Changing the Reserves of Green and Lichen Forage Stocks in the Southern Tundra Communities of Yamal from the 1930s to 2017–2019
- Authors: Gorbunova A.M.1, Gorbunov L.S.1, Veselkin D.V.1
-
Affiliations:
- Institute of Plant and Animal Ecology, Ural Branch, Russian Academy of Sciences
- Issue: No 2 (2023)
- Pages: 83-93
- Section: Articles
- URL: https://medbiosci.ru/0367-0597/article/view/139167
- DOI: https://doi.org/10.31857/S0367059723020063
- EDN: https://elibrary.ru/MXPVAP
- ID: 139167
Cite item
Full Text
Abstract
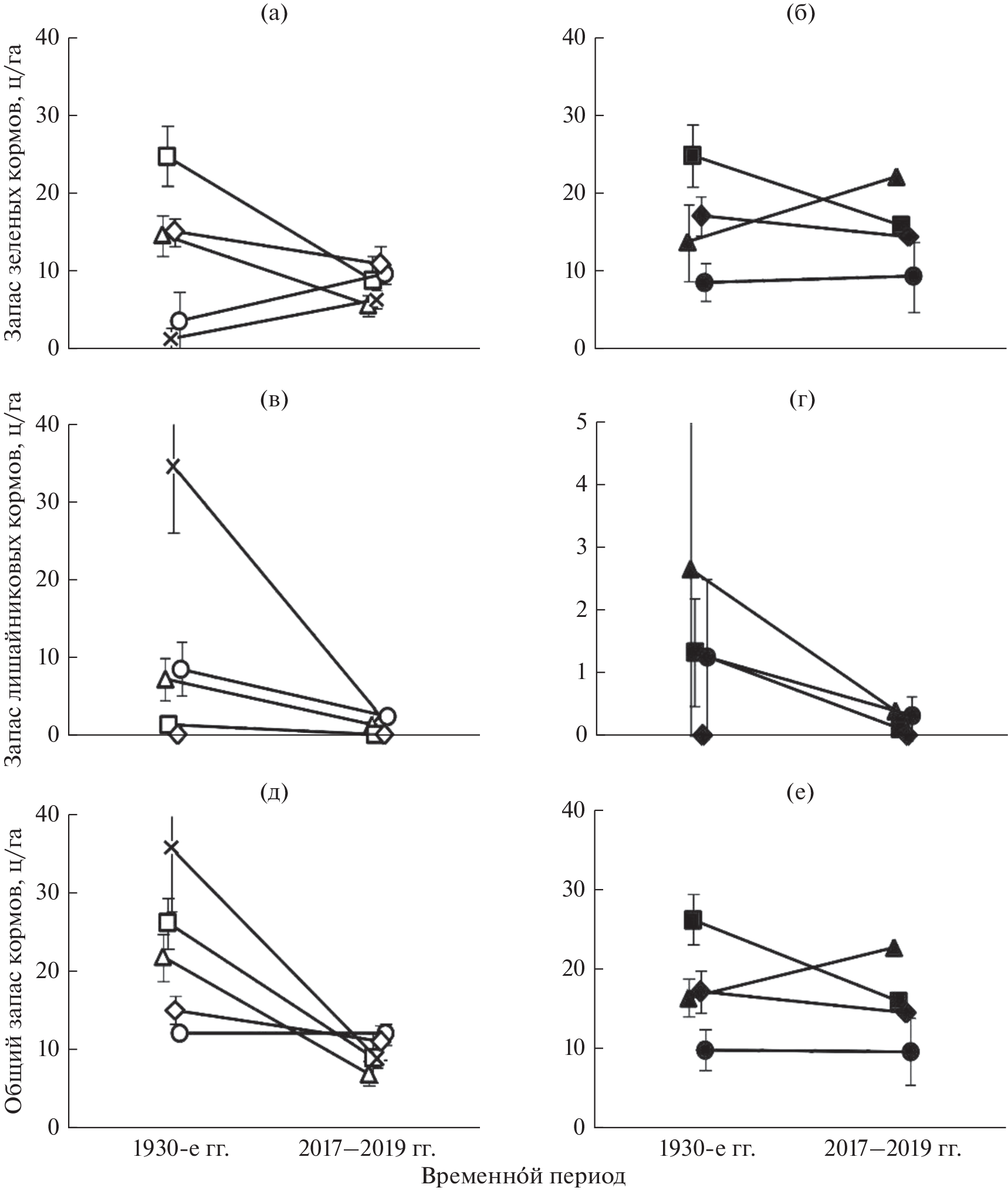
We compared the reindeer forage stocks at two landfills in the southern part of the Yamal Peninsula for the period from the early 1930s to 2017–2019. Data from [30] was used to characterize the feedstock in the 1930s. Feedstocks in the 1930s and 2017–2019 in plant communities in the basins of the the Erkatayakha and Baidaratayakha rivers were compared in the following vegetation divisions: lichen and shrub tundras; moss and grass tundras; shrub tundra; meadow communities; and bogs. The following hypotheses were tested: (1) the total supply of feed in Yamal decreased since the 1930s; (2) the decrease in stocks affected the lichen component to the greatest extent. Both hypotheses were confirmed. The general changes in the stocks and structure of food in the plant communities of South Yamal over the 85–87 years include delichenization, a decrease in the mass of lichens and the proportion of lichen food. The average stock of lichen fodder from the 1930s to 2017–2019 decreased by 5 times in the communities at the Erkatayakha test site and by 2 times at the Baidaratayakha test site. The mass of green fodder for 85–87 years has not changed. Thus, the change in the masses of economically important components of tundra vegetation over a uniquely long period, almost 90 years, has been characterized.
About the authors
A. M. Gorbunova
Institute of Plant and Animal Ecology, Ural Branch, Russian Academy of Sciences
Email: anastasiya_psu1991@mail.ru
Yekaterinburg, Russia
L. S. Gorbunov
Institute of Plant and Animal Ecology, Ural Branch, Russian Academy of Sciences
Email: anastasiya_psu1991@mail.ru
Yekaterinburg, Russia
D. V. Veselkin
Institute of Plant and Animal Ecology, Ural Branch, Russian Academy of Sciences
Author for correspondence.
Email: anastasiya_psu1991@mail.ru
Yekaterinburg, Russia
References
- Bogdanov V.D., Golovatin M.G. Anthrax in Yamal: an ecological view on traditional reindeer husbandry // Russ. J. Ecol. 2017. V. 48. № 2. P. 95–100. https://doi.org/10.1134/S1067413617020059
- Тишков А.А., Белоновская Е.А., Вайсфельд М.А. и др. Позеленение тундры как драйвер современной динамики арктической биоты // Арктика: экология и экономика. 2018. № 2(30). С. 31–44. https://doi.org/10.25283/2223-4594-2018-2-31-44
- Verma M., Schulte to Bühne H., Lopes M. et al. Can reindeer husbandry management slow down the shrubification of the Arctic? // J. Environ. Manage. 2020. V. 267. 110636. https://doi.org/10.1016/j.jenvman.2020.110636
- Myers-Smith I.H., Kerby J.T., Phoenix G.K. et al. Complexity revealed in the greening of the Arctic // Nat. Clim. Change. 2020. V. 10. №. 2. P. 106–117. https://doi.org/10.1038/s41558-019-0688-1
- Бобков А.А., Паниди Е.А., Цепелев В.Ю. Влияние климатических изменений на состояние растительного покрова полярной области России // Вестник СПбГУ. 2014. Сер. 7. Вып. 3. С. 104–115.
- Зуев В.В., Короткова Е.М., Павлинский А.В. Климатически обусловленные изменения растительного покрова тайги и тундры Западной Сибири в 1982–2015 гг. по данным спутниковых наблюдений // Исследование Земли из космоса. 2019. № 6. С. 66–76. https://doi.org/10.31857/S0205961421060051
- Walsh J.E., Overland J.E., Groisman P.Y., Rudolf B. Ongoing climate change in the Arctic // Ambio. 2011. V. 40 (Suppl 1). P. 6–16. https://doi.org/10.1007/s13280-011-0211-z
- Previdi M., Smith K.L., Polvani L.M. Arctic amplification of climate change: a review of underlying mechanisms // Environ. Res. Lett. 2021. V. 16. № 9. 093003. https://doi.org/10.1088/1748-9326/ac1c29
- Normand S., Høye T.T., Forbes B.C. et al. Legacies of historical human activities in arctic woody plant dynamics // Annu. Rev. Environ. Res. 2017. V. 42. P. 541–567. https://doi.org/10.1146/annurev-environ-110615-085-454
- Природа Ямала / Отв. ред. Добринский Л.Н. Екатеринбург: УИФ “Наука”, 1995. 435 с.
- Chan K.-S., Mysterud A., Øritsland N.A. et al. Continuous and discrete extreme climatic events affecting the dynamics of a high-arctic reindeer population // Oecologia. 2005. V. 145. № 4. P. 556–563. https://doi.org/10.1007/s00442-005-0157-6
- Treharne R., Bjerke J.W., Tømmervik H. et al. Arctic browning: Impacts of extreme climatic events on heathland ecosystem CO2 fluxes // Glob. Change Biol. 2019. V. 25. № 2. P. 489–503. https://doi.org/10.1111/gcb.14500
- Тишков А.А. “Арктический вектор” в сохранении наземных экосистем и биоразнообразия // Арктика: экология и экономика. 2012. № 2(6). С. 28–43.
- Callaghan T.V., Björn L.O., Chernov Y. et al. Biodiversity, distributions and adaptations of Arctic species in the context of environmental change // Ambio. 2004. V. 33. № 7. P. 404–417. https://doi.org/10.1579/0044-7447-33.7.404
- Walker D.A., Epstein H.E., Jia G.J. et al. Phytomass, LAI, and NDVI in northern Alaska: Relationships to summer warmth, soil pH, plant functional types, and extrapolation to the circumpolar Arctic // J. Geophys. Res. 2003. V. 108. № D2. 8169. https://doi.org/10.1029/2001JD000986
- Walker D.A., Leibman M.O., Epstein H.E. et al. Spatial and temporal patterns of greenness on the Yamal Peninsula, Russia: interactions of ecological and social factors affecting the Arctic normalized difference vegetation index // Environ. Res. Lett. 2009. V. 4. № 4. 045 004. https://doi.org/10.1088/1748-9326/4/4/045004
- Варламова Е.В., Соловьев В.С. Исследование вариаций вегетационного индекса NDVI арктической зоны Якутии // Современные проблемы дистанционного зондирования Земли из космоса. 2010. Т. 7. № 3. С. 226–230.
- Epstein H.E., Raynolds M.K., Walker D.A. et al. Dynamics of aboveground phytomass of the circumpolar Arctic tundra during the past three decades // Environ. Res. Lett. 2012. V. 7. № 1. 015506. https://doi.org/10.1088/1748-9326/7/1/015506
- Лавриненко И.А., Лавриненко О.В. Влияние климатических изменений на растительный покров островов Баренцева моря // Труды КарНЦ РАН. Экологические исследования. 2013. № 6. С. 4–16.
- Елсаков В.В. Пространственная и межгодовая неоднородность изменений растительного покрова тундровой зоны Евразии по материалам съемки MODIS 2000–2016 гг. // Современные проблемы дистанционного зондирования Земли из космоса. 2017. Т. 14. № 6. С. 56–72. https://doi.org/10.21046/2070-7401-2017-14-6-56-72
- Bhatt U.S., Walker D.A., Raynolds M.K. et al. Changing seasonality of panarctic tundra vegetation in relationship to climatic variables // Environ. Res. Lett. 2017. V. 12. № 5. 055003. https://doi.org/10.1088/1748-9326/aa6b0b
- Елсаков В.В., Морозова Л.М. Спутниковые технологии в исследованиях растительного покрова оленьих пастбищ п-ова Ямал // Научный вестник ЯНАО. 2018. № 4(101). С. 21–23.
- Елсаков В.В., Щанов В.М. Современные изменения растительного покрова пастбищ северного оленя Тиманской тундры по результатам анализа данных спутниковой съемки // Современные проблемы дистанционного зондирования Земли из космоса. 2019. Т. 16. № 2. С. 128–142. https://doi.org/10.21046/2070-7401-2019-16-2-128-142
- Дегерменджи А.Г., Высоцкая Г.С., Сомова Л.А. и др. Многолетняя динамика NDVI-растительности различных классов тундры в зависимости от температуры и осадков // Доклады РАН. Науки о Земле. 2020. Т. 493. № 2. С. 103–106. https://doi.org/10.31857/S2686739720080046
- Им С.Т., Харук В.И., Ли В.Г. Миграция северной границы вечнозеленых хвойных древостоев в Сибири в XXI столетии // Современные проблемы дистанционного зондирования Земли из космоса. 2020. Т. 17. № 1. С. 176–187. https://doi.org/10.21046/2070-7401-2020-17-1-176-187
- Тишков А.А., Белоновская Е.А., Кренке А.Н. и др. Изменения биологической продуктивности наземных экосистем Российской Арктики в ХХI в. // Арктика: экология и экономика. 2021. Т. 11. № 1. С. 30–41. https://doi.org/10.25283/2223-4594-2021-1-30-41
- Магомедова М.А., Морозова Л.М., Эктова С.Н. и др. Полуостров Ямал: растительный покров. Тюмень: Сити-пресс, 2006. 360 с.
- Головацкая А.Е. Биологическая продуктивность олиготрофных и эвтрофных болот южно-таежной подзоны Западной Сибири // Журнал Сибирского федерального ун-та. Биология. 2009. Т. 2. № 1. С. 38–53.
- Forbes B.C., Macias-Fauria M., Zetterberg P.I. Russian Arctic warming and ‘greening’ are closely tracked by tundra shrub willows // Glob. Change Biol. 2010. V. 16. № 5. P. 1542–1554. https://doi.org/10.1111/j.1365-2486.2009.02047.x
- Андреев В.Н. Кормовая база ямальского оленеводства // Советское оленеводство. Л.: “Советский печатник”, 1934. Т. 1. Вып. 1. С. 99–164.
- Морозова Л.М., Магомедова М.А. Структура растительного покрова и растительные ресурсы полуострова Ямал. Екатеринбург: Изд-во Урал. ун-та, 2004. 63 с.
- Белоновская Е.А., Тишков А.А., Вайсфельд М.А. и др. Позеленение Российской Арктики и современные тренды изменения ее биоты // Известия РАН. Сер. геогр. 2016. № 3. С. 28–39. https://doi.org/10.15356/0373-2444-2016-3-28-39
- Olofsson J., Kitti H., Rautiainen P. et al. Effects of summer grazing by reindeer on composition of vegetation, productivity and nitrogen cycling // Ecography. 2001. V. 24. № 1. P. 13–24. https://doi.org/10.1034/j.1600-0587.2001.240103.x
- Иванова К.В. Динамика индекса NDVI для разных классов территориальных единиц растительности типичных тундр // Современные проблемы дистанционного зондирования Земли из космоса. 2019. Т. 16. № 5. С. 194–202. https://doi.org/10.21046/2070-7401-2019-16-5-194-202
- Bråthen K.A., Ravolainen V.T., Stien A. et al. Rangifer management controls a climate-sensitive tundra state transition // Ecol. Appl. 2017. V. 27. № 8. P. 2416–2427. https://doi.org/10.1002/eap.1618
- Головатин М.Г., Морозова Л.М., Пасхальный С.П., Эктова С.Н. Изменения растительности и животного населения в тундрах Ямала под воздействием интенсивного выпаса домашних оленей // Вестник Саратовского гос. агр. ун-та. 2008. № 9. С. 13–18.
- Морозова Л.М., Эктова С.Н. Растительный покров северной части Приуральского района ЯНАО (от р. Кара до берега Байдарацкой губы) // Научный вестник ЯНАО. 2010. № 1(64). С. 3–25.
- Богданов В.Д., Головатин М.Г., Морозова Л.М., Эктова С.Н. Социально-экологические условия промышленного освоения полуострова Ямал // Экономика региона. 2012. № 3(31). С. 141–150.
- Логинов В.Г., Игнатьева М.Н., Балашенко В.В. Вред, причиненный ресурсам традиционного природопользования, и его экономическая оценка // Экономика региона. 2017. Т. 13. № 2. С. 396–409. https://doi.org/10.17059/2017-2-6
- Кряжимский Ф.В., Маклаков К.В., Морозова Л.М., Эктова С.Н. Системный анализ биогеоценозов полуострова Ямал: имитационное моделирование воздействия крупностадного оленеводства на растительный покров // Экология. 2011. № 5. С. 323–333.
- Атлас Ямало-Ненецкого автономного округа. Омск: “Омская картографическая фабрика”, 2004. 303 с.
- Веселкин Д.В., Морозова Л.М., Горбунова А.М. Снижение значений NDVI в южных тундрах Ямала в 2001–2018 гг. коррелирует с численностью домашних северных оленей // Современные проблемы дистанционного зондирования Земли из космоса. 2021. Т. 18. № 2. С. 143–155. https://doi.org/10.21046/2070-7401-2021-18-2-143-155
- Зуев С.М. Проблемы устойчивого развития оленеводства в Ямало-Ненецком автономном округе // Россия в глобальном мире. 2016. № 9(32). С. 173–187.
- Деттер Г.Ф. Экономика северного оленеводства Ямала: проблемы и возможности // Научный вестник ЯНАО. 2017. № 4(97). С. 4–16.
- Лавренко Е.М., Корчагин А.А. Полевая геоботаника. Л.: Изд-во АН СССР, 1959. Т. 1. 444 с.
- Баскин Л.М. Северный олень. Управление поведением и популяциями. Оленеводство. Охота. М.: Тов-во научн. изд. КМК, 2009. 284 с.
- Базилевич Н.И. Биологическая продуктивность экосистем Северной Евразии. М.: Наука, 1993. 293 с.
Supplementary files






