Atomic Oxygen Generation by Longitudinal–Transverse Discharge
- Authors: Bityurin V.A.1,2, Dobrovolskaya A.S.3, Bocharov A.N.1, Firsov A.A.1
-
Affiliations:
- Joint Institute for High Temperatures, Russian Academy of Sciences
- National Research University “Moscow Power Engineering Institute”
- Joint Institute for High Temperatures of Russian Academy of Sciences
- Issue: Vol 49, No 5 (2023)
- Pages: 438-446
- Section: LOW TEMPERATURE PLASMA
- URL: https://medbiosci.ru/0367-2921/article/view/139598
- DOI: https://doi.org/10.31857/S0367292123600267
- EDN: https://elibrary.ru/VFTBKJ
- ID: 139598
Cite item
Full Text
Abstract
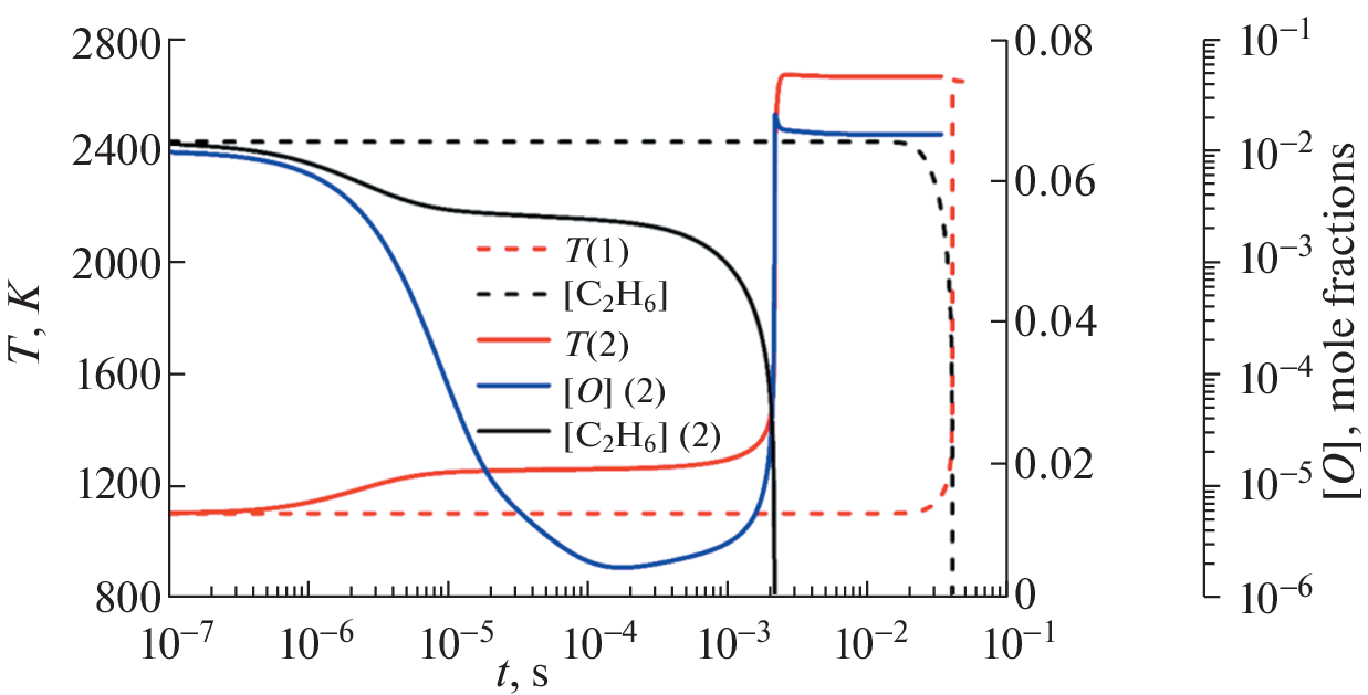
Results of numerical simulation using Plasmaero CFD code are presented for direct current (DC) discharge in a high-speed airflow. Modelling of plasma was performed using single-fluid MHD approach and detailed plasma-chemistry. As a result of simulation, the dynamics of DC discharge was obtained which corresponds to dynamics of this object registered during previous experimental study including such effect as the discharge re-breakdown. Concentration of atomic oxygen in different parts of discharge and near them was obtained and analysed. The influence estimation of obtained atomic oxygen concentration on the fuel mixture induction time was performed using zero-dimensional calculation. It was shown that atomic oxygen generation by DC discharge dramatically reduce the ignition delay that could be important for combustion stimulation in a high-speed flow.
About the authors
V. A. Bityurin
Joint Institute for High Temperatures, Russian Academy of Sciences; National Research University “Moscow Power Engineering Institute”
Email: valentin.bityurin@gmail.com
125412, Moscow, Russia; 111250, Moscow, Russia
A. S. Dobrovolskaya
Joint Institute for High Temperatures of Russian Academy of Sciences
Email: helfil@mail.ru
Moscow, Russia
A. N. Bocharov
Joint Institute for High Temperatures, Russian Academy of Sciences
Email: valentin.bityurin@gmail.com
125412, Moscow, Russia
A. A. Firsov
Joint Institute for High Temperatures, Russian Academy of Sciences
Author for correspondence.
Email: valentin.bityurin@gmail.com
125412, Moscow, Russia
References
- Poggie J., McLaughlin T., Leonov S. // Aerospace-Lab Journal. 2015. № 10. P. AL10-01. https://doi.org/10.12762/2015.AL10-01
- Alferov V.I., Bushmin A.S. // Sov. Phys. JETP. 1963. V. 17. № 6. P. 1190.
- Alferov V.I., Bushmin A.S., Kalachev B.V. // Sov. Phys. JETP. 1967. V. 24. № 5. P. 859.
- Ershov A.P., Surkont O.S., Timofeev I.B., Shibkov V.M., Chernikov V.A. // High Temperature. 2004. V. 42. № 5. P. 667. https://doi.org/10.1023/B:HITE.0000046519.53287.47
- Ershov A.P., Kalinin A.V., Surkont O.S., Timofeev I.B., Shibkov V.M., Chernikov V.A. // High Temperature. 2004. V. 42. № 6. P. 865. https://doi.org/10.1007/S10740-005-0029-0
- Bychkov V.L., Grachev L.P., Esakov I.I., Ravaev A.A., Khodataev K.V. // Technical Physics 2004 49:7. 2004. V. 49. № 7. P. 833. https://doi.org/10.1134/1.1778855
- Leonov S.B., Yarantsev D.A. // Fluid Dynamics. 2008. V. 43. № 6. P. 945. https://doi.org/10.1134/S001546280806015X
- Шибков В.М., Шибкова Л. В., Логунов А.А. // Физика плазмы. 2017. Т. 43. № 3. С. 314. Shibkov V.M., Shibkova L.V., Logunov A.A. // Plasma Physics Reports. 2017. V. 43. № 3. P. 373. https://doi.org/10.1134/S1063780X17030114
- Шибков В.М., Шибкова Л.В., Логунов А.А. // Физика плазмы. 2018. Т. 44. № 8. С. 661. = Shibkov V.M., Shibkova L.V., Logunov A.A. // Plasma Physics Reports. 2018. V. 44. № 8. P. 754. https://doi.org/10.1134/S1063780X18080056
- Leonov S.B., Savelkin K.V., Firsov A.A., Yarantsev D.A. // High Temperature. 2010. V. 48. № 6. P. 896–902. https://doi.org/10.1134/S0018151X10060179
- Firsov A., Savelkin K.V., Yarantsev D.A., Leonov S.B. // Philos. Trans. R. Soc. A. 2015. V. 373. № 2048. https://doi.org/10.1098/rsta.2014.0337
- Firsov A.A., Kolosov N.S. // J Phys Conf Ser. 2021. V. 2100. № 1. https://doi.org/10.1088/1742-6596/2100/1/012017
- Leonov S.B., Elliott S., Carter C., Houpt A., Lax P., Ombrello T. // Exp Therm Fluid Sci. 2021. V. 124. P. 110355. https://doi.org/10.1016/J.EXPTHERMFLUSCI.2021.110355
- Efimov A.V., Firsov A.A., Kolosov N.S., Leonov S.B. // Plasma Sources Sci Technol. 2020. V. 29. № 7. https://doi.org/10.1088/1361-6595/AB9C94
- Firsov A.A., Efimov A.V., Kolosov N.S., Moralev I.A., Leonov S.B. // J Phys Conf Ser. 2021. V. 2100. № 1. P. 012007. https://doi.org/10.1088/1742-6596/2100/1/012007
- Watanabe Y., Elliott S., Firsov A., Houpt A., Leonov S. // J. Phys. D Appl. Phys. 2019. V. 52. № 44. P. 444003. https://doi.org/10.1088/1361-6463/AB352F
- Andrews P., Lax P., Leonov S. // Energies (Basel). 2022. V. 15. № 19. P. 7104. https://doi.org/10.3390/EN15197104
- Ershov A.P., Kamenshchikov S.A., Kolesnikov E.B., Logunov A.A., Firsov A.A., Chernikov V.A. // Fluid Dynamics. 2008. V. 43. № 4. P. 605. https://doi.org/10.1134/S0015462808040133
- Dvinin S.A., Ershov A.P., Timofeev I.B., Chernikov V.A., Shibkov V.M. // High Temperature. 2004. V. 42. № 2. P. 171. https://doi.org/10.1023/B:HITE.0000026147.82949.36
- Moralev I., Kazanskii P., Bityurin V., Bocharov A., Fir-sov A., Dolgov E., Leonov S. // J. Phys. D: Appl. Phys. 2020. V. 53. № 42. P. 425203. https://doi.org/10.1088/1361-6463/AB9D5A
- Rakhimov R.G., Moralev I.A., Firsov A.A., Bityurin V.A., Bocharov A.N. // J. Phys.: Conf. Ser. 2019. V. 1147. № 1. P. 012128. https://doi.org/10.1088/1742-6596/1147/1/012128
- Bityurin V.A., Bocharov A.N., Dobrovolskaya A.S., Kuz-netsova T.N., Popov N.A., Filimonova E.A. // J. Phys.: Conf. Ser. 2021. V. 2100. P. 012032. https://doi.org/10.1088/1742-6596/2100/1/012032
- Tarasov D.A., Firsov A.A. // J. Phys.: Conf. Ser. 2021. V. 2100. № 1. P. 012015. https://doi.org/10.1088/1742-6596/2100/1/012015
- Gray M.D., Sirohi J., Raja L.L. // AIAA Aerospace Sciences Meeting. 2018. P. 2018-0935. https://doi.org/10.2514/6.2018-0935
- Bourlet A., Labaune J., Tholin F., Pechereau F., Vincent-Randonnier A., Laux C.O. // AIAA Science and T-echnology Forum and Exposition, AIAA SciTech Forum 2022. 2022. P. 2022-0831. https://doi.org/10.2514/6.2022-0831
- Kosarev I.N., Aleksandrov N.L., Kindysheva S.V., Starikovskaia S.M., Starikovskii A.Y. // J. Phys. D: A-ppl. Phys. 2008. V. 41. № 3. https://doi.org/10.1088/0022-3727/41/3/032002
- Kosarev I.N., Aleksandrov N.L., Kindysheva S.V., Starikovskaia S.M., Starikovskii A.Y. // Combust Flame. 2009. V. 156. № 1. https://doi.org/10.1016/j.combustflame.2008.07.013
- Filimonova E.A., Bityurin V.A. // XXXI ICPIG. 2013.
- Kosarev I.N., Kindysheva S.V., Momot R.M., Plasti-nin E.A., Aleksandrov N.L., Starikovskiy A.Y. // Combust Flame. 2016. V. 165. https://doi.org/10.1016/j.combustflame.2015.12.011
- Bocharov A.N., Bityurin V.A. LAP Lambert Academic Publishing, 2017. 228 p.
- Bityurin V.A., Bocharov A.N., Popov N.A. // Fluid Dynamics 2008 43:4. 2008. V. 43. № 4. P. 642. https://doi.org/10.1134/S0015462808040170
- Bityurin V.A., Bocharov A.N. // Fluid Dynamics 2006 41:5. 2006. V. 41. № 5. P. 843. https://doi.org/10.1007/S10697-006-0100-5
- Firsov A., Bityurin V., Tarasov D., Dobrovolskaya A., Troshkin R., Bocharov A. // Energies (Basel). 2022. V. 15. № 19. P. 7015. https://doi.org/10.3390/en15197015
- Bityurin V.A., Bocharov A.N. // J. Phys. D: Appl. Phys. 2018. V. 51. № 26. P. 264001. https://doi.org/10.1088/1361-6463/AAC566
- Park C. // J Thermophys Heat Trans. 1993. V. 7. № 3. https://doi.org/10.2514/3.431
- Bityurin V.A., Bocharov A.N., Popov N.A. // 46th AIAA Aerospace Sciences Meeting and Exhibit. 2008. https://doi.org/10.2514/6.2008-1385.
- Benilov M.S., Naidis G.V. // J Phys D Appl Phys. 2003. V. 36. № 15. P. 1834. https://doi.org/10.1088/0022-3727/36/15/314
- Leonov S.B., Yarantsev D.A., Napartovich A.P., Kochetov I.V. // IEEE Transactions on Plasma Science. 2006. V. 34. № 6. P. 2514–2525. https://doi.org/10.1109/TPS.2006.886089
- Ju Y., Sun W. // Prog Energy Combust Sci. 2015. V. 48. P. 21–83. https://doi.org/10.1016/j.pecs.2014.12.002
- Filimonova E.A., Dobrovolskaya A.S. // Russ. J. Phys. Chem. B. 2023. V. 12 (in press).
- Filimonova E.A. // J. Phys. D Appl. Phys. 2015. V. 48. № 1. https://doi.org/10.1088/0022-3727/48/1/015201
Supplementary files












