Dynamics of Discharge Development in a Homogeneous DC Field Initiated by a Plasma Filament Created by a Femtosecond Laser Pulse
- Authors: Bogatov N.A.1, Stepanov A.N.1
-
Affiliations:
- Institute of Applied Physics, Russian Academy of Sciences
- Issue: Vol 49, No 2 (2023)
- Pages: 198-205
- Section: LOW TEMPERATURE PLASMA
- URL: https://medbiosci.ru/0367-2921/article/view/139534
- DOI: https://doi.org/10.31857/S036729212260128X
- EDN: https://elibrary.ru/NQMZQB
- ID: 139534
Cite item
Full Text
Abstract
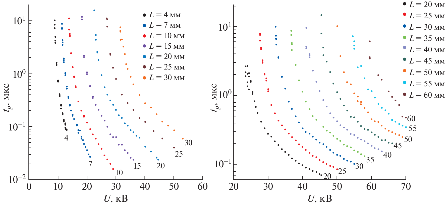
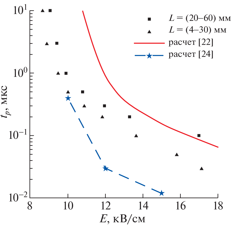
Dynamics of a discharge in a constant quasi-homogeneous electric field initiated by a plasma filament created by a femtosecond laser pulse is studied experimentally. The time of development of the initiated discharge (the time delay of discharge onset relative to the laser pulse) is measured as a function of magnitude of the constant electric field in the plasma filament. The obtained experimental dependence is compared with the results of numerical simulations of the discharge in the filament.
About the authors
N. A. Bogatov
Institute of Applied Physics, Russian Academy of Sciences
Email: bogatov@appl.sci-nnov.ru
603950, Nizhny Novgorod, Russia
A. N. Stepanov
Institute of Applied Physics, Russian Academy of Sciences
Author for correspondence.
Email: bogatov@appl.sci-nnov.ru
603950, Nizhny Novgorod, Russia
References
- Houard A., Walch P., Produit T., Moreno V., Mahieu B., Sunjerga A., Herkommer C., Mostajabi A., Andral U., André Y.-B., Lozano M., Bizet L., Schroeder M.C., Schimmel G., Moret M., Stanley M., Rison W.A., Maurice O., Esmiller B., Michel K., Haas W., Metzger T., Rubinstein M., Rachidi F., Cooray V., Mysyrowicz A., Kasparian J., Wolf J.-P., arXiv:2207.03769 [physics.optics], (2022), https: //doi.org/https://doi.org/10.48550/arXiv.2207.03769
- Produit T., Walch P., Herkommer C., Mostajabi A., Mo-ret M., Andral U., Sunjerga A., Azadifar M., Andr´e Y.-B., Mahieu B., Haas W., Esmiller B., Fournier G., Krotz P., Metzger T., Michel K., Mysyrowicz A., Rubinstein M., Rachidi F., Kasparian J., Wolf J.-P., Houard A. // Eur. Phys. J. Appl. Phys. 2020. V. 92. 30501. https://doi.org/10.1051/epjap/2020200243
- Kasparian J., Ackermann R., Andre Y.-B., Mechain G., Mejean G., Prade B., Rohwetter P., Salmon E., Stelmszczyk K., Yu J., Mysyrowicz A., Sauerbrey R., Woste L., Wolf J.-P. // Optics E [hress. 2008. V. 16. № 8. P. 5757. https://doi.org/10.1364/OE.16.005757
- Comtois D., Chien C.Y., Desparois A., Genin F., Jarry G., Johnston T.W., Kieffer J.-C., La Fontaine B., Martin F., Mawassi R., Pepin H., Rizk F.A.M., Vidal F. // Appl. Phys. Lett. 2000. V. 76. P. 819.https://doi.org/10.1063/1.125595
- La Fontaine B., Comtois D., Chien C.-Y., Desparois A., Genin F., Jarry G., Johnston T., Kieffer J.-C., Martin F., Mawassi R., Pepin H., Rizk F.A.M., Vidal F. // J. Appl. Phys. 2000. V. 88. P. 610.https://doi.org/10.1063/1.373710
- Pépin H., Comtois D., Vidal F., Chien C.-Y., Desparois A., Johnston T.W., Kieffer J.C., La Fontaine B., Martin F., Rizk F.A.M., Potvin C., Couture P., Mercure H.P., Bondiou-Clergerie A., Lalande P., Gallimberti I. // Phys. Plasmas 2001. V. 8. P. 2532.https://doi.org/10.1063/1.1342230
- Tzortzakis S., Prade B., Franco M., Mysyrowicz A. // Phys. Rev. 2001. E 64. 57401. https://doi.org/10.1103/PHYSREVE.64.057401
- Rodriguez M., Sauerbrey R., Wille H., Wöste L., Fujii T., André Y.-B., Mysyrowicz A., Klingbeil L., Rethmeier K., Kalkner W., Kasparian J., Salmon E., Yu J., Wolf J.-P. // Opt. Lett. 2002. V. 27. P. 772.https://doi.org/10.1063/1.1829165
- Akermann R., Stelmaszczyk K., Rohwetter P., Méjean G., Salmon E., Yu J., Kasparian J., Méchain G., Berg-mann V., Schaper S., Weise B., Kumm T., Rethmeier K., Kalkner W., Wöste L., Wolf J.-P. // Appl. Phys. Lett. 2004. V. 85 (23). P. 5781.https://doi.org/10.1063/1.1829165
- Ackermann R., Méchain G., Méjean G., Bourayou R., Rodriguez M., Stelmaszczyk K., Kasparian J., Yu J., Salmon E., Tzortzakis S., Andre Y.-B., Bourrillon J.-F., Tamin L., Cascelli J.-P., Campo C., Davoise C., Mysyrowicz A., Sauerbrey R., Wöste L., Wolf J.-P. // Appl. Phys. 2006. B 82. P. 561. https://doi.org/10.1007/S00340-005-2061-5
- Méjean G., Ackermann R., Kasparian J., Salmon E., Yu J., Wolf J.-P., Rethmeier K., Kalkner W., Rohwetter P., Stelmaszczyk K., Wöste L. // Appl. Phys. Lett. 2006. V. 88. 021101.https://doi.org/10.1063/1.2162430
- Fujii T., Miki M., Goto N., Zhidkov A., Fukuchi T., Oishi Y., Nemoto K. // Phys. Plasmas. 2008. V. 15. 013107. https://doi.org/10.1063/1.2830647
- Zhang Z., Lu X., Liang W.-X., Hao Z.-Q., Zhou M.-L., Wang Z.-H., Liu X., Zhang J. // Optics Express. 2009. V. 17. № 5. 3461. https://doi.org/10.1364/OE.17.003461
- Liu X., Xin Lu, Zhang Z., Liu X.-L., Ma J.-L., Zhang J. // Optics Communications. 2011. V. 284.5372. https://doi.org/10.1016/J.OPTCOM.2011.07.058
- Forestier B., Houard A., Revel I., Durand M., Andre Y.B., Prade B., Jarnac A., Carbonnel J., Le Neve M., Mis-cault J.C., Esmiller B., Chapuis D., Mysyrowicz A. // AIP Advances. 2012. V. 2.012151.https://doi.org/10.1063/1.3690961
- Ionin A.A., Kudryashov S.I., Levchenko A.O., Selez-nev L.V., Shutov A.V., Sinitsyn D.V., Smetanin I.V., Ustinovsky N.N., Zvorykin V.D. // Appl. Phys. Lett. 2012. V. 100. 104105.https://doi.org/10.1063/1.3691918
- Leonov S.B., Firsov A.A., Shurupov M.A., Michael J.B., Shneider M.N., Miles R.B., Popov N.A. // Phys. Plasmas. 2012. V. 19.123502.https://doi.org/10.1063/1.4769261
- Henriksson M., Daigle J.-F., Théberge F., Château-neuf M., Dubois J. // Optics Express. 2012. V. 20. 12.12721. https://doi.org/10.1364/OE.20.012721
- Arantchouk L., Point G., Brelet Y., Prade B., Carbonnel J., Yves-Bernard Andre, Andre Mysyrowicz, Aurelien Houard // J. Appl. Phys. 2014. V. 116.013303. https://doi.org/10.1063/1.4886582
- Théberge F., Daigle J.-F., Kieffer J.-C., Vidal F., Châteauneuf M., Scientific Reports. 2017. V. 7 (1). 40063. https://doi.org/10.1038/srep40063
- Desparois A., La Fontaine B., Bondiou-Clergerie A., Chien C.-Y., Comtois D., Johnston T.W., Kieffer J.-C., Mercure H.P., Pépin H., Rizk F.A.M., Vidal F. // EEE Transactions on Plasma Science. 2000. V. 28. 5. https://doi.org/10.1109/27.901264
- Александров Н.Л., Базелян Э.М., Богатов Н.А., Киселев М.А., Степанов А.Н. // Физика плазмы. 2008. Т. 34. № 11. С. 1.
- Bodrov S., Aleksandrov N., Tsarev M., Murzanev A., Kochetov I., Stepanov A. // Phys. Rev. 2013. E 87. 053101.https://doi.org/10.1103/PhysRevE.87.053101
- Petrova Tz.B., Ladouceur H.D., and Baronavski A.P. // Physics of Plasmas. 2008. V. 15. 053501.https://doi.org/10.1063/1.2907787
- Степанов А.Н., Бабин А.А., Киселев А.М., Серге-ев А.М. // Квантовая электроника. 2001. Т. 31. № 7. С. 623.
- Мик Дж., Крэгс Дж., Электрический пробой в газах. М.: Иностранная литература, 1960.
- Corkum P.B. // Phys. Rev. Lett. 1993. V. 71. P. 13.https://doi.org/10.1103/PhysRevLett.71.1994
- Couairon A., Mysyrowicz A. // Physics Reports. 2007. 441. P. 47. https://doi.org/10.1016/J.PHYSREP.2006.12.00
Supplementary files









