Phenomenology of High-Current Discharge in N2 and He at Medium Pressures between Two Electrodes of Rail Geometry
- Authors: Akishev Y.S.1, Alekseeva T.S.1, Karalnik V.B.1, Petryakov A.V.1
-
Affiliations:
- Troitsk Institute of Innovative and Thermonuclear Research
- Issue: Vol 49, No 5 (2023)
- Pages: 397-406
- Section: LOW TEMPERATURE PLASMA
- URL: https://medbiosci.ru/0367-2921/article/view/139575
- DOI: https://doi.org/10.31857/S036729212360019X
- EDN: https://elibrary.ru/VFECJJ
- ID: 139575
Cite item
Full Text
Abstract
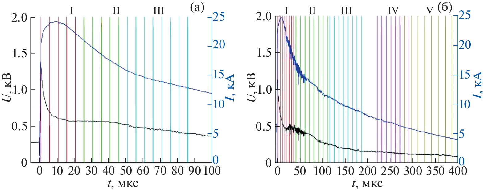
Plasma accelerators that form high-speed plasma jets due to the force action of their own magnetic field operate at high currents. Because of that, current spots with a high current density may occur on their electrodes, which lead to erosion of the electrodes and limit their life-time. In this work, the current modes of a plasma accelerator were investigated both without current spots and with current spots on the electrodes. In the latter case, the dynamics of current spots in the course of plasma acceleration was explored. This issue was studied by the example of a high-current (I ≤ 25 kA) pulse discharge created between two long (l = 30 cm) and parallel stainless-steel electrodes of cylindrical shape of 10 mm in a diameter. Two distances between the cylinders’ axes, h = 30 and 22 mm, were used. Two discharge zone configurations were investigated. In one of them, the discharge zone is not confined by side dielectric walls. In other one, the discharge zone is confined with transparent dielectric walls spaced by 12 mm. The high-current discharge was studied in nitrogen and helium at moderate pressures from P = 4 to 50 Torr. The high current was provided due to the discharging of a capacitor battery C = 1000 µF charged up to the voltage U ≤ 5 kV. At the very beginning, the discharge was initiated locally at one end of the electrodes, and then the formed plasma quickly moves toward the opposite end under strong force influence of its own magnetic field. Eventually, plasma clot is flying out of the discharge zone.
About the authors
Yu. S. Akishev
Troitsk Institute of Innovative and Thermonuclear Research
Email: akishev@triniti.ru
108840, Troitsk, Moscow, Russia
T. S. Alekseeva
Troitsk Institute of Innovative and Thermonuclear Research
Email: akishev@triniti.ru
108840, Troitsk, Moscow, Russia
V. B. Karalnik
Troitsk Institute of Innovative and Thermonuclear Research
Email: akishev@triniti.ru
108840, Troitsk, Moscow, Russia
A. V. Petryakov
Troitsk Institute of Innovative and Thermonuclear Research
Author for correspondence.
Email: akishev@triniti.ru
108840, Troitsk, Moscow, Russia
References
- Morozov A.I. // Nuclear Fusion, Special suppl. 1969. P. 111–119.
- Morozov A.I. Introduction in plasmadynamics. M.: FIZMATLIT. 2006. P. 576.
- Kesaev I.G. Cathode Processes of Electric Arc. Moscow: Nauka, 1968.
- Mesyats G.A., Korolev Yu.D. // Usp. Fiz. Nauk. 1986. V. 148. P. 101–122.
- Korolev Yu.D., Matveev I.B. // IEEE Trans. Plasma Sci. 2006. V. 34. P. 2507–2513.
- Korolev Yu.D., Frants O.B., Landl N.V., Geyman V.G., Matveev I.B. // IEEE Trans. Plasma Sci. 2007. V. 35. P. 1651–1657.
- Korolev Yu.D., Frants O.B., Landl N.V., Geyman V.G., Matveev I.B. // IEEE Trans. Plasma Sci. 2009. V. 37. P. 586–592.
- Akishev Yu., Karalnik V., Kochetov I., Napartovich A., Trushkin N. // Plasma Sources Sci. Technol. 2014. V. 23. P. 054013 https://doi.org/10.1088/0963-0252/23/5/054013
- Klimov N.S., Podkovyrov V.L., Zhitlukhin A.M., Safro-nov V.M., Kovalenko D.V., Moskacheva A.A., Poz-nyak I.M. // Problems of Atomic Science and Technology Series Thermonuclear Fusion. 2009. V. 32. № 2. P. 52–61.
- Kovalenko D.V., Klimov N.S., Zhitlukhin A.M., Muzychenko A.D., Podkovyrov V.L., Safronov V.M., Yaroshevskaya A.D. // Problems of Atomic Science and Technology Series Thermonuclear Fusion. 2014. V. 37. № 4. P. 39–48.
- Garkusha I.E., Solyakov D.G., Chebotarev V.V., Ma-khay V.A., Kulik N.V. // Plasma Physics Reports. 2019. № 5. P. 166.
Supplementary files
















