Theory of Generation of Anomalous Scattering Spectra in Not-Dense Plasma under Conditions of Electron Cyclotron Microwave Heating at the Second Resonance Harmonic
- Authors: Gusakov E.Z.1, Popov A.Y.1
-
Affiliations:
- Ioffe Institute, Russian Academy of Sciences
- Issue: Vol 49, No 2 (2023)
- Pages: 128-142
- Section: INTERACTION OF WAVES WITH PLASMA
- URL: https://medbiosci.ru/0367-2921/article/view/139514
- DOI: https://doi.org/10.31857/S036729212260114X
- EDN: https://elibrary.ru/NQNPVK
- ID: 139514
Cite item
Full Text
Abstract
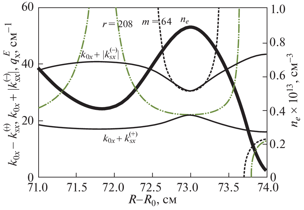
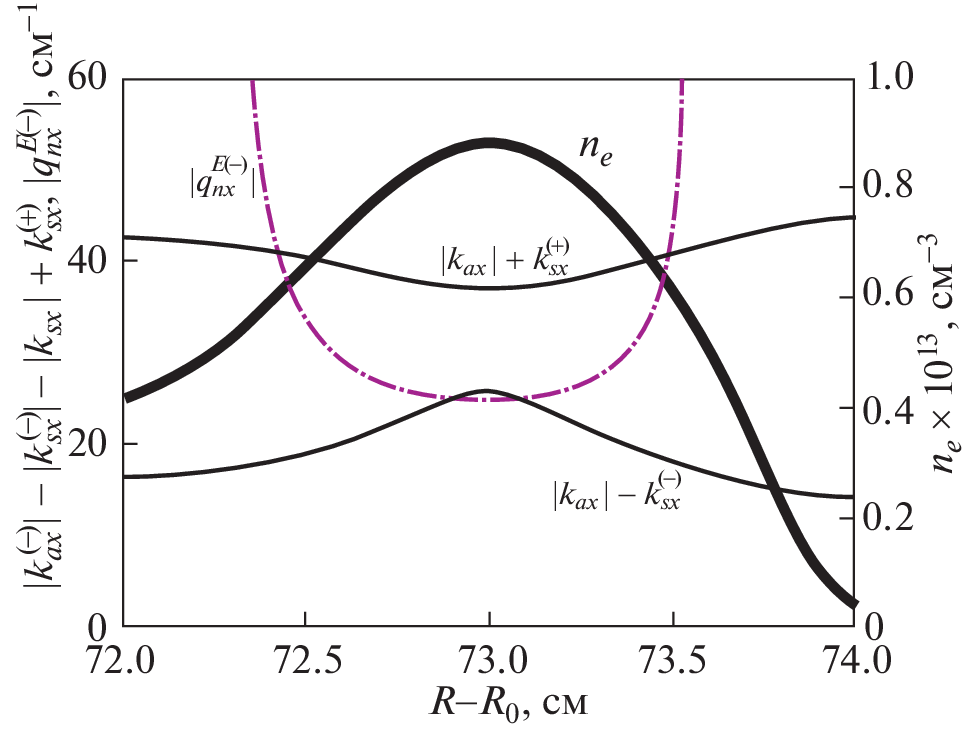
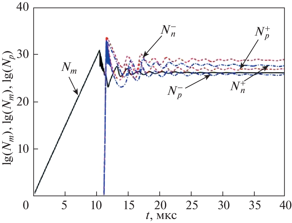
The mechanisms are discussed for generation of frequency spectra of anomalous scattering in not-dense plasma during microwave heating using the extraordinary wave at the second resonance harmonic. The developed theory is used to interpret the results of experiments on electron cyclotron resonance heating (ECHR) of plasma in the Wendelstein 7-X stellarator, in which both the Stokes and anti-Stokes frequency bands were observed, shifted up and down with respect to the microwave frequency. The explanation is given for the paradoxical excess of the amplitude of the anti-Stokes spectral component over the Stokes component amplitude, which was observed in a number of experiments.
About the authors
E. Z. Gusakov
Ioffe Institute, Russian Academy of Sciences
Email: a.popov@mail.ioffe.ru
194021, St. Petersburg, Russia
A. Yu. Popov
Ioffe Institute, Russian Academy of Sciences
Author for correspondence.
Email: a.popov@mail.ioffe.ru
194021, St. Petersburg, Russia
References
- Westerhof E., Nielsen S.K., Oosterbeek J.W., Salew-ski M., de Baar M.R., Bongers W.A., Bürger A., Hen-nen B.A., Korsholm S.B., Leipold F., Moseev D., Stej-ner M., Thoen D.J. // Phys. Rev. Lett. 2009 . V. 103. P. 125001.
- Nielsen S.K., Salewski M., Westerhof E., Bongers W., Korsholm S.B., Leipold F., Oosterbeek J.W., Moseev D., Stejner M. // Plasma Phys. Control. Fusion. 2013. V. 55. P. 115003.
- Gusakov E.Z., Popov A.Yu. // Physics of Plasmas. 2016. V. 23. P. 082503.
- Popov A.Yu., Gusakov E.Z. // Plasma Phys. Control. Fusion. 2015. V. 57. P. 025022.
- Popov A. Yu., Gusakov E.Z. // Europhys. Lett. 2016. V. 116. P. 45002.
- Gusakov E.Z., Popov A.Yu. // Phys. Usp. 2020. V. 63. P. 365.
- Kantor M.Yu., Donne A.J.H., Jaspers R., van der Mei-den H. and TEXTOR Team // Plasma Phys. Control. Fusion. 2009. V. 51. P. 055002.
- Senstius M.G., Nielsen S.K. and Vann R.G.L. // Plasma Phys. Control. Fusion. 2021. V. 63. P. 065018.
- Hansen S.K., Jacobsen A.S., Willensdorfer M., Niel-sen S.K., Stober J., Höfler K., Maraschek M., Fischer R., Dunne M., the EURO fusion MST team and the ASDEX Upgrade team // Plasma Phys. Control. Fusion. 2021. V. 63. P.095002.
- Gusakov E.Z., Popov A.Yu. and Tretinnikov P.V. // Nucl. Fusion. 2019. V. 59. P. 106040.
- Hansen S.K., Nielsen S.K., Stober J., Rasmussen J., Stejner M., Hoelzl M., Jensen T. and the ASDEX Upgrade team // Nucl. Fusion. 2020. V. 60. P. 106008.
- Tancetti A., Nielsen S.K., Rasmussen J., Gusakov E.Z., Popov A.Y., Moseev D., Stange T., Senstius M.G., Kil-ler C., Vecsei M., Jensen T., Zanini M., Abramovic I., Stejner M., Anda G., Dunai D., Zoletnik S., Laqua H. // Nuclear Fusion. 2022. V. 62. P. 074003.
- Tancetti A. private communication
- Arkhipenko V.I., Budnikov V.N., Gusakov E.Z., Pisarev V.A., Simonchik L.V. // Plasma Physics and Controlled Fusion. 1998. V. 40. P. 215–231.
- Гусаков Е.З., Попов А.Ю. // Письма ЖЭТФ. 2010. V. 91. P. 724.
- Gusakov E.Z., Popov A.Yu. // Phys. Rev. Lett. 2010. V. 105. P. 115003.
- Gusakov E.Z., Popov A.Yu. // Plasma Phys. Control. Fusion. 2021. V. 63. P. 125017.
- Piliya A.D., Popov A.Yu. // Plasma Phys. Control. Fusion. 2002. V. 44. P. 467.
- Gusakov E.Z., Popov A.Yu. // Nucl. Fusion. 2020. V. 60. P. 076018.
- Гусаков Е.З., Попов А.Ю. // Физика плазмы. 2022. Т. 48. С. 306–316.
- Donne A.J.H., van Gorkom J.C., Udintsev V.S., Domier C.W., Krämer-Flecken A., Luhmann Jr. N.C., Schüller F.C.// Phys. Rev. Lett. 2005. V. 94. P. 085001.
- Vermare L., Clairet F., Heuraux S., Lecler G. // Plasma Phys. Control. Fusion. 2005. V. 47. P. 1895.
- Kornev V.A., Askinazi L.G., Vildzhyunas M.I., Go-lant V.E., Zhubr N.A., Krikunov S.V., Lebedev S.V., Rozhdestvenskii V.V., Tukachinskii A.S. // Plasma Phys. Rep. 2005. V. 31. P. 803.
- Krämer-Flecken A., Han X., Windisch T., Cosfeld J., Drews P., Fuchert G., Geiger J., Grulke O., Killer C., Knieps A., Liang Y., Liu S., Rack M. and the W7-X team et al. // Plasma Phys. Control. Fusion. 2019. V. 61. P. 054003.
- Popov A.Y., Nagovitsin A., Gusakov E.Z. // Plasma Phys. Control. Fusion. 2022. V. 64. P. 105005.
Supplementary files

















