О возможности снижения аномального поглощения необыкновенной волны накачки в широком диапазоне плотностей плазмы
- Авторы: Гусаков Е.З.1, Попов А.Ю.1
-
Учреждения:
- Физико-технический институт им. А.Ф. Иоффе РАН
- Выпуск: Том 49, № 8 (2023)
- Страницы: 740-752
- Раздел: ВЗАИМОДЕЙСТВИЕ ВОЛН С ПЛАЗМОЙ
- URL: https://medbiosci.ru/0367-2921/article/view/139567
- DOI: https://doi.org/10.31857/S0367292123600280
- EDN: https://elibrary.ru/HBIJCD
- ID: 139567
Цитировать
Полный текст
Аннотация
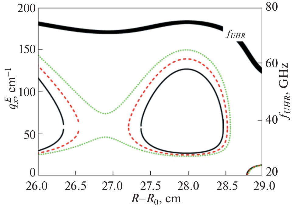
Исследованы последствия эффекта локализации ионных бернштейновских (ИБ) волн, которые возбуждаются при вторичных распадах, сопровождающих низкопороговую параметрическую распадную неустойчивость необыкновенной волны накачки, приводящую к генерации необыкновенной волны и локализованной в плазме верхнегибридной (ВГ) волны. Показано, что обнаруженный эффект приводит к уменьшению как уровня насыщения первичной неустойчивости, так и уровня аномального поглощения волны накачки в экспериментах по электронному циклотронному нагреву плазмы на второй гармонике резонанса.
Об авторах
Е. З. Гусаков
Физико-технический институт им. А.Ф. Иоффе РАН
Email: a.popov@mail.ioffe.ru
Россия, Санкт-Петербург
А. Ю. Попов
Физико-технический институт им. А.Ф. Иоффе РАН
Автор, ответственный за переписку.
Email: a.popov@mail.ioffe.ru
Россия, Санкт-Петербург
Список литературы
- Тимофеев А.В. // УФН. 1973. Т. 110. С. 329–355.
- Тимофеев А.В. // Резонансные явления в колебаниях плазмы. М.: Физматлит, 2000. 224 с.
- Тимофеев А.В. // УФН. 2004. Т. 174. С. 555–582.
- Westerhof E., Nielsen S.K., Oosterbeek J.W., Salew-ski M., de Baar M.R., Bongers W.A., Bürger A., Hen-nen B.A., Korsholm S.B., Leipold F., Moseev D., Stej-ner M., Thoen D.J. // Phys. Rev. Lett. 2009. V. 103. P. 125001.
- Nielsen S.K., Salewski M., Westerhof E., Bongers W., Korsholm S.B., Leipold F., Oosterbeek J.W., Moseev D., Stejner M. // Plasma Phys. Control. Fusion. 2013. V. 55. P. 115003.
- Батанов Г.М., Борзосеков В.Д., Коврижных Л.М., Колик Л.В., Кончеков E.M., Малахов Д.В., Пет-ров A.E., Саркисян K.A., Скворцова Н.Н., Степа-хин В.Д., Харчев К. // Физика плазмы. 2013. Т. 39. С. 511.
- Tancetti A., Nielsen S.K., Rasmussen J., Gusakov E.Z., Popov A.Yu., Moseev D., Stange T., Senstius M.G., Kil-ler C., Vecséi M., Jensen T., Zanini M., Abramovic I., Stejner M., Anda G., Dunai D., Zoletnik S., Laqua H.P. and the W7-X Team // Nucl. Fusion. 2022. V. 62. P. 074003.
- Hansen S.K., Nielsen S.K., Stober J., Rasmussen J., Stejner M., Hoelzl M., Jensen T. and the ASDEX Upgrade team // Nucl.Fusion. 2020. V. 60. P. 106008.
- Zurro B., Baciero A., Tribaldos V., Liniers M., Cappa A., Lopez-Fraguas A., Jimenez-Rey D., Fontdecaba J.M., Nekhaieva O. // Nucl. Fusion. 2013. V. 53. P. 083017.
- Martínez M., Zurro B., Baciero A., Jiménez-Rey D., Tribaldos V. // Plasma Phys. Control. Fusion. 2018. V. 60. P. 025024.
- Dnestrovskij Yu.N., Danilov A.V., Dnestrovskij A.Yu., Lysenko S.E., Melnikov A.V., Nemets A.R., Nurgaliev M.R., Subbotin G.F., Solovev N.A., Sychugov D.Yu., Cherka-sov S.V. // Plasma Phys. Control. Fusion. 2021. V. 63. P. 055012.
- Мещеряков А.И., Вафин И.Ю., Гришина И.А. // Физика плазмы. 2021. V. 47. P. 22.
- Gusakov E.Z., Popov A.Yu. // JETP Letters. 2010. V. 91. P. 655.
- Gusakov E.Z., Popov A.Yu. // Phys. Rev. Lett. 2010. V. 105. P. 115003.
- Gusakov E., Popov A. // Europhys. Lett. 2012. V. 99. P. 15001.
- Gusakov E.Z., Popov A.Yu. // Journal of Experimental and Theoretical Physics. 2015. V. 120. P. 147.
- Popov A.Yu., Gusakov E.Z. // Plasma Phys. Control. Fusion. 2015. V. 57. P. 025022.
- Popov A.Yu., Gusakov E.Z. // Journal of Experimental and Theoretical Physics. 2015. V. 121. P. 362.
- Popov A.Yu., Gusakov E.Z. // Europhys. Lett. 2016. V. 116. P. 45002.
- Popov A.Yu., Gusakov E.Z. // JETP Lett. 2017. V. 105. P. 78.
- Гусаков Е.З., Попов А.Ю. // УФН. 2020. Т. 190. P. 396.
- Gusakov E.Z., Popov A.Yu. // Plasma Phys. Control. Fusion. 2017. V. 59. P. 025005.
- Gusakov E.Z., Popov A.Yu. // Plasma Phys. Control. Fusion. 2018. V. 60. P. 025001.
- Gusakov E.Z., Popov A.Yu. // Physics of Plasmas. 2018. V. 25. P. 012101.
- Gusakov E.Z., Popov A.Yu. // Physics of Plasmas. 2018. V. 25. P. 012101.
- Gusakov E.Z., Popov A.Yu., Saveliev A.N. // Physics of Plasmas. 2018. V. 25. P. 062106.
- Gusakov E.Z., Popov A.Yu. // Physics of Plasmas. 2018. V. 25. P. 082117.
- Gusakov E.Z., Popov A.Yu., Tretinnikov P.V. // Nucl. Fusion. 2019. V. 59. P. 106040.
- Gusakov E.Z., Popov A.Yu. // Nucl.Fusion. 2019. V. 59. P. 104003.
- Gusakov E.Z., Popov A.Yu. // Plasma Phys. Control. Fusion. 2020. V. 62. P. 025028.
- Gusakov E.Z., Popov A.Yu. // Nucl. Fusion. 2020. V. 60. P. 076018.
- Gusakov E.Z., Popov A.Yu. // Plasma Phys. Control. Fusion. 2021. V. 63. P. 015016.
- Gusakov E.Z., Popov A.Yu. // Physics of Plasmas. 2016. V. 23. P. 082503.
- Gusakov E.Z., Popov A.Yu. // Plasma Phys. Control. Fusion. 2021. V. 63. P. 125017.
- Swanson D.G. 2003 Plasma Waves, Bristol: IOP Publishing.
- Piliya A.D., Saveliev A.N. // Plasma Phys. Control. Fusion. 1994. V. 36. P. 2059.
- Abdullaev S.S., Finken K.H., Jakubowski M.W., Kasi-lov S.V., Kobayashi M., Reiser D., Reiter D., Runov A.M., Wolf R. // Nucl. Fusion. 2003. V. 43. P. 299.
- Kantor M.Yu., Donne A.J.H., Jaspers R., van der Mei-den H. and TEXTOR Team // Plasma Phys. Control. Fusion. 2009. V. 51. P. 055002.
- Gusakov E.Z., Popov A.Yu., Tretinnikov P.V. // Plasma Phys. Control. Fusion. 2019. V. 61. P. 085008.
- Гусаков Е.З., Попов А.Ю. // Физика плазмы. 2022. Т. 48. С. 306.
Дополнительные файлы















