Distinctive Features of Anomalous Plasma Radiation in Experiments on Electron Cyclotron Heating Using Extraordinary Wave at the Second Resonance Harmonic in a Wide Density Range
- Authors: Gusakov E.Z.1, Popov A.Y.1
-
Affiliations:
- Ioffe Institute, Russian Academy of Sciences
- Issue: Vol 49, No 8 (2023)
- Pages: 753-764
- Section: PLASMA RADIATION
- URL: https://medbiosci.ru/0367-2921/article/view/139573
- DOI: https://doi.org/10.31857/S0367292123600292
- EDN: https://elibrary.ru/HBSQIW
- ID: 139573
Cite item
Full Text
Abstract
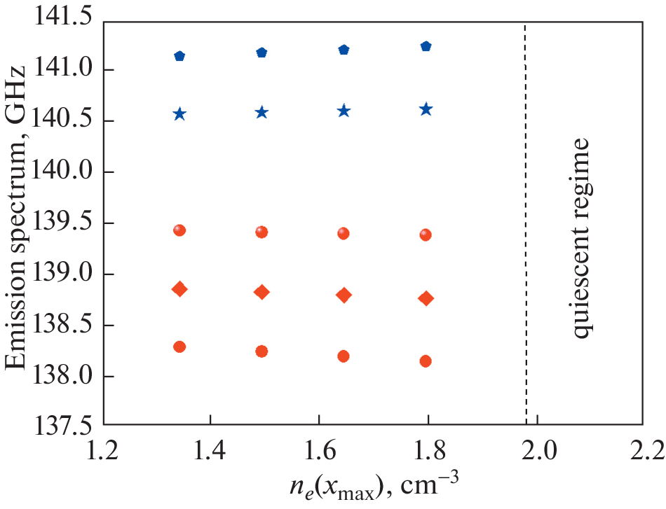
A detailed interpretation of the effect of anomalous radiation is given, which was first observed at the TEXTOR tokamak in experiments on electron cyclotron resonance heating by the extraordinary wave at the second resonance harmonic in a wide range of plasma densities.
About the authors
E. Z. Gusakov
Ioffe Institute, Russian Academy of Sciences
Email: a.popov@mail.ioffe.ru
194021, St. Petersburg, Russia
A. Yu. Popov
Ioffe Institute, Russian Academy of Sciences
Author for correspondence.
Email: a.popov@mail.ioffe.ru
194021, St. Petersburg, Russia
References
- Тимофеев А.В. // УФН. 1973. Т. 110. С. 329.
- Тимофеев А.В. // Резонансные явления в колебаниях плазмы. М.: Физматлит, 2000. 224 с.
- Тимофеев А.В. // УФН. 2004. Т. 174. С. 555.
- Porkolab M., Cohen B.I. // Nucl. Fusion. 1988. V. 28. P. 239.
- Cohen B.I., Cohen R.H., Nevins W.M., Rognlien T.D. // Rev. Mod. Phys. 1991. V. 63. P. 949.
- Westerhof E., Nielsen S.K., Oosterbeek J.W., Salew-ski M., de Baar M.R., Bongers W.A., Bürger A., Hen-nen B.A., Korsholm S.B., Leipold F., Moseev D., Stej-ner M., Thoen D.J. // Phys. Rev. Lett. 2009. V. 103. P. 125001.
- Nielsen S.K., Salewski M., Westerhof E., Bongers W., Korsholm S.B., Leipold F., Oosterbeek J.W., Moseev D., Stejner M. // Plasma Phys. Control. Fusion. 2013. V. 55. P. 115003.
- Батанов Г.М., Борзосеков В.Д., Коврижных Л.М., Колик Л.В., Кончеков E.M., Малахов Д.В., Пет-ров A.E., Саркисян K.A., Скворцова Н.Н., Степа-хин В.Д., Харчев К. // Физика плазмы. 2013. Т. 39. С. 511.
- Hansen S.K., Nielsen S.K., Stober J., Rasmussen J., Stej-ner M., Hoelzl M., Jensen T. // Nucl. Fusion. 2020. V. 60. P. 106008.
- Hansen S.K., Jacobsen A.S., Willensdorfer M., Niel-sen S.K., Stober J., Höfler K., Maraschek M., Fischer R., Dunne M. // Plasma Phys. Control. Fusion. 2021. V. 63. P. 095002.
- Tancetti A., Nielsen S.K., Rasmussen J., Gusakov E.Z., Popov A.Y., Moseev D., Stange T., Senstius M.G., Kil-ler C., Vecsei M., Jensen T., Zanini M., Abramovic I., Stejner M., Anda G., Dunai D., Zoletnik S., Laqua H. // Nuclear Fusion. 2022. V. 62. P. 074003.
- Coda S. for the TCV Team // Nucl. Fusion. 2015. V. 55. P. 104004.
- Zurro B., Baciero A., Tribaldos V., Liniers M., Cappa A., Lopez-Fraguas A., Jimenez-Rey D., Fontdecaba J.M., Nekhaieva O. // Nucl. Fusion. 2013. V. 53. P. 083017.
- Martínez M., Zurro B., Baciero A., Jiménez-Rey D., Tribaldos V. // Plasma Phys. Control. Fusion. 2018. V. 60. P. 025024.
- Vasilkov D.G., Batanov G.M., Berezhetskii M.S., Borzosekov V.D., Grebenshchikov S.E., Kharchev N.K., Khol’nov Yu.V., Kolik L.V., Konchekov E.M., Letu-nov A.A., Logvinenko V.P., Malakhov D.V., Meshcheryakov A.I., Petrov A.E., Sarksyan K.A., Skvortso-va N.N., Stepakhin V.D., Vafin I.Yu. et al. // Proc. 41st EPS Conf. on Plasma Physics. 2014. V. ECA 38F. P4.053.
- Мещеряков А.И., Вафин И.Ю., Гришина И.А. // Физика плазмы. 2021. Т. 47. С. 22.
- Dnestrovskij Yu.N., Danilov A.V., Dnestrovskij A.Yu., Lysenko S.E., Melnikov A.V., Nemets A.R., Nurgaliev M.R., Subbotin G.F., Solovev N.A., Sychugov D.Yu., Cherka-sov S.V. // Plasma Phys. Control. Fusion. 2021. V. 63. P. 055012.
- Angioni C., Peeters A.G., Garbet X., Manini A., Ryter F. // Nucl. Fusion. 2004. V. 44. P. 827.
- Kantor M.Yu., Donne A.J.H., Jaspers R., van der Meiden H. and TEXTOR Team // Plasma Phys. Control. Fusion. 2009. V. 51. P. 055002.
- Pasch E., Beurskens M.N.A., Bozhenkov S.A., Fuchert G., Knauer J., Wolf R.C. and W7-X Team // Rev. Sci. Instrum. 2016. V. 87. P. 11E729.
- Krämer-Flecken A., Han X., Windisch T., Cosfeld J., Drews P., Fuchert G., Geiger J., Grulke O., Killer C., Knieps A., Liang Y., Liu S., Rack M. and the W7-X team // Plasma Phys. Control. Fusion. 2019. V. 61. P. 054003.
- Popov A.Yu., Gusakov E.Z. // Plasma Phys. Control. Fusion. 2015. V. 57. P. 025022.
- Gusakov E.Z., Popov A.Yu. // Physics of Plasmas. 2016. V. 23. P. 082503.
- Popov A.Yu., Gusakov E.Z. // Europhys. Lett. 2016. V. 116. P. 45002.
- Попов А.Ю., Гусаков Е.З. // Письма в ЖЭТФ. 2017. Т. 105. С. 64–69.
- Гусаков Е.З., Попов А.Ю. // УФН. 2020. Т. 190. P. 396.
- Гусаков Е.З., Попов А.Ю. // Физика плазмы. 2023. Т. 49. № 8.
- Abdullaev S.S., Finken K.H., Jakubowski M.W., Kasi-lov S.V., Kobayashi M., Reiser D., Reiter D., Runov A.M. and Wolf R. // Nucl. Fusion. 2003. V. 43. P. 99.
- Nielsen S.K., Salewski M., Bongers W., Korsholm S.B., Leipold F., Meo F., Michelsen P., Moseev D., Ooster-beek J.W., Stejner M., Westerhof E. // Review of Scientific Instruments. 2012. V. 83. P. 113508.
- Шафранов В.Д. // Вопросы теории плазмы. Т. 3. С. 3.
- Гусаков Е.З., Попов А.Ю. // Физика плазмы. 2023. Т. 49. С. 128.
- Piliya A.D., Popov A.Yu. // Plasma Phys. Control. Fusion. 2002. V. 44. P. 467.
- Гусаков Е.З., Попов А.Ю. // Физика плазмы. 2022. Т. 48. С. 306.
- Gusakov E.Z., Popov A.Yu. // Nucl. Fusion. 2020. V. 60. P. 076018.
Supplementary files















