Kinetic Model of Vacuum Plasma Expansion in a Cylindrical Gap
- Authors: Kozhevnikov V.Y.1, Kozyrev A.V.1, Kokovin A.O.1, Semenyuk N.S.1
-
Affiliations:
- Institute of High Current Electronics, Siberian Branch, Russian Academy of Sciences
- Issue: Vol 49, No 11 (2023)
- Pages: 1170-1177
- Section: LOW TEMPERATURE PLASMA
- URL: https://medbiosci.ru/0367-2921/article/view/233143
- DOI: https://doi.org/10.31857/S0367292123600607
- EDN: https://elibrary.ru/HAWJYO
- ID: 233143
Cite item
Full Text
Abstract
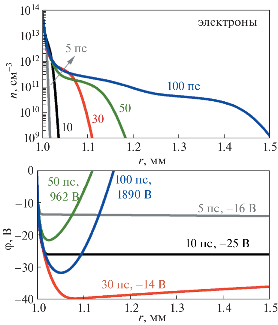
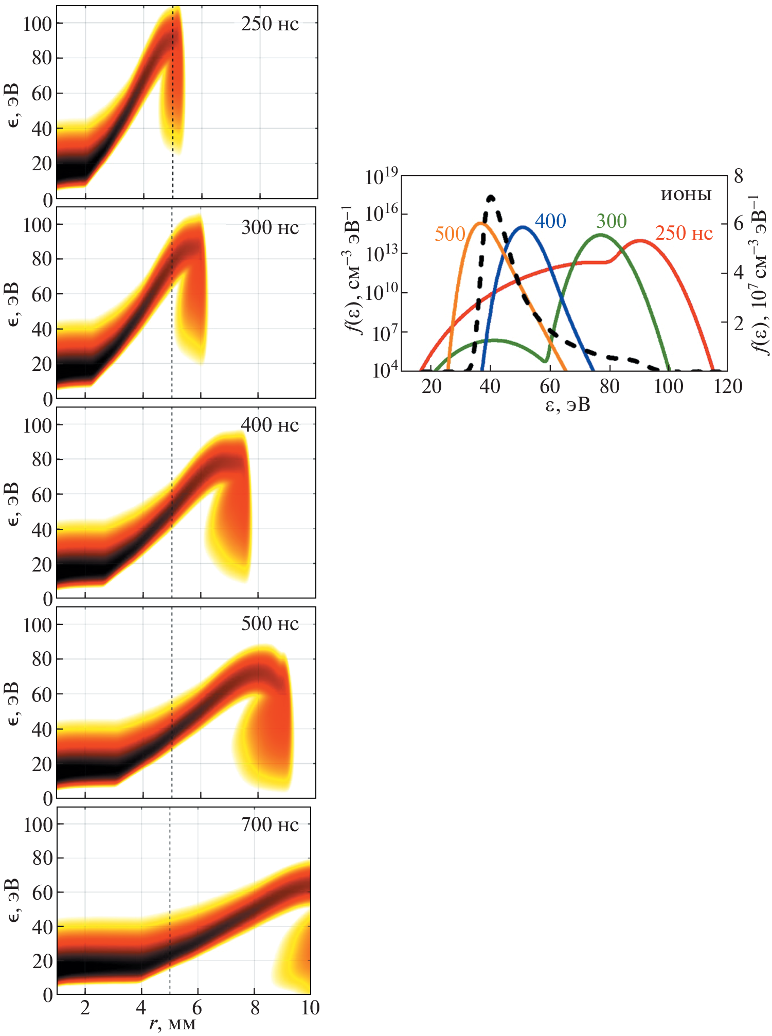
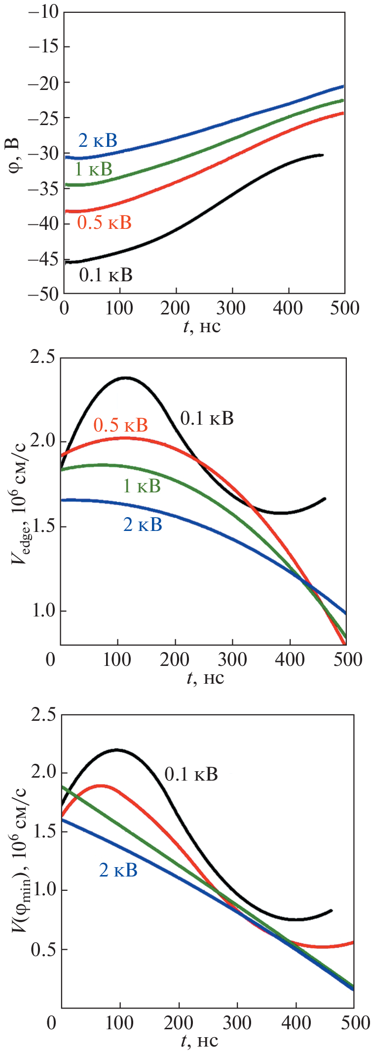
Results of a theoretical description of collisionless kinetics of radial expansion of two-component (electron–ion) plasma in the one-dimensional cylindrical formulation of the problem are presented. The electric-field mechanism of supersonic expansion of the plasma flame due to the motion of the electron–ion ensemble and self-consistent electric field in the diode with the potential difference applied to it is demonstrated. The spatiotemporal evolution of the ion energy distribution function, electric potential, and rate of expansion of the emission boundary of the plasma flame is shown. The calculated rates of flame expansion at the copper cathode (~1.5 × 106 cm/s) well agree with the experimental data.
About the authors
V. Yu. Kozhevnikov
Institute of High Current Electronics, Siberian Branch, Russian Academy of Sciences
Email: kozyrev@to.hcei.tsc.ru
634055, Tomsk, Russia
A. V. Kozyrev
Institute of High Current Electronics, Siberian Branch, Russian Academy of Sciences
Email: kozyrev@to.hcei.tsc.ru
634055, Tomsk, Russia
A. O. Kokovin
Institute of High Current Electronics, Siberian Branch, Russian Academy of Sciences
Email: kozyrev@to.hcei.tsc.ru
634055, Tomsk, Russia
N. S. Semenyuk
Institute of High Current Electronics, Siberian Branch, Russian Academy of Sciences
Author for correspondence.
Email: kozyrev@to.hcei.tsc.ru
634055, Tomsk, Russia
References
- Boxman R.L., Sanders D., Martin P. Vacuum Arc Science and Technology. Noyes, Park Ridge, NJ, 1995.
- Brown I.G., Galvin J.E., MacGill R.A. // Appl. Phys. Lett. 1985. V. 47. P. 358.
- Anders A. Cathodics Arcs: From Fractal Spots to Energetic Condensation. New York: Springer, 2008.
- Beilis I.I. // IEEE Transac. Plasma Sci. 2001. V. 29. P. 657.
- Chapelle P., Bellot J.P., Duval H., Jardy A., Ablitzer D. // J. Phys. D: Appl. Phys. 2001. V. 35. P. 137.
- Hantzsche E. // IEEE Transac. Plasma Sci. 2003. V. 31. P. 799.
- Davis W. D., Miller H. C. // J. Appl. Phys. 1969. V. 40. P. 2212.
- Brown I., Oks E. // IEEE Transac. Plasma Sci. 2005. V. 33. P. 1931.
- Anders A. // Phys. Rev. E. 1997. V. 55. P. 969.
- Volkov N.B., Nemirovsky A.Z. // J. Phys. D: Applied Phys. 1991. V. 24. P. 693.
- McClure G.W. // J. Applied Phys. 1974. V. 45. P. 2078.
- Yushkov G.Y., Bugaev A.S., Krinberg I.A., Oks E.M. // Doklady Phys. 2001. V. 46. P. 307.
- Баренгольц С.А., Месяц Г.А., Шмелев Д.Л. // ЖЭТФ. 2001. Т. 120. С. 1227.
- Плютто А.А., Рыжков В.H., Капин А.Т. // ЖЭТФ. 1964. Т. 47. С. 494.
- Болотов А.В., Козырев А.В., Королев Ю.Д. // Физика плазмы. 1993. Т. 19. С. 709.
- Грановский В.Л. Электрический ток в газе. Установившийся ток. М.: Наука, 1971. 544 с.
Supplementary files








