Parameters of a Longitudinal DC Discharge in a Supersonic Air Flow
- Authors: Troshkin R.S.1, Firsov A.A.1
-
Affiliations:
- Joint Institute for High Temperatures, Russian Academy of Sciences
- Issue: Vol 49, No 5 (2023)
- Pages: 495-503
- Section: LOW TEMPERATURE PLASMA
- URL: https://medbiosci.ru/0367-2921/article/view/139611
- DOI: https://doi.org/10.31857/S036729212360022X
- EDN: https://elibrary.ru/VFGSGE
- ID: 139611
Cite item
Full Text
Abstract
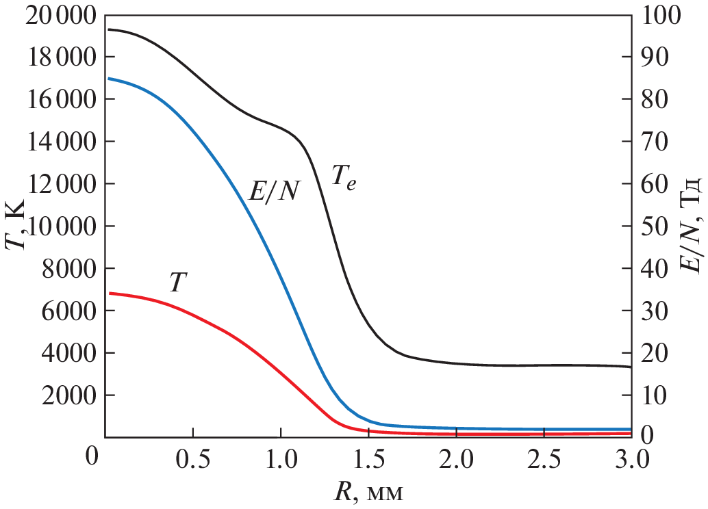
This work is devoted to the study of the properties of a discharge in a supersonic air flow and the problem of determining the temperature of a contracted (thin cylindrical) plasma channel with a radial temperature distribution. The paper considers a direct discharge 30 mm long far from the channel walls in the core of a supersonic flow with the following parameters: Mach number M = 2, flow rate V ~ 500 m/s, stagnation temperature T0 = 300 K, and static gas pressure Pst = 22 kPa. The axisymmetric geometry of the ex-periments with two coaxial electrodes located parallel to the flow was chosen to avoid the appearance of a part of the current channel perpendicular to the flow and the corresponding discharge pulsations. The current–voltage characteristic was obtained, and the dependences of the temperature of the electric discharge plasma on the electrical parameters of the discharge were obtained using emission spectroscopy. Also, with the help of shadow visualization and high-speed shooting, an estimate was obtained of the thickness of the thermal cone and the discharge channel and their dependence on the discharge current.
About the authors
R. S. Troshkin
Joint Institute for High Temperatures, Russian Academy of Sciences
Email: af@jiht.org
125412, Moscow, Russia
A. A. Firsov
Joint Institute for High Temperatures, Russian Academy of Sciences
Author for correspondence.
Email: valentin.bityurin@gmail.com
125412, Moscow, Russia
References
- Alferov V.I., Bushmin A.S. // Sov. Phys. JETP. 1963. V. 17. P. 1190.
- Caruana D. // Plasma Phys Control Fusion. 2010. V. 52. P. 124045. https://doi.org/10.1088/0741-3335/52/12/124045
- Poggie J., McLaughlin T., Leonov S. // Aerospace-Lab Journal AL10. 2015. https://doi.org/10.12762/2015.AL10-01
- Leonov S. // Energies (Basel). 2018. V. 11. P. 1733. https://doi.org/10.3390/en11071733
- Yatskih A.A., Semenov A.N., Yermolaev Yu.G., Kosi-nov A.D., Semionov N.V. // Siberian Journal of Physics. 2017. V. 12. P. 41. https://doi.org/10.25205/2541-9447-2017-12-3-41-48
- Falempin F., Firsov A.A., Yarantsev D.A., Goldfeld M.A., Timofeev K., Leonov S.B. // Exp Fluids. 2015. V. 56. P. 54. https://doi.org/10.1007/s00348-015-1928-4
- Ferrero A. // Aerospace. 2020. V. 7. P. 32. https://doi.org/10.3390/aerospace7030032
- Andrews P., Lax P., Leonov S. // Energies (Basel). 2022. V. 15. P. 7104. https://doi.org/10.3390/EN1519714
- Ma X., Fan J., Wu Y., Liu, Xue R. // Physics of Fluids. 2022. V. 34. P. 086102. https://doi.org/10.1063/5.0095487
- Tang M., Wu Y., Wang H. // Acta Astronaut. 2022. V. 198. P. 577. https://doi.org/10.1016/j.actaastro.2022.07.010
- Watanabe Y., Elliott S., Firsov A., Houpt A., Leonov S. // J. Phys D Appl Phys. 2019. V. 52. P. 444003. https://doi.org/10.1088/1361-6463/AB352F
- Hongyu W., Feng X., Jie L., Cheng Y., Yanguang Y. // Acta Astronaut. 2021. V. 187. P. 325. https://doi.org/10.1016/j.actaastro.2021.06.049
- Gong G., Li Y., Wang Y., Kuang P. // AIP Adv. 2020. V. 10. P. 055212. https://doi.org/10.1063/1.5145235
- Ershov A.P., Kamenshchikov S.A., Kolesnikov E.B., Logunov A.A., Firsov A.A., Chernikov V.A. // Fluid Dynamics. 2008. V. 43. P. 605. https://doi.org/10.1134/S0015462808040133
- Feng R., Sun M., Wang H., Huang Y., Tian Y., Wang C., Liu X., Zhu J., Wang Z. // Aerosp Sci Technol. 2022. V. 121. P. 107381. https://doi.org/10.1016/J.AST.2022.107381
- Leonov S.B., Elliott S., Carter C., Houpt A., Lax P., Ombrello T. // Exp Therm Fluid Sci. 2021. V. 124. P. 110355. https://doi.org/10.1016/j.expthermflusci.2021.110355
- Firsov A.A., Kolosov N.S. // J Phys Conf Ser. 2021. V. 2100. https://doi.org/10.1088/1742-6596/2100/1/012017
- Leonov S.B., Savelkin K.V., Firsov A.A., Yarantsev D.A. // High Temperature. 2010. V. 48. P. 896. https://doi.org/10.1134/S0018151X10060179
- Ershov A.P., Surkont O.S., Timofeev I.B., Shibkov V.M., Chernikov V.A. // High Temperature. 2004. V. 42. P. 667. https://doi.org/10.1023/B:HITE.0000046519.53287.47
- Ershov A.P., Kalinin A.V., Surkont O.S., Timofeev I.B., Shibkov V.M., Chernikov V.A. // High Temperature. 2004. V. 42. P. 865. https://doi.org/10.1007/S10740-005-0029-0
- Leonov S.B., Yarantsev D.A. // Fluid Dynamics. 2008. V. 43. P. 945. https://doi.org/10.1134/S001546280806015X
- Shibkov V.M., Shibkova L.V., Logunov A.A. // Plasma Physics Reports. 20117. V. 43. P. 373. https://doi.org/10.1134/S1063780X17030114
- Shibkov V.M., Shibkova L.V., Logunov A.A. // Plasma Physics Reports. 2018. V. 44. P. 754. https://doi.org/10.1134/S1063780X18080056
- Perevoshchikov E.E., Firsov A.A. // Plasma Physics Reports. 2023. V. 49. № 5. P. 634. https://doi.org/10.1134/S1063780X22601894
- Bityurin V.A., Bocharov A.N., Dobrovolskaya A.S., Po-pov N.A., Firsov A.A. // Plasma Physics Reports. 2023. V. 49. № 5. P. 575. https://doi.org/10.1134/S1063780X22601869
- Bychkov V.L., Grachev L.P., Esakov I.I., Ravaev A.A., Khodataev K.V. // Technical Physics 2004. V. 49. № 7. V. 49. P. 833. https://doi.org/10.1134/1.1778855
- Firsov A., Bityurin V., Tarasov D., Dobrovolskaya A., Troshkin R., Bocharov A. // Energies (Basel). 2022. V. 15. P. 7015. https://doi.org/10.3390/en15197015
- Aksenov A.A. // Computer Research and Modeling. 2017. V. 9. P. 5. https://doi.org/10.20537/2076-7633-2017-9-5-20
- Bityurin V.A., Bocharov A.N. // Fluid Dynamics 2006. V. 41. № 5. V. 41. P. 843. https://doi.org/10.1007/S10697-006-0100-5
- Bityurin V.A., Bocharov A.N., Popov N.A. // Fluid Dynamics. 2008. 43:4. V. 43. P. 642. https://doi.org/10.1134/S0015462808040170
- Bityurin V.A., Bocharov A.N., Popov N.A. // J. Phys. D Appl. Phys. 2019. V. 52. P. 354001. https://doi.org/10.1088/1361-6463/AB2181
- Шибков В.М., Корнев К.Н., Логунов А.А., Нестеренко Ю.К. // Физика плазмы. 2022. Т. 48. № 7. Shibkov V.M., Kornev K.N., Logunov A.A., Nesteren-ko Yu.K. // Plasma Physics Reports. 2022. V. 48. P. 798. https://doi.org/10.1134/S1063780X22700246
- Pusateri E.N., Morris H.E., Nelson E.M., Ji W. // Journal of Geophysical Research: Atmospheres. 2015. V. 120. P. 7300. https://doi.org/10.1002/2015JD023100
Supplementary files















