Оценка влияния различных методов расчета потенциального испарения на результаты гидрологического моделирования
- Авторы: Сидоренко Н.Ю.1, Бугаец А.Н.2, Лупаков С.Ю.2, Гарцман Б.И.3, Гончуков Л.В.1,3
-
Учреждения:
- Дальневосточный региональный научно-исследовательский гидрометеорологический институт
- Тихоокеанский институт географии ДВО РАН
- Институт водных проблем РАН
- Выпуск: Том 51, № 4 (2024)
- Страницы: 430-444
- Раздел: ВОДНЫЕ РЕСУРСЫ И РЕЖИМ ВОДНЫХ ОБЪЕКТОВ
- URL: https://medbiosci.ru/0321-0596/article/view/272007
- DOI: https://doi.org/10.31857/S0321059624040054
- EDN: https://elibrary.ru/APQOZH
- ID: 272007
Цитировать
Полный текст
Аннотация
В представленном исследовании выполнена оценка влияния четырех наиболее часто применяемых в гидрологических моделях методов расчета потенциального испарения – Пенмана–Монтейса, Пристли–Тэйлора, Одина и Харгривза, которые отличаются по степени требовательности к составу исходных метеоданных, – на эффективность и результаты моделирования динамики компонентов водного баланса. В качестве методической основы гидрологического моделирования использована широко известная концептуальная модель HBV, в которой актуальное испарение связано с текущим состоянием емкости, имитирующей динамику почвенного влагозапаса. Объекты исследования – 18 водосборов площадью от 2.4 до 755 км2, расположенных в пределах бывшей Приморской воднобалансовой станции, материалы которой были использованы для расчетов и моделирования. При сопоставлении результатов моделирования с данными наблюдений станции оказалось, что модельные величины испарения при использовании физически обоснованных методов в большей степени соответствуют методике определения потенциального испарения Будыко и данным водных испарителей на станции. Анализ чувствительности модели к входной потенциальной эвапотранспирации показал, что применение физически обоснованных методов расчета потенциального испарения в целом не влияет на эффективность моделирования гидрографа стока исследуемых водосборов. В то же время при использовании эмпирических моделей эвапотранспирации неопределенность результатов расчета потенциального испарения необходимо компенсировать за счет менее физически обоснованных параметров модели, что, в свою очередь, может привести к искажению динамики компонентов водного баланса и генетических составляющих стока.
Ключевые слова
Полный текст
ВВЕДЕНИЕ
В области умеренного климата испарение – основной компонент водного баланса и может составлять более половины годового количества поступающего на дневную поверхность объема влаги. Как в пространственном, так и во временном рассмотрении эвапотранспирация представляет собой сильно изменчивый гидрологический процесс. Актуальность оценки эффективности применения тех или иных методов расчета эвапотранспирации прежде всего связана с проблемой соотнесения пространственных масштабов измерений с размерами практически интересующих объектов гидрологических исследований.
Существующие методы оценки испарения либо дают результаты в грубом временном масштабе (месяцы, годы [3]), либо имеют трудновыполнимые в реальности допущения, что приводит к большим погрешностям расчетов [31]. В большинстве случаев эвапотранспирация рассчитывается с однородной подстилающей поверхности – воды, обнаженной почвы или определенного типа растительности, текущее гидрологическое состояние водосбора обычно не учитывается. Более репрезентативные результаты для различных пространственно-временных масштабов могут быть получены с помощью данных гидрологических моделей о водном и энергетическом балансе водосбора [30]. По сравнению с результатами обобщений на основе только данных измерений модельные оценки внутренне непротиворечивы [19] и соответствуют масштабу расчетных элементов моделей [1]. В то же время, как правило, имеются определенные несоответствия модельных расчетов данным наблюдений, что связано с упрощенным описанием гидрологических процессов, агрегацией или осреднением параметров для расчетных элементов гидрологических моделей.
Наиболее распространенный способ оценки эвапотранспирации в гидрологических моделях – преобразование потенциальной эвапотранспирации PET (Potential Evapotranspiration) в фактическую AET (Actual Evapotranspiration) с учетом текущей влажности почвы, типа растительного покрова или индекса площади листьев LAI (Leaf Area Index), который имеет тесную связь со стадией роста растительности [20, 23]. Соответственно, в контексте данного исследования, главная отличительная особенность гидрологических моделей – методы оценки PET, применяемые в зависимости от состава данных метеорологического мониторинга и функции извлечения влаги из почвы, которые, в свою очередь, могут использовать одну или несколько гидрологических констант и почвенных горизонтов.
Выбор методов оценки PET в гидрологических моделях практически не регламентируется. Метод Пенмана–Монтейса [15] считается универсальным для применения в различных климатических условиях, но его использование требует измерений ряда климатических характеристик, которые могут быть недоступны на всех станциях. Кроме этого, существующие несоответствия между неопределенностью во входных данных, параметрах и структуре гидрологических моделей могут быть несовместимы с уровнем детализации процесса эвапотранспирации и не позволяют использовать все преимущества метода Пенмана–Монтейса [27, 31]. В регионах, где недостаточно данных для использования уравнения Пенмана–Монтейса или его эквивалентов, для оценки PET обычно используются более простые методы, требующие меньшее количество входных данных. Однако применение альтернативных методов или уравнений для оценки PET в районе исследования должно быть соответствующе обосновано [10, 11, 22].
Для оценки эффективности методов определения PET могут быть использованы данные бывших воднобалансовых станций (ВБС), которые располагались в репрезентативных по гидрологическим условиям районах и, следовательно, наиболее подходят для адаптации моделей к условиям этих регионов. Материалы наблюдений ВБС содержат детальные данные метеорологических и гидрологических измерений, в том числе испарения. Наблюдения велись на имеющих различные условия формирования стока малых экспериментальных водосборах, которые соответствуют масштабу расчетных элементов полураспределенных гидрологических моделей и могут быть использованы в качестве базовых ландшафтных единиц для обобщения закономерностей пространственно-временной динамики компонентов водного баланса [7, 9, 12, 17].
В представленном исследовании выполнена оценка влияния различных методов расчета PET на эффективность и результаты моделирования динамики компонентов водного баланса. В качестве методической основы использована широко известная концептуальная модель HBV, в которой актуальное испарение связано с текущим состоянием емкости, имитирующей динамику почвенного влагозапаса. Исходные данные моделирования основаны на материалах наблюдений бывшей Приморской воднобалансовой станции (ПВБС). Для расчета потенциального испарения использовано четыре наиболее часто применяемых в гидрологических моделях метода – Пенмана–Монтейса (PM) [24], Пристли–Тэйлора (PT) [28], Одина (OD) [27] и Харгривза (HG) [21], которые отличаются по степени требовательности к составу исходных метеоданных. Выполнено сопоставление результатов расчетов потенциального испарения различными методами, результатов моделирования действительного испарения и стока с данными наблюдений ПВБС.
ОБЪЕКТЫ ИССЛЕДОВАНИЯ
Объектами исследования были 18 водосборов площадью от 2.4 до 755 км2, расположенных в пределах бывшей ПВБС, функционировавшей с начала 1950-х по конец 1980-х гг. Территория относится к водосборам рек Комаровки и ее главному притоку, Раковке (общая площадь водосбора ~ 1450 км2, рис. 1), которые берут свое начало на склонах хребта Пржевальского в Уссурийском и Михайловском районах Приморского края. Рельеф юго-восточной части ПВБС, к которой относятся верховья рек Комаровки и Раковки, в основном представляет собой среднегорье, уклоны склонов находятся в диапазоне 15–35°, абсолютные высоты в среднем составляют 300–500 м, на приводораздельных участках достигают 700 м. Верховья Комаровки и частично Раковки покрыты хвойно-широколиственным лесом, в долинах распространены пойменные широколиственные леса, в нижних частях – редкие дубовые леса. В почвенном покрове преобладают горные бурые лесные почвы. Северо-западная часть ПВБС, к которой относится правобережье р. Раковки, характеризуется холмисто-увалистым рельефом. Абсолютные отметки высот составляют 100–250 м, уклоны <10°. Почвенный покров представлен буро-подзолистыми и нескольких видов лугово-бурыми и луговыми глеевыми почвами, на которых произрастают разреженные дубовые леса [2].
Рис. 1. Картосхема исследуемой территории: I – метеостанция, II – водный испаритель, III – почвенно-испарительный полигон, IV – гидрологический пост и осадкомер, V – речная сеть, VI – граница водосборов; номера на карте соответствуют нумерации в табл. 1
Климат территории муссонный, характеризующийся неустойчивой пространственно-временной динамикой увлажнения. Среднегодовая температура воздуха составляет +3…+4°C, минимальные значения достигают –41°C (январь), максимальные +38°C (июль–август). Сумма осадков в среднем за год составляет 650–800 мм. Зима обычно малоснежная, устойчивый снежный покров в отдельные годы может не образовываться, максимальная высота снежного покрова ~100 см. Половодье обычно невысокое. Большая часть (80–90%) осадков выпадает в теплый период года. Вторая половина лета – начало осени характеризуются большой вероятностью выхода к побережью южной части Приморского края тайфунов, активность которых приводит к выпадению значительного объема дождей (до 100–200 мм за сутки). Слои суточного стока на реках исследуемой территории достигают 100 мм, модули стока – 1000 л/(с·км2).
Наблюдения на ПВБС за испарением с водной поверхности проводились на метеостанциях Тимирязевский (31961) и Приморской (31962) (рис. 1) в теплый период года (апрель–октябрь) в течение 1973–1993 гг. с помощью испарителей “ГГИ-3000”. Один из испарителей был расположен в долине р. Комаровки на правом берегу в 30 м от уреза воды, второй был установлен на правом пологом склоне р. Раковки. На почвенно-испарительных площадках ПВБС функционировали весовые испарители “ГГИ-500-50”, отдельный почвенный испарительный полигон был оборудован гидравлическими почвенными испарителями малой модели “ГР-17”. В бассейне р. Комаровки было расположено три почвенных испарительных площадки: в лесу на южном склоне долины Комаровки (для измерения испарения под пологом леса), на поляне правой пойменной террасы Комаровки и в логе Луговой. В бассейне Раковки почвенный испарительный полигон был разбит на несколько участков, оборудованных гидравлическими почвенными испарителями “ГР-17” и весовыми почвенными испарителями.
ГИДРОЛОГИЧЕСКАЯ МОДЕЛЬ HBV
Основное уравнение водного баланса водосбора в модели HBV представлено в виде [16]:
, (1)
где P – осадки, мм; AET – испарение, мм; Q – речной сток, мм; SP – влагозапас снежного покрова, мм; SM – влагозапас концептуальной почвенной емкости; UZ и LZ – влагозапасы верхней и нижней стокоформирующих емкостей соответственно. Входные данные в модель – атмосферные осадки, температура воздуха и потенциальная эвапотранспирация.
На первом этапе расчетов (рис. 2) проводится разделение осадков на жидкую и твердую фазы с помощью порогового значения температуры воздуха (TT, °C). Аккумуляция и таяние снежного покрова М (мм/сут) рассчитывается с помощью так называемого метода градусо-дней, для чего используется параметр стаивания CFMAX (мм/(C° сут)): M = CFMAX (T(t)) – TT). Поправочный коэффициент SFCF используется для коррекции количества твердых осадков в целях компенсации ошибок измерений, сублимации и других факторов, явно не учитывающихся в модели.
Рис. 2. Блок-схема модели HBV
Стаявший снег и осадки в жидком виде пополняют емкость, имитирующую динамику почвенного влагозапаса. Параметр FC, мм – максимальное значение, SM – текущее состояние влагозапаса почвенной емкости. Интенсивность испарения определяется состоянием почвенной емкости через соотношение SM/FC и параметром LP, представляющим пороговое значение SM, по достижении которого AET приравнивается к PET:
(2)
Значения PET могут быть дополнительно скорректированы с помощью параметра Cet соотношением:
, (3)
где Tm – среднемесячное значение температуры воздуха, C°; PETm – среднемноголетнее значение PET на конкретные сутки, мм.
В работе использована версия модели HBV с двумя стокоформирующими емкостями S1 (верхняя, мм) и S2 (нижняя, мм). Модель рассчитывает три компонента стока: Q0, Q1 и Q2, – которые обычно интерпретируются как поверхностный, внутрипочвенный и грунтовый. Для описания каждого компонента стока используется линейное уравнение вида Qn(t) = Kn S(t), где Qn – отток из соответствующей емкости (S1 или S2), Kn – коэффициент истощения (рецессии), S(t) – текущий влагозапас емкости, мм. Формирование Q0 возможно только при достижении влагозапаса в верхней емкости S1 порогового значения HL, мм. Динамика пополнения стокоформирующей емкости S1 (recharge, мм/сут) зависит от отношения SM/FC, количества влаги на верхней границе водосбора (P, мм) и параметра BETA: recharge/P(t)= = (SM(t)/FC)BETA. Динамика нижней емкости S2 определяется балансом между максимальной скоростью просачивания PERC (мм/сут) из емкости S1 и оттоком Q2. Сумма всех компонентов стока (Q0, Q1 и Q2) на каждый расчетный шаг трансформируется до замыкающего створа с помощью треугольной трансформационной функции с основанием MAXBAS (сут) [29].
МЕТОДЫ ОЦЕНКИ ПОТЕНЦИАЛЬНОЙ ЭВАПОТРАНСПИРАЦИИ
Использованы четыре метода расчета PET: Пенмана–Монтейса [24], Пристли–Тэйлора [28], Одина [27] и Харгривза [21]. Указанные методы наиболее часто применяются в практике гидрологического моделирования [31], при этом они достаточно сильно отличаются друг от друга детальностью описания процессов испарения и требованиями к составу исходных данных. Методы PM и PT относят к классу физически обоснованных методов определения; PET, OD и HG – эмпирические зависимости.
Комплексная схема PM описывается уравнением:
, (4)
где PET – потенциальная эвапотранспирация, мм/сут; λ – скрытая теплота парообразования, МДж/(м2сут); Δ – изменение влажности в зависимости от температуры воздуха, кПа/°С; Hnet – радиационный баланс, МДж/(м2сут); G – поток тепла в почву, МДж/(м2сут); pair – плотность воздуха, кгм3; cp – удельная теплоемкость воздуха при постоянном давлении, МДж/(кг°C); es – упругость насыщения водяного пара, кПа; ea – фактическая упругость водяного пара, кПа; ra – аэродинамическое сопротивление, с/м; γ – психрометрическая константа, кПа/°С; rc – интегральное сопротивление подстилающей поверхности, с/м. Для расчета требуются данные по минимальной и максимальной температуре воздуха, скорости ветра, солнечной радиации, относительной влажности.
В гумидных климатических условиях в качестве альтернативы методу PM может использоваться метод PT, являющийся упрощением формулы (1), из которой исключен компонент аэродинамического сопротивления:
, (5)
где αPET – эмпирический коэффициент; λ – скрытая теплота парообразования, МДж/(м2сут); Δ – изменение влажности в зависимости от температуры воздуха, кПа/°С; Hnet – радиационный баланс, МДж/(м2сут); G – поток тепла в почву, МДж/(м2сут); γ – психрометрическая константа, кПа/°С. Коэффициент αPET может принимать значения в интервале 0–2, в настоящем исследовании в соответствии с [28] принят αPET = 1.26.
Формула HG имеет следующий вид:
, (6)
где λ – скрытая теплота парообразования, МДж/(м2 сут); Tmax, Tmin и Tavg – максимальная, минимальная и средняя температура воздуха соответственно, °С; H0 – поступление солнечной радиации к верхней границе атмосферы, МДж/(м2 сут).
В отличие от основной формулы метода HG, формула OD основана на использовании только среднесуточной температуры воздуха Tavg:
(7)
РЕЗУЛЬТАТЫ
Для моделирования гидрологического режима исследуемых водосборов (табл. 1) использованы данные наблюдений на метеостанциях Тимирязевский (31961) (гидрологические посты Михайловский, Воздвиженский, Дубининский и Опытный), для остальных постов использованы данные метеостанции Приморской (31962). В холодный период года (ноябрь–февраль) максимальные значения PET по всем методам в основном ≤1.5 мм (рис. 3). В весенние месяцы при устойчивом переходе температуры воздуха через 0°С величины PET увеличиваются до 3–4 мм. В теплый период года (со второй половины мая по середину сентября) результаты расчетов суточных значений PET по методам PM и PT достигают 5–7 мм и практически повторяют ход друг друга. Максимумы PET, полученные методами OD и HG, выше и достигают 7–8 мм, при этом относительно слабо коррелируют друг с другом.
Таблица 1. Площадь S (км2), уклон I (%), средняя высота H (м) и количество метеостанций и дождемеров M, использованных при моделировании стока исследуемых водосборов
№ | Пост | S, км2 | H, м | I, % | М |
1 | Пионерский | 2.4 | 201 | 14 | 1 |
2 | Доковский | 5.6 | 261 | 22 | 1 |
3 | Верхний | 18 | 276 | 22 | 1 |
4 | Егерский | 21 | 329 | 26 | 1 |
5 | Каменский | 31 | 341 | 19 | 3 |
6 | Мостовой | 31 | 91 | 8 | 2 |
7 | Дальний | 36 | 344 | 23 | 1 |
8 | Лесничий | 37 | 291 | 14 | 2 |
9 | Дубининский | 48 | 93 | 5 | 2 |
10 | Комаровский | 60 | 314 | 23 | 1 |
11 | Нижний | 70 | 294 | 22 | 3 |
12 | Михайловский | 123 | 72 | 2 | 3 |
13 | Воздвиженский | 154 | 63 | 1 | 2 |
14 | Центральный | 157 | 306 | 23 | 3 |
15 | Раковский | 198 | 268 | 15 | 1 |
16 | Садовый | 395 | 252 | 18 | 7 |
17 | Сах. Завод | 616 | 215 | 16 | 8 |
18 | Опытный | 755 | 124 | 7 | 6 |
Рис. 3. Результаты обобщения среднемесячных (а, в) и годовых (б, г) значений PET, вычисленных с помощью разных методов за полный период моделирования по данным метеостанций Приморская (а, б) и Тимирязевский (в, г)
Ряды PET, полученные с помощью всех четырех расчетных методов, были агрегированы в месячные значения, и выполнено сравнение (табл. 2) с данными измерений, полученными с помощью испарителей с водной поверхности, и результатами расчетов по методу Будыко [3, 4] в соответствии с методикой, изложенной в [13] на основе данных наблюдений метеостанций Приморской и Тимирязевский (1973–1987 гг.).
Таблица 2. Критерии соответствия расчетных значений PET, полученных методами Пенмана–Монтейса (PT), Пристли–Тэйлора (PT), Одина (OD) и Харгривза (HG) с результатами расчетов по методу Будыко и данными водных испарителей ПВБС
Метод расчета PET | Метод Будыко, данные по метеостанции | R2 | NSE | BIAS, % | Местоположение водного испарителя, водосбор | R2 | NSE | BIAS, % |
PM | Тимирязевский | 0.64 | 0.29 | -22 | Комаровка | 0.65 | -1.11 | 28 |
Приморская | 0.64 | 0.54 | 28 | Раковка | 0.75 | 0.66 | 7 | |
PT | Тимирязевский | 0.68 | 0.45 | 27 | Комаровка | 0.66 | -1.34 | 29 |
Приморская | 0.61 | 0.45 | 24 | Раковка | 0.49 | -0.57 | 38 | |
OD | Тимирязевский | 0.74 | -0.62 | -32 | Комаровка | 0.31 | -7.16 | -43 |
Приморская | 0.69 | -0.48 | -37 | Раковка | 0.36 | -0.82 | -22 | |
HG | Тимирязевский | 0.76 | -1.26 | -65 | Комаровка | 0.57 | -13.60 | -74 |
Приморская | 0.81 | -1.57 | -86 | Раковка | 0.61 | -1.25 | -37 |
При сравнении пар R2 и NSE [26] (табл. 2) можно заключить, что наиболее близки к методу Будыко результаты методов PM и PT; при этом PM занижает, а PT завышает среднемноголетние значения PET примерно на одну и ту же величину – 20–30%. Методы OD и HG имеют более высокие по сравнению с двумя предыдущими методами значения R2, вероятно – за счет более точного воспроизведения максимумов теплого период года; при этом среднемноголетние значения PET по методу HG имеют значительное положительное смещение (65 и 86%) по сравнению с другими методами.
При сравнении значений PET с данными наблюдений по водным испарителям более высокие значения R2 получены для методов PM, PT и HG (табл. 2). По критерию NSE удовлетворительные результаты получены только для метода PM при сравнении значений PET с данными испарителя, расположенного в нижней, равнинной части водосбора р. Раковки (рис. 1). В целом, при сравнении с данными испарителей значения PET завышаются (BIAS > 0) эмпирическими OD и HG и занижаются (BIAS < 0) физически обоснованными методами (PM и PT). Минимальные абсолютные значения BIAS получены для метода PM, максимальные для метода HG.
Модель HBV использована для расчетов речного стока на 18 гидрологических постах в пределах водосборов рек Комаровки и Раковки за период 1964–1987 гг. Гидрологические расчеты выполнены с суточным шагом. Калибровка параметров модели выполнена на основе данных плювиографов архива ПВБС, метеостанций Тимирязевский (31961) и Приморской (31962). Калибровка выполнена последовательно сначала для водосборов, расположенных возле главного водораздела, затем модельные гидрографы были использованы в качестве верхних граничных условий для нижележащих водосборов (рис. 1):
Комаровка–Центральный – Каменский, Егерьский, Комаровский;
Комаровка–Садовый – Центральный, Лесничий, Нижний;
Комаровка–Сахарный Завод – Садовый, Мостовой;
Раковка–Опытный – Раковский, Дубининский, Михайловский, Воздвиженский.
В каждом численном эксперименте для каждого объекта потенциальное испарение задавалось на основе четырех расчетных методов, ряды данных по осадкам и температуре оставались фиксированными.
Оценка эффективности моделирования стока выполнена с помощью традиционно применяемых в гидрологии критериев: коэффициента Нэша–Сатклифа (NSE) и относительного смещения BIAS (%). В соответствии с [25], результаты моделирования стока являются “неудовлетворительными” при NSE ≤ 0.5, “удовлетворительными” при 0.5 < NSE ≤ 0.65, “хорошими” при 0.65< < NSE ≤ 0.75, “очень хорошими” при NSE > 0.75; по критерию BIAS результаты “неудовлетворительны” при BIAS ≥ ±25%, “удовлетворительны” при ±15% ≤ BIAS < ±25%, “хорошие” при ±10% ≤ BIAS < ±15%, “очень хорошие” при BIAS < ±10%.
В соответствии с указанной градацией эффективности результаты моделирования стока с применением всех методов PET по критерию NSE (табл. 3) относятся к категории “удовлетворительно” или лучше, при этом большее количество случаев попадания в категорию “очень хорошо” относится к методам OD (17 случаев) и HG (16 случаев). По критерию BIAS расчеты с применением методов OD и HG “хорошие” и “очень хорошие”; применение методов PM и PT приводит к двум и трем неудовлетворительным результатам соответственно.
Таблица 3. Оценки эффективности гидрологического моделирования, полученные при использовании значений PET с помощью методов Пемана–Монтейса (PT), Пристли–Тэйлора (PT), Одина (OD) и Харгривза (HG) (номера постов согласно табл. 1)
№ поста | NSE | BIAS, % | ||||||
PM | PT | OD | HG | PM | PT | OD | HG | |
1 | 0.67 | 0.74 | 0.79 | 0.76 | -8 | -25 | -4 | 0 |
2 | 0.80 | 0.81 | 0.82 | 0.79 | -18 | -16 | 6 | 10 |
3 | 0.83 | 0.84 | 0.83 | 0.81 | 0 | -5 | 12 | 6 |
4 | 0.79 | 0.82 | 0.82 | 0.80 | -15 | -8 | 10 | 5 |
5 | 0.78 | 0.80 | 0.81 | 0.80 | -5 | -12 | 8 | 3 |
6 | 0.71 | 0.72 | 0.76 | 0.74 | -38 | -52 | 11 | 11 |
7 | 0.82 | 0.83 | 0.82 | 0.81 | 4 | 0 | 6 | 3 |
8 | 0.81 | 0.84 | 0.87 | 0.86 | -22 | -22 | 2 | 0 |
9 | 0.79 | 0.74 | 0.78 | 0.78 | -53 | -83 | -1 | 9 |
10 | 0.81 | 0.82 | 0.83 | 0.81 | -12 | -13 | 9 | 8 |
11 | 0.82 | 0.83 | 0.83 | 0.81 | -9 | -2 | 10 | 5 |
12 | 0.80 | 0.75 | 0.78 | 0.78 | 6 | 16 | 2 | 3 |
13 | 0.77 | 0.75 | 0.77 | 0.77 | 0 | 4 | 9 | 10 |
14 | 0.81 | 0.84 | 0.84 | 0.82 | -13 | -12 | -5 | -6 |
15 | 0.61 | 0.59 | 0.67 | 0.65 | -16 | -13 | 7 | 5 |
16 | 0.80 | 0.83 | 0.87 | 0.86 | -20 | -18 | -4 | -6 |
17 | 0.80 | 0.82 | 0.87 | 0.86 | -18 | -15 | 0 | -2 |
18 | 0.81 | 0.77 | 0.84 | 0.82 | -2 | -8 | 2 | 1 |
Параметры блока расчета испарения FC, LP и Cet при использовании физически обоснованных (PM и PT) и эмпирических (OD и HG) методов заметно отличаются (табл. 4). Cравнение модельного испарения AET, полученного в численных экспериментах с различными методами оценки PET и данных почвенных испарителей ПВБС, показало, что модельное актуальное испарение, полученное при использовании концептуальных методов (OD и HG), в целом, на 20–40% лучше коррелирует с данными почвенных испарителей, чем при использовании физически обоснованных методов (рис. 4). Абсолютные значения BIAS для всех рассмотренных случаев находятся в интервале –40%...–70%.
Таблица 4. Значения параметров блока расчета испарения модели HBV, полученных с применением различных методов расчета PET* (номера соответствуют порядку водосборов в табл. 1 (методы: PM – Пенмана–Монтейса, PT – Пристли–Тэйлора, OD – Одина, HG – Харгривза)
№ поста | Параметры | |||||||||||
PM | PT | OD | HG | |||||||||
FC | LP | Cet | FC | LP | Cet | FC | LP | Cet | FC | LP | Cet | |
1 | 261 | 0.5 | 0.5 | 227 | 0.6 | 0.5 | 239 | 0.8 | 0.0 | 207 | 0.7 | 0.0 |
2 | 220 | 0.6 | 0.2 | 241 | 0.7 | 0.2 | 158 | 1.0 | 0.0 | 142 | 1.0 | 0.0 |
3 | 190 | 0.4 | 0.0 | 101 | 0.4 | 0.1 | 104 | 1.0 | 0.0 | 114 | 1.0 | 0.0 |
4 | 140 | 0.3 | 0.1 | 188 | 0.1 | 0.1 | 125 | 1.0 | 0.0 | 126 | 1.0 | 0.0 |
5 | 98 | 0.4 | 0.3 | 132 | 0.6 | 0.2 | 136 | 1.0 | 0.0 | 121 | 1.0 | 0.0 |
6 | 200 | 0.6 | 0.3 | 193 | 0.6 | 0.2 | 158 | 1.0 | 0.1 | 146 | 1.0 | 0.0 |
7 | 162 | 1.0 | 0.5 | 83 | 0.5 | 0.1 | 108 | 1.0 | 0.1 | 124 | 1.0 | 0.0 |
8 | 167 | 0.8 | 0.5 | 137 | 0.7 | 0.5 | 129 | 0.9 | 0.1 | 132 | 0.9 | 0.0 |
9 | 206 | 0.5 | 0.0 | 250 | 0.5 | 0.1 | 187 | 0.9 | 0.1 | 175 | 0.8 | 0.0 |
10 | 260 | 0.7 | 0.1 | 192 | 0.6 | 0.1 | 141 | 1.0 | 0.0 | 138 | 1.0 | 0.0 |
11 | 198 | 0.6 | 0.1 | 168 | 0.6 | 0.2 | 149 | 1.0 | 0.0 | 151 | 1.0 | 0.0 |
12 | 316 | 0.7 | 0.0 | 320 | 0.4 | 0.1 | 230 | 0.9 | 0.0 | 233 | 0.9 | 0.0 |
13 | 210 | 0.3 | 0.0 | 240 | 0.1 | 0.2 | 212 | 0.8 | 0.1 | 231 | 0.8 | 0.0 |
14 | 220 | 0.4 | 0.3 | 180 | 0.1 | 0.2 | 105 | 0.9 | 0.0 | 60 | 0.9 | 0.2 |
15 | 110 | 0.7 | 0.6 | 118 | 0.8 | 0.6 | 115 | 0.7 | 0.0 | 95 | 0.9 | 0.0 |
16 | 330 | 0.6 | 0.3 | 245 | 0.6 | 0.5 | 190 | 0.8 | 0.1 | 125 | 0.9 | 0.1 |
17 | 140 | 0.5 | 0.1 | 250 | 0.6 | 0.2 | 165 | 0.9 | 0.0 | 140 | 1.0 | 0.0 |
18 | 290 | 0.5 | 0.1 | 330 | 0.3 | 0.3 | 230 | 0.9 | 0.0 | 225 | 0.9 | 0.0 |
Рис. 4. Корреляция модельных значений действительного испарения AET, рассчитанного с использованием различных методов PET для 18 водосборов (номера согласно табл. 1), и данных почвенных испарителей ПВБС за период май–октябрь (1973–1987 гг.): а – Пенмана-Монтейса; б – Пристли–Тэйлора; в – Одина; г – Харгривза
Для исследования реакции модели HBV при изменении конфигурации исходных данных PET на отличные от тех, для которых она была откалибрована, проведен ряд численных экспериментов, в которых значения параметров модели HBV, полученные при одном методе расчета PET, использовались для расчетов речного стока с применением остальных методов определения потенциальной эвапотранспирации. Параметры модели HBV, полученные с помощью методов OD и HG, практически взаимозаменяемы: снижение эффективности расчетов по критерию NSE при перекрестной смене параметров находится в пределах 5–10%, оставаясь, в основном, в градациях “хорошо”. По критерию BIAS результаты при такой постановке численных экспериментов в большинстве случаев “удовлетворительны”. Параметры модели HBV, полученные с использованием метода PM, достаточно эффективны при замене метода PM на PT (оценки NSE и BIAS в этом случае попадают в градации эффективности “удовлетворительно” или лучше, за исключением водосборов р. Раковки, посты – Воздвиженский, Дубининский, Михайловский, Опытный) и не эффективны при замене PM методами OD и HG (практически во всех случаях оценки NSE и BIAS “неудовлетворительные”). Параметры модели, полученные при использовании метода PT, за исключением поста Мостового, эффективны при использовании PET, рассчитанного по методу PM; и наоборот, для остальных методов определения потенциальной эвапотранспирации не эффективны практически для всех водосборов в соответствии с оценками NSE и BIAS.
ОБСУЖДЕНИЕ РЕЗУЛЬТАТОВ
Испарение представляет собой динамический процесс, скорость которого зависит от трех основных факторов: 1) обеспеченности необходимой для испарения энергией; 2) способности отводить водяной пар от испаряющей поверхности за счет аэродинамических процессов (ветра и градиента влажности воздуха над испаряющей поверхностью); 3) наличия почвенной влаги для испарения при ограничении подачи воды [18]. Первые два фактора зависят от климатических и ландшафтных условий, последний – от гидрологического состояния водосбора.
Только физически-обоснованные методы PM и PT демонстрируют удовлетворительное соответствие результатам вычисления среднемесячных значений PET методом Будыко (табл. 2). При сравнении с данными наблюдений только метод PM дает близкие среднемесячные значения PET для испарителя, расположенного в нижнем течении р. Раковки (рис. 1). В то же время анализ чувствительности к потенциальной эвапотранспирации на основе сравнения измеренных и вычисленных расходов воды показывают, что PM и PT – не лучшие методы для оценки PET в отношении гидрологического моделирования. Разница влияния испарения на сток при применении методов PM и PT незначительна, из чего можно заключить, что для масштаба объектов исследования пространственная вариация аэродинамических членов уравнения PM может быть эффективно описана с помощью постоянного коэффициента в уравнении PT.
Значения NSE и BIAS, полученные в результате калибровки для 18 водосборов (табл. 3), образуют облако точек в области BIAS ±20% и NSE > 0.75 (рис. 5). Все точки со значительными отклонениями средних значений оценок эффективности (10 точек, 14% от общего количества) – Раковский (PM, PT, OD, HG), Пионерский (PM, PT), Мостовой (PM, PT) и Дубининский (PM, PT) (рис. 4) соответствуют водосборам, расположенным в бассейне р. Раковки. Данное обстоятельство может быть связано с расположением метеостанций, данные которых использованы для расчета PET. Водосборы, для которых получены высокие оценки качества моделирования, расположены в бассейне р. Комаровки; соответственно, метеостанция Приморская, данные которой использованы для расчета PET, расположена практически в центре этого водосбора (рис. 1). Метеостанция Тимирязевский, по данным которой был сделан расчет PET, находится достаточно далеко за пределами перечисленных выше водосборов с пониженными оценками эффективности моделирования.
Рис. 5. Связь значений NSE и BIAS, полученных в результате калибровки для 18 водосборов
Эмпирические методы OD и HG завышают значения PET относительно PM и PT. В модели это приводит к необходимости компенсации объема действительного испарения за счет снижения объема максимального влагосодержания водосбора (FC) и снижения с помощью параметров Cet и LP роли PET при извлечении влаги из почвы, стабилизации значений этих параметров вокруг границ интервалов области их определения (табл. 4), а также появления достаточно сильной корреляции (R2 > 0.9) между средними за теплый период года значениями SM и AET (рис. 6). Использование методов PM и PT, напротив, способствует более естественному распределению значений параметров блока испарения, при этом значения FC в большей мере соответствуют региональным данным о гидрофизических характеристиках почвогрунтов [1, 2, 7]. Корреляция между средними за теплый период года значениями SM и AET практически отсутствует за счет более точного учета текущих метеорологических условий на верхней границе водосбора.
Рис. 6. Связь среднемноголетних значений влагозапаса SM и модельного испарения AET за паводкоопасный период (июнь–сентябрь) при использовании различных методов расчета PET, номера водосборов соответствуют нумерации в (табл. 1)
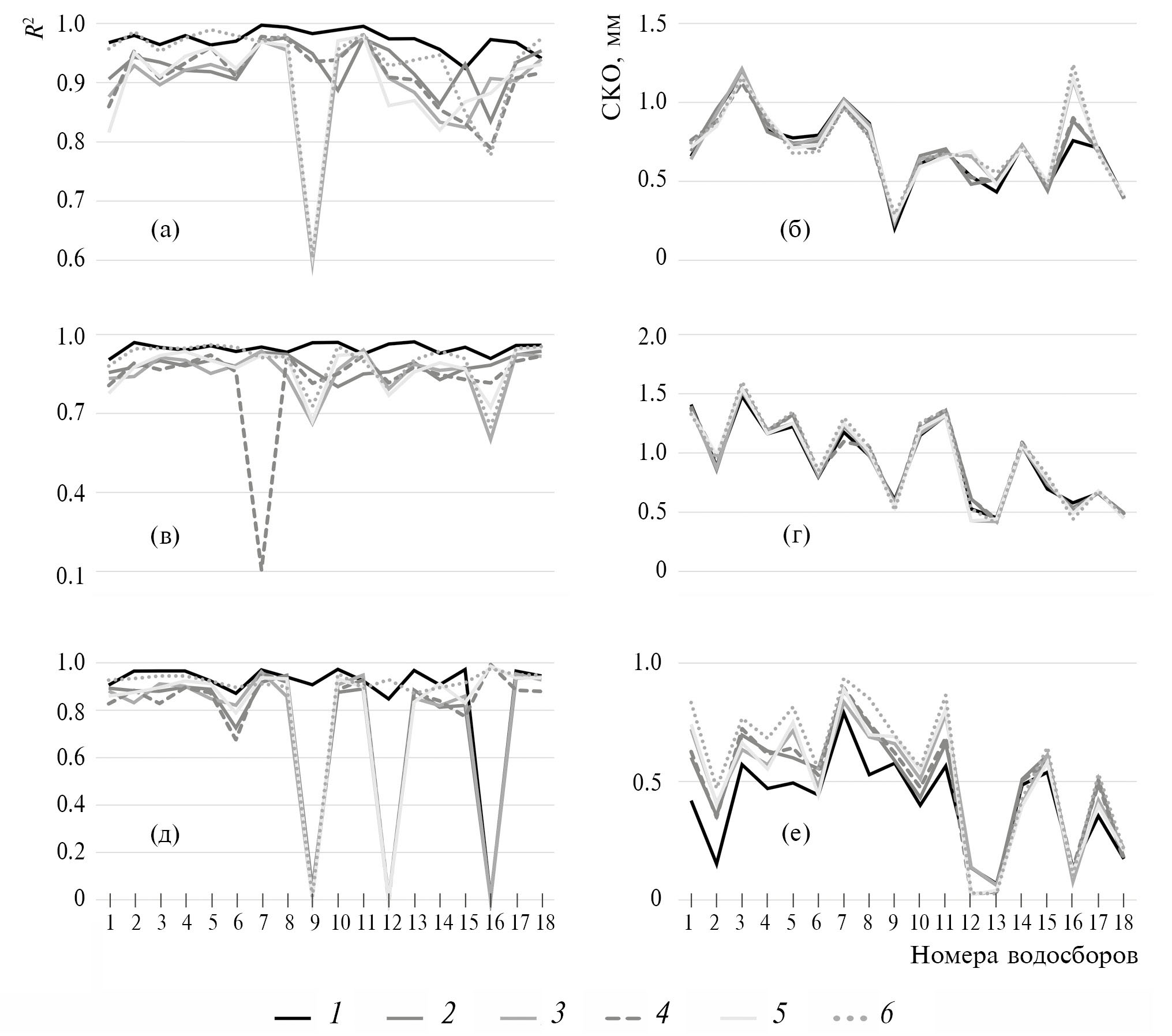
Динамика PET и AET, от которой зависят начальные условия развития паводков, практически не сказывается на результатах моделирования максимальных расходов (рис. 7). Сопоставление компонентов речного стока (Q0, Q1 и Q2), полученных при моделировании с помощью разных методов определения PET (6 пар – PM/PT, PM/HG, PM/OD, PT/HG, PT/OD и OD/HG), выполнено с помощью сравнения коэффициентов детерминации R2 и среднеквадратического отклонения (рис. 8). Полученные средние значения R2 для компонентов стока в водосборах, расположенных в бассейне р. Комаровки, составляют 0.8–0.9. Среднеквадратические отклонения для всех компонентов находятся в интервале 0.2–1.6 мм, для Q1 и Q2 можно отметить тенденцию к уменьшению значений с увеличением площади водосбора.
Рис. 7. Коэффициент детерминации (а) и относительное смещение (б) смоделированных и измеренных максимальных расходов воды за теплый период (июнь–сентябрь)
Рис. 8. Коэффициент детерминации R2 и среднеквадратическое отклонение (СКО), рассчитанные между парами различных методов определения PET для различных компонентов речного стока Q0 (а, б), Q1 (в, г), Q2 (д, е): 1 – HG/OD, 2 – HG/PM, 3 – HG/PT, 4 – OD/PM, 5 – OD/PT, 6 – PM/PT. Номера водосборов соответствуют нумерации (табл. 1)
Значения R2 в некоторых случаях падают практически до нуля. Это происходит для тех водосборов, для которых откалиброванные значения параметра максимальной влагоемкости FC значительно различаются в зависимости от используемого метода расчета PET (табл. 4). При использовании эмпирических методов OD и HG значения FC для некоторых водосборов могут отличаться практически в два раза от значений, полученных с использованием методов PM и PT. При низких значениях FC и пороговых значениях LP (равных или близких к нулю), характерных для конфигурации модели в сочетании с эмпирическими методами OD и HG, влагоемкость SM намного чаще достигает максимального значения емкости FC и большее количество воды поступает в емкость стокоформирования S1 (рис. 2). Таким образом, можно заключить, что гидрологические модели типа HBV, в которых блоки динамики почвенной влаги реализованы в виде зависимости от влагоемкости почвы, при моделировании компонентов гидрографа стока могут быть достаточно чувствительны к вводу данных PET. При использовании простых, обычно основанных только на значениях температуры воздуха эмпирических моделей эвапотранспирации завышение значений PET необходимо компенсировать с помощью уменьшения влагоемкостных характеристик водосбора (FC).
В некотором смысле выбор одного или другого метода расчета PET связан с общей проблемой определения оптимальной структуры гидрологической модели [8]. Физические методы более обоснованы, но требуют бо́льших объемов данных и чувствительны к их качеству. Из двух используемых в данном исследовании физических методов оценки PET метод Пристли–Тейлора представляется предпочтительным для регионального гидрологического реанализа. Он требует меньше данных для оценки потенциальной эвапотранспирации, но результаты моделирования практически идентичны тем, для которых применялся метод Пенмана–Монтейса. Эмпирические методы гораздо менее требовательны к исходным данным (которые, по большей части, все равно оцениваются с помощью эмпирических зависимостей), их применение приводит к практически идентичным расчетным гидрографам. Более сложные методы не приводят к более точным оценкам эффективности моделирования, из чего можно заключить, что в определенных случаях точностью метода расчета потенциальной эвапотранспирации можно, по сути, пренебречь, при этом параметры, компоненты стока и водного баланса могут быть искажены, но это не будет существенным недостатком. Окончательный вывод о предпочтении определенного метода расчета PET должен делаться исходя из наличия данных, климатических особенностей региона и целей использования результатов моделирования.
ЗАКЛЮЧЕНИЕ
Фактическое количество источников неопределенности при моделировании стока может быть значительно больше, чем количество калибруемых параметров гидрологических моделей. Например, источниками ошибок моделирования могут быть результаты агрегации ландшафтных характеристик подстилающей поверхности и методы подготовки входных данных, включающие различного рода методы определения вертикальных градиентов метеорологических характеристик. В данном исследовании для определения чувствительности моделирования компонентов гидрологического цикла к расчету испарения в рамках гидрологической модели HBV использовано четыре наиболее распространенных метода оценки потенциальной эвапотранспирации. Показано, что с использованием разных оценок PET можно получить практически одинаковые модельные расходы воды, но разные компоненты стока и параметры модели.
Результаты применения физически обоснованных методов для определения потенциального испарения в большей степени соответствуют широко используемой в гидрологической практике методике определения потенциального испарения Будыко и данным водных испарителей ПВБС. Разница оценок влияния испарения на сток при применении методов Пенмана–Монтейса и его упрощения – метода Пристли–Тейлора незначительна; из чего можно заключить, что менее требовательный к исходным данным метод Пристли–Тейлора может быть предпочтительным в контексте региональных исследований водного баланса. Анализ результатов моделирования показал, что применение физически обоснованных методов расчета потенциального испарения в целом не влияет на эффективность моделирования гидрографа стока исследуемых водосборов. В этой ситуации преимущества методов определения PET c меньшими требованиями к входным данным при достижении необходимого уровня точности расчетов речного стока очевидны. В то же время при использовании простых, основанных на данных о температуре эмпирических моделей эвапотранспирации неопределенность результатов расчета потенциального испарения необходимо компенсировать за счет менее физически обоснованных значений параметров, что, в свою очередь, может привести к искажению динамики компонентов водного баланса и генетических составляющих стока. Таким образом, выбор метода расчета PET должен выполняться исходя из наличия данных, климатических особенностей региона и целей использования результатов моделирования.
Об авторах
Н. Ю. Сидоренко
Дальневосточный региональный научно-исследовательский гидрометеорологический институт
Автор, ответственный за переписку.
Email: ninaysidorenko@mail.ru
Россия, Владивосток
А. Н. Бугаец
Тихоокеанский институт географии ДВО РАН
Email: ninaysidorenko@mail.ru
Россия, Владивосток
С. Ю. Лупаков
Тихоокеанский институт географии ДВО РАН
Email: ninaysidorenko@mail.ru
Россия, Владивосток
Б. И. Гарцман
Институт водных проблем РАН
Email: ninaysidorenko@mail.ru
Россия, Москва
Л. В. Гончуков
Дальневосточный региональный научно-исследовательский гидрометеорологический институт; Институт водных проблем РАН
Email: ninaysidorenko@mail.ru
Россия, Владивосток; Москва
Список литературы
- Бугаец А.Н., Гарцман Б.И., Терешкина А.А., Гончуков Л.В., Бугаец Н.Д., Сидоренко Н.Ю., Пшеничникова Н.Ф., Краснопеев С.М. Опыт применения модели SWAT для изучения гидрологического режима малого речного бассейна (река Комаровка, Приморский край) // Метеорология и гидрология. 2018. № 5. С. 68–79. doi: 10.3103/S1068373918050060
- Бугаец А.Н., Пшеничникова Н.Ф., Терешкина А.А., Краснопеев С.М., Гарцман Б.И. Анализ пространственной дифференциации почвенного покрова юга Приморья на примере бассейна р. Комаровка // Почвоведение. 2015. № 3. С. 268–276. doi: 10.7868/S0032180X15030028
- Будыко М.И. Испарение в естественных условиях. Л.: Гидрометеоиздат, 1948. 136 с.
- Будыко М.И. О методике определения испарения // Метеорология и гидрология. 1952. № 9. С. 3–9.
- Горчаков А.М. Исследование элементов водного баланса и его структуры в Приморье. Л.: Гидрометеоиздат, 1983. 182 с.
- Кузьмин П.П., Зубенок Л.И., Константинов А.Р., Астахова Н.И. Виноградов В.В. Внутригодовое распределение суммарного испарения с поверхности суши на территории СССР // Тр. ГГИ. 1968. Вып. 151. С. 5–11.
- Лупаков С.Ю., Бугаец А.Н. Использование концептуальной модели речного стока HBV для анализа паводков на малых водосборах // Метеорология и гидрология. 2022. № 1. С. 84–94. doi: 10.52002/0130-2906-2022-1-84-94
- Лупаков С.Ю., Бугаец А.Н., Шамов В.В. Применение различных структур модели HBV для исследования процессов формирования стока на примере экспериментальных водосборов // Вод. ресурсы. 2021. Т. 48. № 4. С. 417–426. doi: 10.31857/S032105962104012
- Мотовилов Ю.Г., Гельфан А.Н. Модели формирования стока в задачах гидрологии речных бассейнов. М.: РАН, 2018. 300 с. doi: 10.31857/S9785907036222000001
- Мотовилов Ю.Г., Морейдо В.М., Миллионщикова Т.Д. Приближенная формула для расчета дефицита влажности воздуха при оценках испарения в моделях формирования стока на реках России // Вод. ресурсы. 2022. Т. 49. № 6. С. 753–765. doi: 10.31857/S0321059622060098
- Назари М., Чаичи М.Р., Камель Х., Грисмер М., Садеги С.М.М. // Арид. экосистемы. 2020. Т. 26. № 4. С. 84–92. doi: 10.24411/1993-3916-2020-10122
- Попова Н.Ю., Гарцман Б.И. Сравнительный анализ методов оценки испарения с речных бассейнов юга Дальнего Востока // Тр. ДВНИГМИ. 2012. № 1. С. 246–262.
- Рекомендации по расчету испарения с поверхности суши. Л.: Гидрометеоиздат, 1976. 96 с.
- Урываев А.П. Об измерениях и расчетах суммарного испарения в условиях Приморья. Л.: Гидрометеоиздат, 1973. Вып. 42. С. 77–89.
- Allen R.G., Pereira L.S., Raes D., Smith M. Crop evapotranspiration: Guide-lines for computing crop water requirements. Rome, Italy: FAO-56, 1998. 300 p.
- Bergstrom S. Development and application of a conceptual runoff model for Scandinavian catchments. Norrkoping, Sweden: SMHI Rep. № 7. 1976. 134 p.
- Bugaets A.N., Gartsman B.I., Gonchukov L.V., Lupakov S.Y., Shamov V.V., Pshenichnikova N.F., Tereshkina A.A. Modeling the hydrological regime of small testbed catchments based on field observations: a case study of the Pravaya Sokolovka River, the Upper Ussuri River basin // Water Resour. 2019. V. 46 (S2). P. S8–S16. doi: 10.1134/S0097807819080037
- Chow V.T., Maidment D.R., Mays L.W. Applied Hydrology. International Edition. N. Y. USA: McGraw-Hill Book Company, 1988. 588 p.
- Dong B., Lenters J.D., Hu Q., Kucharik C.J., Wang T., Soylu M.E., Mykleby P.M. Decadal-scale changes in the seasonal surface water balance of the Central United States from 1984 to 2007 // J. Hydrometeorol. 2020. V. 21. P. 1905–1927.
- Dyck S. Overview on the present status of the concepts of water balance models // IAHS Publ. 1985. V. 148. P. 3–19.
- Hargraves G.H., Samani Z.A. Reference crop evapotranspiration from temperature // Appl. Eng. Agric. 1985. V. 1. P. 96–99.
- Lu J., Sun G., McNulty S.G., Amatya D.M. A comparison of six potential evapotranspiration methods for regional use in the southeastern United States // J. Am. Water Resour. Assoc. 2005. V. 41. P. 621–633.
- Mintz Y., Walker G. Global fields of soil moisture and land surface evapotranspiration derived from observed precipitation and surface air temperature // J. Applied Meteorol. 1993. V. 32. P. 1305–1334.
- Monteith J.L. Evaporation and environment // Symposia of the Society for Experimental Biology. 1965. V. 19. P. 205–234.
- Moriasi D.N., Arnold J.G., Van Liew M.W., Bingner R.L., Harmel R.D., Veith T.L. Model evaluation guidelines for systematic quantification of accuracy in watershed simulations // Trans. ASABE. 2007. V. 50. № 3. P. 885–900. https://doi.org/10.13031/2013.23153
- Nash J.E., Sutcliffe J.V. River flow forecasting through conceptual models: Pt I. A discussion of principles // J. Hydrol. 1970. V. 10. P. 282–290.
- Oudin L., Hervieu F., Michel C., Perrin C., Andreassian V., Anctil F., Loumagne C. Which potential evapotranspiration input for a lumped rainfall-runoff model? Pt 2. Towards a simple and efficient potential evapotranspiration sensitivity analysis and identification of the best evapotranspiration and runoff options for rainfall-runoff modeling // J. Hydrol. 2005. V. 303. P. 290–306.
- Priestley C.H.B., Taylor R.J. On the assessment of surface heat flux and evaporation using large-scale parameters // Monthly Weather Review. 1972. V. 100. P. 81–92. doi: 10.1175/1520-0493(1972)100<0081:OTAOSH>2.3.CO;2
- Seibert J., Vis M. Teaching hydrological modelling with a user-friendly catchment-runoff-model software package // Hydrol. Earth Syst. Sci. 2012. V. 16. P. 3315–3325. doi: 10.5194/hess-16-3315-2012
- Xu Z.X., Li J.Y. Estimating basin evapotranspiration using distributed hydrologic model // J. Hydrol. Engineering. 2003. V. 8. P. 74–80.
- Zhao L., Xia J., Xu C., Wang Z., Sobkowiak L., Long C. Evapotranspiration estimation methods in hydrological models // J. Geogr. Sci. 2013. V. 23. P. 359–369. doi: 10.1007/s11442-013-1015-9
Дополнительные файлы










