | 0.48 | 0.85 |
Br | 10.7 | 110 | 10 | 2.7 | – | 1.7 |
Al | 1.40 | 13.3 | 9.5 | 7.2 | 3.1 | 7.9 |
Ca | 15 900 | 110 000 | 6.9 | 1.2 | 1.0 | 0.63 |
Mg | 3100 | 20 700 | 6.7 | 0.97 | 0.94 | 0.94 |
Sr | 107 | 671 | 6.3 | 1.4 | 1.1 | 0.56 |
Ti | 0.14 | 0.78 | 5.6 | 5.9 | 4.3 | 2.1 |
Cd | 0.0030 | 0.017 | 5.7 | 18 | 2.0 | 20 |
Na | 3400 | 16 920 | 5.0 | 0.76 | 0.85 | 0.91 |
K | 950 | 4700 | 5.0 | 3.2 | 3.1 | 2.5 |
Cr | 0.11 | 0.48 | 4.4 | 2.0 | 1.3 | 5.7 |
P | 21.0 | 91.0 | 4.3 | 40 | 3.8 | 3.3 |
Si | 770 | 2210 | 2.9 | 0.86 | 0.71 | 0.73 |
Zn | 2.00 | 4.47 | 2.2 | 2.7 | 0.65 | 3.3 |
Pb | 0.079 | 0.18 | 2.3 | 4.8 | 1.9 | 20 |
Rb | 0.59 | 1.15 | 1.9 | 1.9 | 0.48 | 0.85 |
V | 0.38 | 0.55 | 1.4 | 1.0 | 1.1 | 0.95 |
U | 0.58 | 0.76 | 1.3 | 0.29 | 0.26 | 0.19 |
S | 1780 | 2100 | 1.2 | 0.56 | 0.73 | 0.22 |
Cu | 1.48 | 0.83 | 0.56 | 40 | 0.81 | 0.68 |
Mo | 1.33 | 0.64 | 0.48 | 0.67 | 0.83 | 0.47 |
* Данные по элементному составу интерстициальной воды из лунок под массой разлагающихся водорослей [16].
Мощные многолетние скопления разлагающейся спирогиры становятся дополнительным источником потока в мелководную зону растворенных соединений Na, Cl, Mn, Fe, Co, Ni, Ba, содержание которых в незагрязненной воде литорали Байкала постоянно низкое [19]. Отмершие и выброшенные в зону заплеска байкальские бентосные водоросли растительных поясов разлагаются намного быстрее, не образуют многолетних скоплений, обогащают водную среду соединениями Mn, Fe, Co, Ba, Cl, Ni, As в значительно меньшей степени и, в отличие от гниющей спирогиры, не обогащают воду Na, Ca, Mg, Sr, I (табл. 3).
Результаты кластеризации станций отбора проб
Кластеризация станций отбора проб Spirogyra “morphotype 1” методом k-средних по трем переменным: 1 – суммарному содержанию (∑С) в составе спирогиры Na, Mg, P, S, Cl, Ca, Li, Al, Si, Mn, Zn, Ba; 2 – ∑С Na Cl P Mn; 3 – ∑С всех определяемых элементов, – показала наличие существенных различий между средними значениями переменных для выделенных кластеров. На это указывают низкие значения внутригрупповой (Within SS), более высокие – межгрупповой (Between SS) дисперсии признаков, высокие значения F-критерия (F) и уровень значимости signif. p <1% (табл. 4). На графике координат центров кластеров видно, что координаты центров всех кластеров различны. Особенно значительно отличается третий кластер от второго (рис. 8).
Рис. 8. График координат центров кластеров. Переменные: 1– ∑С в составе спирогиры Na, Mg, P, S, Cl, Ca, Li, Al, Si, Mn, Zn, Ba; 2 – ∑С Na Cl P Mn; 3 – ∑С всех определяемых элементов.
Таблица 4. Результаты дисперсионного анализа
Variable | Between SS | df | Within SS | df | F | signif. p |
1 | 31.50545 | 2 | 3.49455 | 33 | 148.7572 | 0.000000 |
2 | 24.58784 | 2 | 10.41216 | 33 | 38.9640 | 0.000000 |
3 | 31.36036 | 2 | 3.63964 | 33 | 142.1694 | 0.000000 |
В кластере 2 – шесть станций мелководной зоны Южного Байкала с очень высокой антропогенной нагрузкой: 1) зал. Лиственничный, пос. Листвянка, напротив кафе “Подкова”; 2) пос. Листвянка, напротив кафе “Аланья”; 3) пос. Листвянка, глубина 1–1.5 м; 4) м. Березовый, глубина 3 м; 5) м. Березовый, глубина 1 м; 6) пос. Большое Голоустное, 2020 г. В составе водорослей Spirogyra “morphotype 1”, собранных на этих станциях, наиболее высокие: ∑С всех определяемых элементов – 49 600–41 600, ∑С Na Mg P S Cl Ca Li Al Si Mn Zn Ba – 47 000–41 300 и ∑С Na Cl P Mn – 15 500–10 000 мкг/г сухой массы. В кластере 3 с наименьшими значениями переменных – 13 станций мелководной зоны: 1) бух. Большие Коты, биостанция ИГУ; 2) пос. Большое Голоустное, 2019 г.; 3) бух. Песчаная; 4) м. Хорин-Ирги; 5) БЦБК, напротив цеха 1, глубина 1–3 м, 2019 г.; 6) БЦБК, напротив цеха 1, глубина 2–3 м, 2020 г.; 7) поселки Бабушкин и Максимиха; 8) бух. Аяя; 9) русло Тыи; 10) пос. Заречный, 2020 г.; 11) с. Байкальское (причал), м. Лударь; 12) м. Котельниковский, мысы Красный Яр, Коврижка; 13) м. Елохин. Значения переменных этого кластера в ~2 раза меньше, соответственно – 24 200–19 500, 24 000–19 300, 7600–4800 мкг/г сухой массы. В кластере 1 – 17 станций: 1) пос. Листвянка, ~40 м севернее устья р. Сеннушки; 2) пос. Листвянка, напротив нерпинария, глубина 7 м; 3) бух. Ая; 4) пос. Бугульдейка; 5) пос. Хужир, м. Шаманка; 6) пос. Култук; 7) напротив устья р. Бабхи, глубина 4 м; 8) БЦБК, напротив пруда-отстойника; 9) напротив промплощадки БЦБК, глубина 3–7 м, 2019, 2020 гг.; 10) пос. Турка; 11) губа Томпуда (гидрометеостанция); 12) бух. Фролиха, 2019, 2020 гг.; 13) пос. Нижнеангарск; 14) г. Северобайкальск, городской пляж; 15) пос. Заречный, 2019 г.; 16) бух. Сеногда, 2018, 2019, 2020 гг., 17) губа Слюдянская 2019, 2020 гг. ∑С всех определяемых элементов в Spirogyra “morphotype 1” – 35 400–23 400, ∑С Na Mg P S Cl Ca Li Al Si Mn Zn Ba – 35 000–23 200 и ∑С Na Cl P Mn – 11 000–5300 мкг/г сухой массы.
Общий признак большинства станций, на которых собраны водоросли Spirogyra “morphotype 1”, – поверхностный и грунтовый сток в мелководную зону озера загрязненных хозяйственно-бытовых и промышленных вод с территорий прибрежных городов, поселков и центров рекреаций. Благодаря вдольбереговой циклонической циркуляции байкальских вод и диффузионным процессам растворенные и взвешенные вещества этих стоков транспортируются и насыщают прибрежные воды прилегающих участков литорали. Так, воды, загрязненные хозяйственно-бытовыми стоками пос. Нижнеангарска, г. Северобайкальска, с. Байкальского, переносятся течениями вдоль северо-западного берега в южную сторону [3, 15], обогащая загрязняющими веществами воды расположенных южнее бух. Сеногды, губы Слюдянской, в районе мысов Лударь, Котельниковского, Красный Яр, Коврижка, Елохин. К данному перечню следует добавить простирающийся от устья р. Тыи до бух. Сеногды пляж, в прибрежной зоне которого концентрируется мощная многолетняя масса разлагающихся водорослей. При этом в каждом кластере в составе исследуемых водорослей выделяются станции с максимальным ∑С Na Cl P Mn. В кластере 1 наибольшие значения этой переменной 9500–11 000 (среднее – 8400±1300, медиана 8400) мкг/г сухой массы – установлены в пробах Spirogyra “morphotype 1”, собранных в литорали возле поселков Култук, Бугульдейка, в бухтах Фролиха (кордон заказника “Фролихинский”, стоянки для туристов) и Сеногда (~8 км южнее пос. Заречного). В Кластере 2 максимальные значения ∑С Na Cl P Mn – 15 500–13 900 (среднее – 12 000 ± 2300, медиана – 11 200) мкг/г сухой массы – установлены в пробах водорослей со станций пос. Большое Голоустное, 2020 г., зал. Лиственничный, кафе “Подкова”; в кластере 3 пробы Spirogyra “morphotype 1” с наибольшими значениями ∑С Na Cl P Mn – 7600–7200 (среднее – 6000 ± 900, медиана – 5600) мкг/г сухой массы собраны на станциях: БЦБК, напротив цеха 1, 2020 г.; бух. Аяя (кордон заказника “Фролихинский”, стоянки для туристов). Повышенное накопление этих элементов в составе проб Spirogyra “morphotype 1” может быть связано с прямым стоком в прибрежную зону хозяйственно-бытовых вод с большой долей фекальных вод. Такие стоки наиболее обогащены соединениями Na, Cl, P [1, 20, 31].
Установлено, что водоросли рода Spirogyra поглощают и накапливают многие элементы (Na, Mg, P, Cl, K, Ca, Mn, Co, Cu, Zn, Cd, Pb) пропорционально их содержанию в воде [21, 38–40]. В воде литорали оз. Байкал концентрация растворенных и взвешенных веществ весьма изменчива во времени и пространстве, что затрудняет выявление корреляции между содержаниями химических элементов в водорослях и водной среде. Перенос взвешенных и растворенных компонентов сточных вод по акватории озера в значительной мере определяют гидродинамические процессы. Их интенсивность зависит от ветрового и уровенного режима, геологического строения и конфигурации береговой линии, уклона подводного и надводного береговых склонов, рельефа дна и т. д. Непрерывное обновление происходит при вдольбереговом перемещении вод, турбулентном перемешивании, в результате локальных циркуляций, штормовых течений, сгонно-нагонных колебаний [3]. Таким образом, элементный состав водной среды и водорослей формируется под совокупным влиянием разнообразных факторов, которые по-разному сочетаются в каждом отдельном случае. В целом нельзя не заметить, что водоросли Spirogyra “morphotype 1”, собранные на участках, граничащих с наиболее мощными источниками хозяйственно-бытовых стоков (пос. Листвянка, Большое Голоустное, Култук, пруд-отстойник и промплощадка БЦБК, пос. Бугульдейка, г. Нижнеангарск, Северобайкальск и его микрорайон пос. Заречный), отличаются более высокими ∑С всех определяемых элементов; ∑С Na Mg P S Cl Ca Li Al Si Mn Zn Ba; ∑С Na Cl P Mn. К районам, где в прибрежные воды поступают хозяйственно-бытовые стоки (пос. Листвянка, Култук, Заречный, бух. Сеногда, поселки и центры рекреации в долинах рек Верхней Ангары и Черной), приурочено массовое развитие и других видов спирогиры, накапливающих намного больше, чем Spirogyra “morphotype 1”, Li, Na, S, Cl, Br (рис. 2). Вероятно, высокие концентрации Li, Na, P, Cl, Mn, Zn, Ba в составе водорослей рода Spirogyra в значительной мере определяются потоком в прибрежную зону недостаточно очищенных или неочищенных хозяйственно-бытовых вод.
Выводы
В результате исследований на участках литорали оз. Байкал, сопряженных с населенными пунктами и центрами рекреации, установлена массовая вегетация Spirogyra “morphotype 1” и Spirogyra spp. с нетипичным для байкальских бентосных водорослей элементным составом.
В талломах Spirogyra “morphotype 1” и Spirogyra spp. в наибольшей степени накапливаются Na, K, Ca, S, Ba, Mg, P, Mn, Cl. Особенность водорослей рода Spirogyra, независимо от вида, – одинаково высокое, редкое для большинства растений, содержание Ba, близкое к содержанию Ca и S.
По характеру накопления ряда макро- и микроэлементов нитчатки бентосного Spirogyra “morphotype 1”, собранные в литорали вблизи поселков и в районах высокой рекреационной активности, заметно отличаются от неприкрепленных ко дну видов Spirogyra spp. В составе Spirogyra spp. – Na > K ≥ Ca ~ S ~ P ~ Ba ≥ Mg, Cl > Mn. В Spirogyra “morphotype 1” – Na ~ K ~ Ca ~ S ~ Ba > Mg ≥ P > Mn ≥ Cl, а содержание Li, Na, S, Cl, Br часто меньше, чем в Spirogyra spp.
Элементный состав Spirogyra spp. и Spirogyra “morphotype 1” отличается от элементного состава байкальских бентосных водорослей растительных поясов более высоким содержанием Li, Na, Mn, Ba и нехарактерным для пресноводных водорослей соотношением концентраций элементов. В водорослях рода Spirogyra Na > P, Na ≥ K, Na ≥ Ca, Mn > Fe, Ba ~ Ca, Ba ~ S, Ba > Sr. Элементы Mg, P, S, Cl, K, Ca, преобладающие в бентосных водорослях растительных поясов литорали, свободноплавающие виды спирогиры концентрируют так же интенсивно, а Spirogyra “morphotype 1” – в равной (P, Ca, Sr) или в меньшей степени.
С массовым развитием и доминированием водорослей рода Spirogyra на участках литорали, граничащих с населенными пунктами и рекреационными центрами, меняется состав и соотношение содержаний химических элементов биогеохимического барьера. В массе спирогиры по сравнению с байкальскими бентосными водорослями в десятки, сотни раз увеличилась интенсивность поглощения из водной среды и аккумуляция Mn, Ba, Na, Li, в несколько раз – Co, Cd, Zn и Ni.
Выброшенные на берег мощные многолетние скопления разлагающейся спирогиры становятся дополнительным источником потока в прибрежные воды растворенных соединений Na, Cl, Mn, Fe, Co, Ni, Ba.
Максимальные ∑С всех определяемых элементов; ∑С Na Mg P S Cl Ca Li Al Si Mn Zn Ba; ∑С Na Cl P Mn характерны для Spirogyra “morphotype 1”, доминирующей на участках литорали, расположенных возле наиболее мощных источников хозяйственно-бытовых стоков (пос. Листвянка, Большое Голоустное, Култук, пруд-отстойник и промплощадка БЦБК, пос. Бугульдейка, г. Нижнеангарск, г. Северобайкальск и его микрорайон Заречный).
Авторы выражают благодарность экипажу НИС “Академик В. А. Коптюг”, НИС “Папанин И. Д.”, сотрудникам и водолазам ЛИН СО РАН за помощь в проведении экспедиционных исследований.
About the authors
Н. Н. Куликова
Лимнологический институт Сибирского отделения РАН
Author for correspondence.
Email: kulikova@lin.irk.ru
Russian Federation, 664033, Иркутск
Е. П. Чебыкин
Лимнологический институт Сибирского отделения РАН
Email: kulikova@lin.irk.ru
Russian Federation, 664033, Иркутск
Е. А. Волкова
Лимнологический институт Сибирского отделения РАН
Email: kulikova@lin.irk.ru
Russian Federation, 664033, Иркутск
О. А. Тимошкин
Лимнологический институт Сибирского отделения РАН
Email: kulikova@lin.irk.ru
Russian Federation, 664033, Иркутск
А. Н. Сутурин
Лимнологический институт Сибирского отделения РАН
Email: kulikova@lin.irk.ru
Russian Federation, 664033, Иркутск
References
- Берёзов Т.Т., Коровкин Б.Ф. Биологическая химия. Учебник. 3-е изд. М.: Медицина, 1998. С. 618–622.
- Бочаров П.П., Печинкин А.В. Теория вероятностей. Математическая статистика. М.: Гардарика, 1998. 327 с.
- Верболов В.И. Общая характеристика течений навигационного периода // Течения в Байкале / Отв. ред. А.Н. Афанасьев, В.И. Верболов. Новосибирск: Наука, 1977. С. 43–62.
- Верболов В.И. Течения и водообмен в Байкале // Вод. ресурсы. 1996. Т. 23. № 4. С. 413–423.
- Ветров В.А., Кузнецова А. И. Микроэлементы в природных средах региона озера Байкал. Новосибирск: Изд-во СО РАН, НИЦ ОИГМ, 1997. С. 126–160.
- Войткевич Г.В., Кокин А.В., Мирошников А.Е., Прохоров В.Г. Справочник по геохимии. М.: Недра, 1990. С. 320–337.
- Вотинцев К. К. Гидрохимия озера Байкал // Тр. БЛС. 1961. Т. 20. 311 с.
- Вотякова Н.Е. Систематическая характеристика водорослей обрастаний // Экология растительности дельты реки Селенги. Новосибирск: Наука, 1981. С. 61–73.
- Государственный доклад “О состоянии озера Байкал и мерах по его охране в 2017 году”. Министерство природных ресурсов и экологии Российской Федерации. Иркутск: АНО “КЦ Эксперт”, 2018. С. 210–228. [Электронный ресурс]. http://www.mnr.gov.ru/upload/iblock/b22/Доклад Байкал-07.12.2018–2.pdf (дата обращения: 23.04.2019)
- Ижболдина Л. А. Атлас и определитель водорослей бентоса и перифитона озера Байкал (мейо-, макрофиты) с краткими очерками по их экологии. Новосибирск: Наука-Центр, 2007. 248 с
- Ижболдина Л.А. Количественное распределение эндемичных видов макрофитов вдоль открытых побережий озера Байкал // Круговорот вещества и энергии в водоемах. Матер. докл. к VI Всесоюз. лимнол. совещ. Вып. II. Структура и продуктивность растительных сообществ (фитопланктон, фитобентос, высшая водная растительность). Иркутск, 1985. С. 31–32.
- Ижболдина Л.А. Мейо- и макрофитобентос озера Байкал (водоросли). Иркутск: Изд-во Иркутского ун-та, 1990. 175 с.
- Кожов М.М. Биология озера Байкал. М., 1962. 315 с.
- Кравцова Л.С., Ижболдина Л. А., Ханаев И.В., Помазкина Г.В., Домышева В.М., Кравченко О.С., Грачев М. А. Нарушение вертикальной зональности зеленых водорослей в прибрежной части залива Лиственничный озера Байкал // Докл. РАН. 2012. Т. 447. № 2. С. 227–229.
- Кротова В.А. Геострофическая циркуляция вод Байкала в период прямой термической стратификации // Течения и диффузия вод Байкала. Тр. Лимнол. Ин-та АН СССР. 1970. Т. 14 (34). С. 11–44.
- Куликова Н.Н., Волкова Е.А., Бондаренко Н.А., Чебыкин Е.П., Сайбаталова Е.В., Тимошкин О.А., Сутурин А.Н. Элементный состав и биогеохимические функции водорослей Ulothrix zonata (f. Weber et Mohr) Kützing прибрежной зоны Южного Байкала // Вод. ресурсы. 2018. Т. 45. № 6. С. 656–669. https://doi.org/10.1134/S032105961806010X
- Куликова Н.Н., Сутурин А.Н., Сайбаталова Е.В., Бойко С.М., Тимошкин О.А., Домышева В.М., Парадина Л.Ф., Сакирко М.В., Томберг И.В., Зайцева Е.П., Мальник В.В., Лухнев А.Г., Попова Е.Л., Попова О.В., Потапская Н.В., Вишняков В.С., Волкова Е.А., Зверева Ю.М. Биогеохимия прибрежной зоны бухты Большие Коты (Южный Байкал) // Изв. ИГУ. Сер. Биология. Экология. 2012. Т. 5. № 3. С. 75–87.
- Куликова Н.Н., Чебыкин Е.П., Волкова Е.А., Бондаренко Н.А., Воднева Е.Н., Сутурин А.Н. Определение элементного состава бентосных макроводорослей для индикации качества воды мелководной зоны залива Лиственничный (Южный Байкал) // Международ. науч.-исслед. журн. 2017. Т. 66. Ч. 2. № 12. С. 166–176. https://doi.org/10.23670/IRJ.2017.66.052
- Куликова Н.Н., Чебыкин Е.П., Волкова Е.А., Бондаренко Н.А., Жученко Н.А., Тимошкин О.А., Сутурин А.Н. Элементный состав водорослей рода Spirogyra как индикатор загрязнения прибрежной зоны Байкала хозяйственно-бытовыми стоками // География и природ. ресурсы. 2021. Т. 42. № 2. С. 79–91. https://doi.org/10.15372/GIPR20210209
- Ланцова И.В. Влияние рекреационного использования на качество воды Иваньковского водохранилища // Вестн. Рос. ун-та дружбы народов. Сер. Экология и безопасность жизнедеятельности. 2009. № 1. С. 45–50.
- Мартемьянов И.В., Маврин А.С. Пороговые концентрации катионов во внешней среде, определяющие границы выживания нитчатой водоросли Spirogyra sp. в пресных водоемах // Сиб. экол. журн. 2012. № 3. С. 345–350.
- Мейер К.И. Введение во флору водорослей озера Байкал // Бюл. МОИП. Отд. биол. М. 1930. Т. 39. Вып. 3–4. С. 176–396.
- Мейер К.И. Новые виды зеленых водорослей оз. Байкал // Ботан. материалы. Ин-т споровых растений Главного ботан. сада РСФСР. 1922. Т. 1. Вып. 1. С. 13–15.
- Мейер К.И., Рейнгард Л.В. К флоре водорослей Байкала и Забайкалья // Бюлл. МОИП. 1925. Т. 33. Вып. 3–4. С. 201–243.
- Перельман А.И. Геохимия эпигенетических процессов (зона гипергенеза). М.: Недра, 1968. 331 с.
- Рундина Л.А. Зигнемовые водоросли России (Chlorophyta: Zygnematophyceae, Zygnematales). СПб.: Наука, 1998. 351 с.
- Сутурин А.Н., Чебыкин Е.П., Мальник В.В., Ханаев И.В., Минаев А.В., Минаев В.В. Роль антропогенных факторов в развитии экологического стресса в литорали // География и природ. ресурсы. 2016. № 6. С. 43–54.
- Тахтеев В.В. Биота водоемов Байкальской рифтовой зоны / Отв. ред. А.С. Плешанов. Иркутск: Изд-во Иркут. гос. ун-та, 2009. 231 с.
- Тевелева Е.А. Выделение однородных групп из единой выборочной совокупности геохимических данных // Мониторинг, наука и технологии. 2021. № 2 (48). С. 65–69.
- Тимошкин О.А., Бондаренко Н.А., Волкова Е.А., Томберг И.В., Вишняков В.С., Мальник В.В. Массовое развитие зеленых нитчатых водорослей родов Spirogyra Link и Stigeoclonium Kutz. (CHLOROPHYTA) в прибрежной зоне Южного Байкала // Гидробиол. журн. 2014. № 5. С. 15–26.
- Филиппов В.Н., Зиновьев А.П., Рыжов Г.И., Зиновь ев С.А., Рыжова С.А. Оборудование и технология очистки сточных вод, примеры расчета на ЭВМ. Уфа: УГНТУ, 2003. С. 7.
- Христофорова Н.К. Биоиндикация и мониторинг загрязнения морских вод тяжелыми металлами. Л.: Наука, 1989. 192 с.
- Яснитский В.Н. Некоторые результаты гидробиологических исследований на Байкале летом 1925 г. // ДАН СССР. 1928. Т. 18–19. С. 353–358.
- Hamidian A.H., Zareh M., Poorbagher H. Heavy metal bioaccumulation in sediment, common reed, algae, and blood worm from the Shoor river, Iran // Toxicol. Industrial Health. 2016. V. 32. № 3. P. 398–409.
- Jaiswar S., Kazi M.A., Mehta S. Bioaccumulation of heavy metals by freshwater algal species of Bhavnagar, Gujarat, India // J. Environ. Biol. 2015. V. 36. № 6. P. 1361–1366.
- Kobanova G.I., Takhteev V.V., Rusanovskaya O.O., Timofeyev M.A. Lake Baikal Ecosystem Faces the Threat of Eutrophication // Int. J. Ecol. 2016. V. 2016. ID6058082. P. 7. http://dx.doi.org/10.1155/2016/6058082
- Kreger D.R., Boere H. Some observations on barium sulphate in Spirogyra // Acta Bot. Neerl. 1969. V. 18. P. 143–151.
- Marta P., Beata M. Characteristics of Cladophora and coexisting filamentous algae in relation to environmental factors in freshwater ecosystems in Poland // Oceanol. Hydrobiol. Studies. 2016. V. 45. № 2. P. 202–215.
- Rajfur M., Kłos A., Wacławek M. Sorption properties of algae Spirogyra sp. and their use for determination of heavy metal ions concentrations in surface water // Bioelectrochem. 2010. V. 80. P. 81–86.
- Sahu Y.K., Patel K.S., Martín-Ramos P., Rudzińska M., Górnaś P., Towett E.K., Martín-Gil J., Tarkowska-Kukuryk M. Algal characterization and bioaccumulation of trace elements from polluted water // Environ Monit Assess. 2020. V. 192. № 38. https://doi.org/10.1007/s10661–019–8001–3
- Suturin A.N., Paradina L.F., Epov V.N., Semenov A. R., Lozhkin V.I., Petrov L.L. Preparation and assessment of a candidate reference sample of lake Baikal deep water // Spectrochimica Acta. Pt B. Atomic Spectroscopy. 2003. V. 58. P. 277–288.
- Timoshkin O.A., Moore M.V., Kulikova N.N., Tomberg I.V., Malnik V.V., Shimaraev M.N., Troitskaya E.S., Shirokaya A.A., Sinyukovich V.N., Zaitseva E.P., Domysheva V.M., Yamamuro M., Poberezhnaya A.E., Timoshkina E.M. Groundwater contamination by sewage causes benthic algal outbreaks in the littoral zone of Lake Baikal (East Siberia) // J. Great Lakes Res. 2018. № 44. P. 230–244. https://doi.org/10.1016/j.jglr.2018.01.008
- Timoshkin O.A., Samsonov D.P., Yamamuro M., Moore M.V., Belykh O.I., Malnik V.V., Sakirko M.V., Shirokaya A.A., Bondarenko N.A., Domysheva V.M., Fedorova G.A., Kochetkov A.I., Kuzmin A.V., Lukhnev A.G., Medvezhonkova O.V., Nepokrytykh A.V., Pasynkova E.M., Poberezhnaya A.E., Potapskaya N.V., Rozhkova N.A., Sheveleva N.G., Tikhonova I.V., Timoshkina E.M., Tomberg I.V., Volkova E.A., Zaitseva E.P., Zvereva Yu.M., Kupchinsky A.B., Bukshuk N.A. Rapid ecological change in the coastal zone of Lake Baikal (East Siberia): Is the site of the world’s greatest freshwater biodiversity in danger? // J. Great Lakes Res. 2016. № 42. P. 487–497. https://doi.org/10.1016/j.jglr.2016.02.011
- Volkova E.A., Bondarenko N.A., Timoshkin O.A. Morphotaxonomy, distribution and abundance of Spirogyra (Zygnematophyceae, Charophyta) in Lake Baikal, East Siberia // Phycologia. 2018. V. 57. № 3. P. 298–308. https://doi.org/10.2216/17–69.1
- Volkova E.A., Zimens E.G., Vishnyakov V.S. New taxonomic records of Zygnemataceae (Charophyta) from the Lake Baikal region // Limnol. Freshwater Biol. 2020. № 6. P. 1090–1100. https://doi.org/10.31951/2658–3518–2020-A-6–1090
- Zheng N., Liu J., Wang Q., Liang Z. Mercury contamination due to zinc smelting and chlor-alkali production in NE China // Applied Geochem. 2011 V. 26. P. 188–193.
Supplementary files










