On the Concept of Plasma Mass-Separation in Crossed E × B Fields with a Potential Well (a Review)
- Authors: Liziakin G.D.1, Timirkhanov R.A.1, Smirnov V.P.1, Oiler A.P.1,2, Melnikov A.D.1,2, Kuzmichev S.D.1,2, Kislenko S.A.1, Gavrikov A.V.1, Vorona N.A.1, Antonov N.N.1, Usmanov R.A.1
-
Affiliations:
- Joint Institute for High Temperatures of the Russian Academy of Sciences
- Moscow Institute of Physics and Technology (National Research University)
- Issue: Vol 49, No 3 (2023)
- Pages: 278-287
- Section: LOW TEMPERATURE PLASMA
- URL: https://medbiosci.ru/0367-2921/article/view/139521
- DOI: https://doi.org/10.31857/S0367292122600832
- EDN: https://elibrary.ru/MYQMFX
- ID: 139521
Cite item
Full Text
Abstract
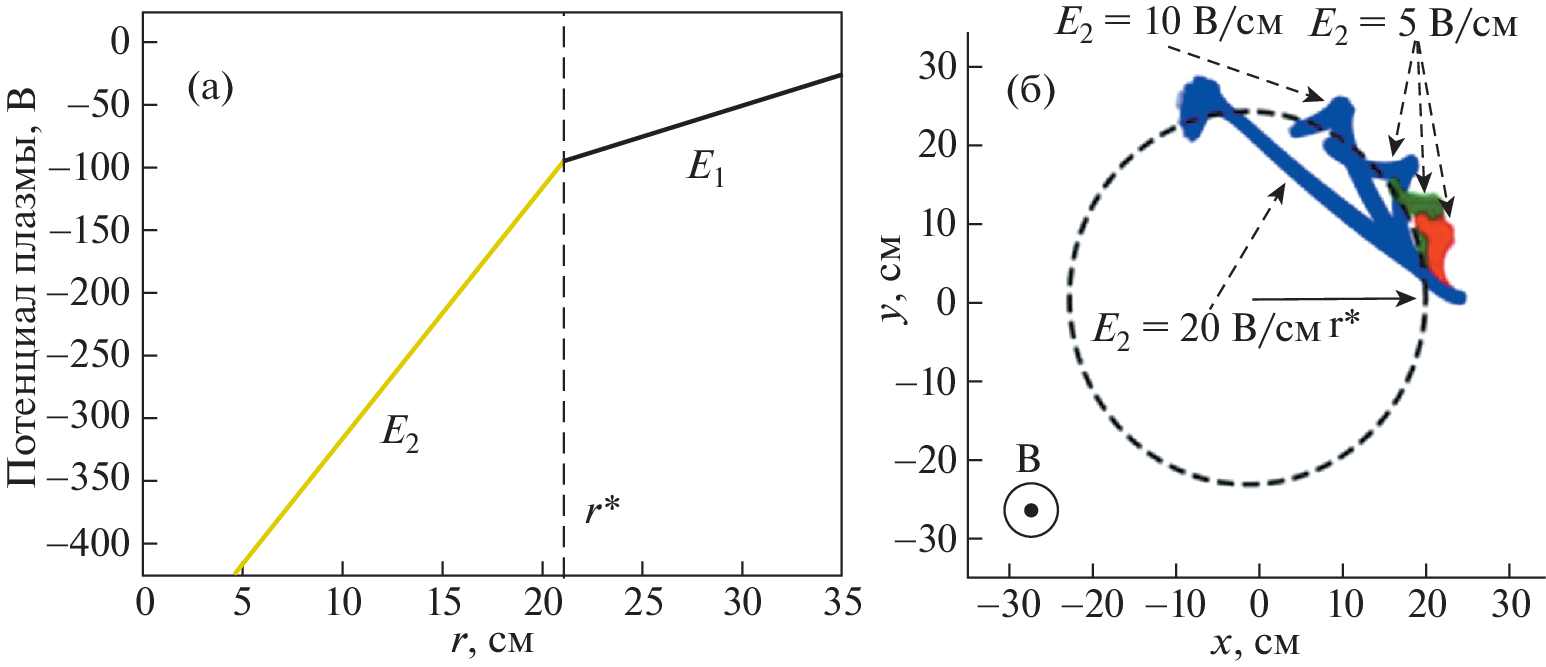
One of the relevant tasks of nuclear power industry is the reprocessing of spent nuclear fuel. Such processing implies the separation of actinides from uranium fission products. One of the processing methods can be plasma mass separation. In the last 10 years, research aimed at the development of various aspects related to plasma mass separation has been actively conducted at the Joint Institute for High Temperatures of the Russian Academy of Sciences. The article provides an overview of the main results of these studies in four areas: numerical calculations and analysis of separation schemes; generation of background plasma and formation of plasma potential distribution; plasma source for injection of a mixture of separated substances; and demonstration of the model substances separation.
About the authors
G. D. Liziakin
Joint Institute for High Temperatures of the Russian Academy of Sciences
Email: glizyakin@gmail.com
127412, Moscow, Russia
R. A. Timirkhanov
Joint Institute for High Temperatures of the Russian Academy of Sciences
Email: glizyakin@gmail.com
127412, Moscow, Russia
V. P. Smirnov
Joint Institute for High Temperatures of the Russian Academy of Sciences
Email: glizyakin@gmail.com
127412, Moscow, Russia
A. P. Oiler
Joint Institute for High Temperatures of the Russian Academy of Sciences; Moscow Institute of Physics and Technology (National Research University)
Email: glizyakin@gmail.com
127412, Moscow, Russia; 141700, Dolgoprudny, Russia
A. D. Melnikov
Joint Institute for High Temperatures of the Russian Academy of Sciences; Moscow Institute of Physics and Technology (National Research University)
Email: glizyakin@gmail.com
127412, Moscow, Russia; 141700, Dolgoprudny, Russia
S. D. Kuzmichev
Joint Institute for High Temperatures of the Russian Academy of Sciences; Moscow Institute of Physics and Technology (National Research University)
Email: glizyakin@gmail.com
127412, Moscow, Russia; 141700, Dolgoprudny, Russia
S. A. Kislenko
Joint Institute for High Temperatures of the Russian Academy of Sciences
Email: glizyakin@gmail.com
127412, Moscow, Russia
A. V. Gavrikov
Joint Institute for High Temperatures of the Russian Academy of Sciences
Email: glizyakin@gmail.com
127412, Moscow, Russia
N. A. Vorona
Joint Institute for High Temperatures of the Russian Academy of Sciences
Email: glizyakin@gmail.com
127412, Moscow, Russia
N. N. Antonov
Joint Institute for High Temperatures of the Russian Academy of Sciences
Email: glizyakin@gmail.com
127412, Moscow, Russia
R. A. Usmanov
Joint Institute for High Temperatures of the Russian Academy of Sciences
Author for correspondence.
Email: glizyakin@gmail.com
127412, Moscow, Russia
References
- Алексеев П.Н., Алексеев С.В., Андрианова Е.А., Асмолов В.Г., Декусар В.М., Зродников А.В., Каграма-нян В.С., Колтун О.В., Павлов А.С., Пономарев-Степной Н.Н., Субботин С.А., Темишев Р.Р., Теп-лов П.С., Усанов В.И., Цибульский В.Ф. Двухкомпонентная ядерная энергетическая система с тепловыми и быстрыми реакторами в замкнутом ядерном топливном цикле. М.: Техносфера, 2016.
- Рачков В.И., Поплавский В.М., Цибуля А.М., Багдасаров Ю.Е., Васильев Б.А., Каманин Ю.Л., Осипов С.Л., Кузавков Н.Г., Ершов В.Н., Аширметов М.Р. // Атомная энергия. 2010. Т. 108. С. 201. https://doi.org/10.1007/s10512-010-9286-z
- Драгунов Ю.Г., Лемехов В.В., Смирнов В.С., Чернецов Н.Г. // Атомная энергия. 2012. Т. 113. С. 58. https://doi.org/10.1007/s10512-012-9597-3
- Воронцова О.В., Гольцов А.Е., Молоканов Н.А., Оценка стоимости оборудования зданий реактора, машинного зала и АСУ ТП АЭС ПЭК с РУ БР-1200 Научно-технический годовой отчет Научно-исследовательский и конструкторский институт энерготехники им. Н.А. Доллежаля. 2017. Москва, С. 262.
- Адамов Е.О., Лопаткин А.В., Муравьев Е.В., Рачков В.И., Хомяков Ю.С. // Известия Российской академии наук. Энергетика. 2019. Т. 1. С. 3. https://doi.org/10.1134/S0002331019010035
- Шадрин А.Ю., Двоеглазов К.Н., Иванов В.Б., Волк В.И., Шаталов В.В. // ВАНТ. Серия: Материаловедение и новые материалы. 2014. Т. 76. С. 69.
- Долголенко Д.А., Муромкин Ю.А. // УФН. 2017. Т. 187. С. 1071. https://doi.org/10.3367/UFNr.2016.12.038016
- Zweben S.J., Gueroult R., Fisch N.J. // Phys. Plasmas. 2018. T. 25. C. 090901. https://doi.org/10.1063/1.5042845
- Смирнов В.П., Самохин А.А., Гавриков А.В., Кузьмичев С.Д., Усманов Р.А., Ворона Н.А. // Физика плазмы. 2019. Т. 45. С. 452. https://doi.org/10.1134/S0367292119050123
- Koning A., Forrest R., Kellett M., Mills R., Henriksson H., Rugama Y., JEFF Report 21, Nuclear energy agency organisation for economic co-operation and development, Paris, France, 2006, ISBN 92-64-02314-3.
- Paperny V.L., Krasov V.I., Lebedev N.V., Astrakchan-tsev N.V. // Plasma Sources Sci. Technol. 2011. T. 20. C. 35005. https://doi.org/10.1088/0963-0252/20/3/035005
- Timofeev A.V. // Plasma Phys. Rep. 2000. T. 26. C. 626. https://doi.org/10.1134/1.952900
- Fetterman A.J., Fisch N.J. // Phys. Plasmas. 2011. T. 18. C. 94503. https://doi.org/10.1063/1.3631793
- Gueroult R., Fisch N.J. // Phys. Plasmas. 2012. T. 19. C. 122503. https://doi.org/10.1063/1.4771674
- Gueroult R., Fisch N.J. // Plasma Sources Sci. Technol. 2014. T. 23. C. 35002. https://doi.org/10.1088/0963-0252/23/3/035002
- Жильцов В.А., Кулыгин В.М., Семашко Н.Н., Сковорода А.А., Смирнов В.П., Тимофеев А.В., Кудряв-цев Е.Г., Рачков В.И., Орлов В.В. // Атомная энергия. 2006. Т. 104. С. 302.
- Тимофеев А.В. // УФН. 2014. Т. 184. С. 1101. https://doi.org/10.3367/UFNr.0184.201410g.1101
- Тимофеев А.В. // Физика плазмы. 2007. Т. 33. С. 971. https://doi.org/10.1134/S1063780X07110025
- Muromkin Y.A. // J. Energy Power Eng. 2013. T. 7. C. 306.
- La Fontaine A.C., Louvet P., Le Gourrierec P., Pail-loux A. // J. Phys. D. Appl. Phys. 1998. T. 31. C. 847. https://doi.org/10.1088/0022-3727/31/7/014
- Ковтун Ю.В., Скибенко Е.И., Скибенко А.И., Ла-рин Ю.В., Юферов В.Б. // ЖТФ. 2011. Т. 81 (5). С. 35. https://doi.org/10.1134/S1063784211050197
- Borisevich V.D., Potanin E.P. // Phys. Scr. 2017. T. 92. C. 75601. https://doi.org/10.1088/1402-4896/aa71d2
- Borisevich V., Potanin E., Whichello J.V. // IEEE Trans. Plasma Sci. 2020. T. 48. C. 3472. https://doi.org/10.1109/TPS.2020.3023799
- Долголенко Д.А., Муромкин Ю.А. // УФН. 2009. Т. 179. С. 369.
- Grossman M.W., Shepp T.A. // IEEE Trans. Plasma Sci. 1991. T. 19. C. 1114. https://doi.org/10.1109/27.125034
- Gueroult R., Zweben S.J., Fisch N.J., Rax J.-M. // Phys. Plasmas. 2019. T. 26. C. 43511. https://doi.org/10.1063/1.5083229
- Gueroult R., Rax J.-M., Fisch N.J. // Phys. Plasmas. 2014. T. 21. C. 20701. https://doi.org/10.1063/1.4864325
- Ohkawa T. and Miller R.L. // Phys. Plasmas. 2002. T. 9. C. 5116. https://doi.org/10.1063/1.1523930
- Gilleland J., Agnew S., Cluggish B., Freeman R., Mil-ler R., Putvinski S., Sevier L., Umstadter K. // Proc. to Waste Management Conference, Tucson, USA, 2002.
- Смирнов В.П., Самохин А.А., Ворона Н.А., Гаври-ков А.В. // Физика плазмы. 2013. Т. 39. С. 523. https://doi.org/10.7868/S0367292113050107
- Строкин Н.А., Бардаков В.М. // Физика плазмы. 2019. Т. 45. С. 51. https://doi.org/10.1134/S0367292119010141
- Morozov A.I. Introduction to Plasma Dynamics. Boca Raton, USA: CRC Press, 2012.
- Gueroult R., Rax J.-M., Fisch N.J. // Phys. Plasmas. 2019. T. 26. C. 122106. https://doi.org/10.1063/1.5126083
- Самохин А.А., Смирнов В.П., Гавриков А.В., Воро-на Н.А. // ЖТФ. 2016. Т. 86. С. 127. https://doi.org/10.1134/S1063784216020298
- Samokhin A., Gavrikov A., Kuzmichev S., Timirkha-nov R., Vorona N., Smirnov V., Usmanov R. // IEEE Trans. Plasma Sci. 2019. T. 47. C. 1546. https://doi.org/10.1109/TPS.2019.2897146
- Смирнов В.П., Гавриков А.В., Сидоров В.С., Тараканов В.П., Тимирханов Р.А., Кузьмичев С.Д., Усма-нов Р.А., Ворона Н.А. // Физика плазмы. 2018. Т. 55. С. 961. https://doi.org/10.1134/S0367292118120120
- Gavrikov A.V., Sidorov V.S., Smirnov V.P., Taraka-nov V.P. // J. Phys.: Conf. Ser. 2019. T. 1147 C. 012132. https://doi.org/10.1088/1742-6596/1147/1/012132
- Smirnov V.S., Egorov R.O., Kislenko S.A., Antonov N.N., Smirnov V.P., Gavrikov A.V. // Phys. Plasmas. 2020. T. 27. C. 113503. https://doi.org/10.1063/5.0020001
- Vorona N.A., Gavrikov A.V., Kuzmichev S.D., Lizia-kin G.D., Melnikov A.D., Murzaev Y.A., Smirnov V.P., Timirkhanov R.A., Usmanov R.A. // IEEE Trans. Plasma Sci. 2019. T. 47. C. 1223. https://doi.org/10.1109/TPS.2018.2890341
- Мельников А.Д., Усманов Р.А., Ворона Н.А., Гаври-ков А.В., Лизякин Г.Д., Смирнов В.П., Тимирха-нов Р.А. // Ядерная физика и инжиниринг. 2018. Т. 9. С. 117. https://doi.org/10.1134/S2079562917060185
- Melnikov A.D., Usmanov R.A., Gavrikov A.V., Lizia-kin G.D., Smirnov V.P., Timirkhanov R.A., Vorona N.A. // J. Phys.: Conf. Ser. 2019. T. 1147. C. 012131. https://doi.org/10.1088/1742-6596/1147/1/012131
- Гавриков А.В., Ворона Н.А., Кузьмичев С.Д., Лизя-кин Г.Д., Тимирханов Р.А. // Вестник ОИВТ РАН. 2019. Т. 3. С. 10. https://doi.org/10.33849/2019202
- Liziakin G.D., Gavrikov A.V., Murzaev Y.A., Usma-nov R.A., Smirnov V.P. // Phys. Plasmas. 2016. T. 23. C. 123502.
- Liziakin G., Gavrikov A., Usmanov R., Timirkhanov R., Smirnov V. // AIP Adv. 2017. T. 7. C. 125108. https://doi.org/10.1063/1.4998806
- Liziakin G., Gavrikov A., Smirnov V. // Plasma Sources Sci. Technol. 2020. T. 29. C. 15008. https://doi.org/10.1088 / 1361-6595 / ab5ad5
- Liziakin G., Oiler A., Gavrikov A., Antonov N., Smir-nov V. // J. Plasma Phys. 2021. T. 87. C. 905870414. https://doi.org/10.1017/S0022377821000829
- Ворона Н.А., Гавриков А.В., Самохин А.А., Смир-нов В.П., Хомяков Ю.С. // Ядерная физика и инжиниринг. 2014. Т. 5. С. 944. https://doi.org/10.1134/S2079562914090176
- Полищук В.П., Усманов Р.А., Мельников А.Д., Ворона Н.А., Ярцев И.М., Амиров Р.Х., Гавриков А.В., Лизякин Г.Д., Самойлов И.С., Смирнов В.П., Анто-нов Н.Н. // ТВТ. 2020. Т. 58. С. 515. https://doi.org/10.31857/S0040364420040122
- Amirov R.K., Gavrikov A.V., Liziakin G.D., Poli-shchuk V.P., Samoylov I.S., Smirnov V.P., Usmanov R.A., Vorona N.A., Yartsev I.M. // IEEE Trans. Plasma Sci. 2017. T. 45. C. 140. https://doi.org/10.1109/TPS.2016.2634627
- Volkov L.S., Babaeva N.Y., Antonov N.N. // J. Phys. D. Appl. Phys. 2021. T. 54. C. 105202. https://doi.org/10.1088/1361-6463/abc715
- Амиров Р.Х., Ворона Н.А., Гавриков А.В., Лизя-кин Г.Д., Полищук В.П., Самойлов И.С., Смирнов В.П., Усманов Р.А., Ярцев И.М. // Ядерная физика и инжиниринг. 2014. Т. 5. С. 952. https://doi.org/10.1134/S2079562914090024
- Амиров Р.Х., Ворона Н.А., Гавриков А.В., Лизякин Г.Д., Полищук В.П., Самойлов И.С., Смирнов В.П., Усманов Р.А., Ярцев И.М. // Физика плазмы. 2015. Т. 41. С. 877. https://doi.org/10.7868/S0367292115100017
- Мельников А.Д., Усманов Р.А., Амиров Р.Х., Анто-нов Н.Н., Гавриков А.В., Лизякин Г.Д., Полищук В.П., Смирнов В.П. // Физика плазмы. 2020. Т. 46. С. 510. https://doi.org/10.31857/S0367292120060050
- Usmanov R.A., Amirov R.K., Gavrikov A.V., Lizia-kin G.D., Polistchook V.P., Samoylov I.S., Smirnov V.P., Vorona N.A., Yartsev I.M. // Phys. Plasmas. 2018. T. 25. C. 063524. https://doi.org/10.1063/1.5037674
- Usmanov R.A., Amirov R. K., Gavrikov A.V., Liziakin G.D., Melnikov A.D., Polistchook V.P., Samoylov I.S., Smir-nov V.P., Vorona N.A., Yartsev I.M. // Plasma Sources Sci. Technol. 2020. T. 29. C. 015004. https://doi.org/10.1088 / 1361-6595 / ab5f33
- Антонов Н.Н., Ворона Н.А., Гавриков А.В., Само-хин А.А., Смирнов В.П. // ЖТФ. 2016. Т. 86 (2). С. 23. https://doi.org/10.1134/S1063784216020031
- Антонов Н.Н., Гавриков А.В., Самохин А.А., Смир-нов В.П. // Ядерная физика и инжиниринг. 2015. Т. 6. С. 601. https://doi.org/10.1134/S2079562915060020
- Antonov N.N., Usmanov R.A., Gavrikov A.V., Smir-nov V.P. // J. Phys.: Conf. Ser. 2019. T. 1147. C. 12133. https://doi.org/10.1088/1742-6596/1147/1/012133
- Antonov N., Liziakin G., Usmanov R., Gavrikov A., Voro-na N., Smirnov V. // Phys. Plasmas. 2018. T. 25. C. 123506. https://doi.org/10.1063/1.5050883
- Liziakin G., Antonov N., Usmanov R., Melnikov A., Timirkhanov R., Vorona N., Smirnov V.S., Oiler A., Kislenko S., Gavrikov A., Smirnov V.P. // Plasma Phys. Control. Fusion. 2021. T. 63. C. 032002. https://doi.org/10.1088/1361-6587/abd25e
- Liziakin G., Antonov N., Smirnov V.S., Timirkhanov R., Oiler A., Usmanov R., Melnikov A., Vorona N., Kislenko S., Gavrikov A., Smirnov V.P. // J. Phys. D. Appl. Phys. 2021. T. 54. C. 414005. https://doi.org/10.1088/1361-6463/ac128e
- Liziakin G., Antonov N., Gavrikov A., Oiler A., Melni-kov A., Smirnov V., Timirkhanov R., Usmanov R., Vol-kov L., Vorona N. // Proc. Plasma Processing and Thechnology, Barcelona, Spain, 2022. C. 142.
- Usmanov R., Antonov N., Gavrikov A., Liziakin G., Melnikov A., Oiler A., Smirnov V., Timirkhanov R., Vol-kov L., Vorona N. // Plasma Sci. Technol. 2022. T. 24. C. 085504. https://doi.org/10.1088/2058-6272/ac62a8
- Акопов Ф.А., Боровкова Л.Б. // ТВТ. 2011. Т. 49. С. 893. https://doi.org/10.1134/S0018151X11060022
- Oiler A.P., Liziakin G.D., Gavrikov A.V., Smirnov V.P. // Molecules. 2022. T. 27. C. 6824. https://doi.org/10.3390/molecules27206824
Supplementary files












