Collision of Two Plasma Diffuse Jets with the Same and Different Front Polarity at an Air Pressure of 1 Torr
- Authors: Tarasenko V.F.1, Vinogradov N.P.1, Baksht E.H.1, Pechenitsin D.S.1
-
Affiliations:
- Institute of High-Current Electronics, Siberian Branch of the Russian Academy of Sciences
- Issue: Vol 50, No 1 (2024)
- Pages: 144-154
- Section: LOW TEMPERATURE PLASMA
- URL: https://medbiosci.ru/0367-2921/article/view/261008
- DOI: https://doi.org/10.31857/S0367292124010139
- EDN: https://elibrary.ru/SIZVIY
- ID: 261008
Cite item
Full Text
Abstract
In air at a pressure of 1 Torr, the mode of collision of diffuse plasma jets (PDJs) consisting of ionization waves — red streamers have been studied. PDJ were formed in a quartz tube by a capacitive discharge from two identical generators with pulses of positive and negative polarity. It has been established that, with the same polarity of voltage pulses, counter-current PDJs suppress each other’s radiation. It is shown that for different polarity of voltage pulses, the intensity of the glow in the region where the PDJ meets increases significantly. Data are presented on the effect of delays between switching on generators of different polarity on the emission spectra of PDJ. It has been established that with an increase in air humidity, an atomic hydrogen line Ha appears in the emission spectrum, as well as OH and OH+ bands, the spectral energy density (W) of some of which is commensurate with the W bands of the second positive (2+) nitrogen system. The velocity of the PDJ front was measured when two generators of different polarity were turned on.
Full Text
ВВЕДЕНИЕ
Пробой в длинных трубках при различных давлениях изучали многие научные группы. Результаты этих исследований систематизированы в обзорах [1, 2] и монографиях [3, 4]. В большинстве работ исследования проводили с двумя электродами, расположенными на торцах трубки (см. публикации [1–5] и ссылки в них). Трубки заполняли различными газами, в том числе воздухом низкого давления.
Так, в работе [5] продемонстрировано распространение волны ионизации при давлении воздуха 2 торра и сообщалось, что при напряжении генератора 11 кВ полосы второй положительной системы азота дают основной вклад в излучения плазмы в области 300–800 нм. В части работ, например [1, 6], сообщалось о регистрации рентгеновского излучения при прохождении быстрой волны ионизации по трубке и ее приближении к электроду положительной полярности.
Известны также исследования взаимодействия двух волн ионизации, которые распространялись как от одного электрода [7, 8], так и от двух противоположных электродов [9]. В работе [7] найден режим пробоя в гелии при давлениях 0.1–60 Торр, когда формировались две волны ионизации. Причем вторая появлялась после образования катодного пятна на высоковольтном электроде, а ее фронт имел более высокую скорость. В результате вторая ВИ догоняла первую, и далее они двигались вместе с бόльшей скоростью фронта, чем имели до слияния.
В работе [8] теоретически и экспериментально исследовалось формирование волны ионизации в прямой трубке, которая соединялась с кольцом из трубки того же диаметра, а с противоположной стороны кольца приваривалась вторая прямая трубка. В экспериментах использовали неон при атмосферном давлении или смесь неона с малыми добавками ксенона. Первая ВИ инициировалась с острия отрицательной полярности импульсом напряжения амплитудой 25 кВ, который имел фронт 25 нс и длительность ≈10 мкс. В кольце волна ионизации разделялась надвое, а затем две волны ионизации с фронтами одинаковой полярности сталкивались в области второй трубки. При этом во второй трубке формировалась третья ВИ. Концентрация электронов в фронте первой волны ионизации при ее разделении уменьшалась от 4 · 1012 см–3 до 6 · 1011 см–3, а при соединении двух ВИ в начале второй трубки увеличивалась до 9 · 1011 см–3.
В работе [9] исследовалось столкновение двух ВИ в неоне и аргоне при давлении 1 торр и частоте следования импульсов до 100 Гц. Трубка имела длину 1 м и диаметр 1.5 см. Волны ионизации инициировались с двух металлических электродов, расположенных на противоположных концах трубки, импульсами напряжения от одного источника положительной полярности.
Оптические исследования показали, что ВИ движутся навстречу друг другу с уменьшающимися скоростями. Интенсивность излучения неона в волнах ионизации линейно уменьшалась при их приближении. ВИ подавляли друг друга, и интенсивность излучения в центре трубки в области их столкновения снижалось на порядок. Ширина наблюдаемой области уменьшения светимости при столкновении волн ионизации зависела от типа газа и давления, а также амплитуды импульса напряжения.
В наших работах [10–13] было предложено инициировать плазменные диффузные струи (ПДС) с помощью высокочастотного емкостного разряда в кварцевой трубке за счет электродов на ее внешней поверхности. Это позволяло исключить контакт плазмы разряда с металлическими электродами.
Было установлено, что при заполнении трубки воздухом низкого давления от области разряда внутри трубки между двумя внешними электродами формируются ПДС красного цвета, обусловленного характерным свечением полос первой положительной системы молекулярного азота. Высоковольтный и заземленный электроды охватывали кварцевую трубку и располагались на расстоянии 6 см. Струи распространялись от созданной плазмы на десятки сантиметров к торцам трубки, на которых электроды отсутствовали.
Длина ПДС зависела от давления воздуха и амплитуды импульсов напряжения, а также от полярности высоковольтного электрода. При напряжении источника питания 7 кВ и давлении менее 1 Торр ПДС распространялись от области их инициирования на расстояние более 1 м [11]. Особенностью ПДС с длиной в десятки сантиметров и более было существенное (на порядок и более) превышение спектральной энергии излучения полос второй положительной системы азота W(2+) над аналогом первой положительной системы азота W(1+). При этом ПДС имели красный цвет, который наблюдался визуально и регистрировался фотоаппаратом при давлениях 0.2–3 Торр [10–13].
В работе [12] было показано, что каждая из ПДС состоит из двух стримеров, генерируемых на фронте и спаде импульса напряжения. Кроме того, обнаружено, что при достижении фронтом второго положительного стримера места остановки первого отрицательного формируется третий стример, имеющий малую скорость.
Однако столкновение стримеров, создаваемых с помощью импульсов напряжения от генераторов разной полярности в длинных трубках, заполненных воздухом низкого давления, ранее не исследовалось. Такие изыскания были бы полезны для моделирования некоторых свойств красных спрайтов, формы которых при давлении воздуха от сотых долей до 1.5 Торра весьма разнообразны [14–17].
Столкновение двух разнополярных стримеров и лидеров в настоящее время также экспериментально и теоретически изучается в связи с формированием ступенчатого лидера при отрицательной молнии [18, 19] и генерацией рентгеновского излучения при пробое метровых промежутков в воздухе атмосферного давления [20–23]. Известно также о генерации лазерного излучения из области столкновения стримеров при формировании диффузного разряда между электродами в виде лезвий [24].
Цель данной работы — экспериментально исследовать в атмосферном воздухе при давлении 1 Торр вольтамперные и оптические характеристики разряда при столкновении двух плазменных диффузных струй красного цвета, состоящих из стримеров с полярностью фронта одинакового и противоположного знака.
При описании свойств ПДС мы будем использовать, как и в работе [12], термин “стример”, хотя к движущей области ионизации, создаваемой высоким электрическим полем, можно относить как стример, так и волну ионизации, поскольку физические процессы при их формировании подобны.
Как известно (см. обзор [2] и ссылки в нем), в волнах ионизации при инициировании пробоя в условиях сравнительно низких напряжений определяющую роль играют стенки трубки из диэлектрика. Электрическое поле значительно усиливается в месте контакта диэлектрика с металлом высоковольтного электрода. Далее форма разряда, при прочих равных условиях, определяется амплитудой импульса напряжения и частотой следования импульсов. При высоких напряжениях пробой между электродами на концах трубки может происходить за один импульс длительностью около 1 мкс и менее вследствие возникновения быстрой волны ионизации [1]. При уменьшении напряжения вначале скорость волн ионизации уменьшается, а при низких напряжениях, начиная с некоторой пороговой величины, пробой в трубке прекращается [2]. При переходе от режима однократных импульсов напряжения к режиму с высокой частотой посылок импульсов, обычно более 10 Гц, пробой газа в трубке начинал возникать при той же амплитуде импульса напряжения. Соответственно, пороговое напряжение пробоя зависит не только от амплитуды импульсов напряжения, но и от паузы между импульсами [2].
ЭКСПЕРИМЕНТАЛЬНАЯ УСТАНОВКА И МЕТОДИКИ ИЗМЕРЕНИЙ
Для формирования плазменных диффузных струй применялась установка, подобная описанной в работах [10, 12, 13]. Различия состояли в применении двух импульсных генераторов с синхронизируемым запуском, увеличении длины кварцевой трубки и использовании двух пар кольцевых электродов, установленных на внешней поверхности трубки. Схема установки показана на рис. 1.
Рис. 1. Схема экспериментальной установки для изучения столкновений ПДС, инициируемых емкостным разрядом, которые имели фронт как одинаковой полярности, так и противоположной. 1 — трубка из кварца; 2 — высоковольтный электрод, соединенный с генератором U1 и делителем напряжения (R2–R3); 3 — электрод, заземленный через шунт R1 и соединенный с генератором U1; 4 — электрод, заземленный через шунт и соединенный с генератором U2; 5 — высоковольтный электрод, соединенный с генератором U2 и делителем напряжения (R4–R5)
Инициирующий емкостный разряд и ПДС формировались в трубке 1 из кварца высокого качества (марка GE-214). Данный кварц имеет высокий коэффициент пропускания в ультрафиолетовой (УФ), видимой и ближней инфракрасной областях спектра. Длина трубки равнялась 220 см, ее внутренний диаметр составлял 50 мм, а толщина стенки — 2.5 мм. На внешней поверхности кварцевой трубки устанавливали две пары кольцевых электродов (2, 3 и 4, 5) шириной 1 см. Расстояние между ближними краями электродов, изготовленных из стальной фольги, в каждой паре составляло 6 см. Расстояния между электродами 3 и 4, а также от электродов 2 и 5 до ближайших торцов кварцевой трубки, соответственно левого и правого, были одинаковыми и равнялись 66 см. На электроды от двух высоковольтных генераторов подавались импульсы напряжения различной или одинаковой полярности с амплитудой 7 кВ и длительностью на полувысоте 1.3 мкс. Фронт и спад импульсов напряжения при давлении воздуха от 0.2 Торр до 9 Торр имели длительность около 0.4 мкс. Частота следования импульсов в большинстве экспериментов, как и в работах [10–13], составляла 21 кГц. Проводились также включения установки при частотах 1, 10, 30, 100, 1000 и 5000 Гц. Для запуска высоковольтных генераторов U1 и U2 с регулируемой задержкой использовали многоканальный генератор BNC 565. Точность включения импульсов запуска была не хуже 1 нс. Это позволяло проводить измерения как при одновременном включении генераторов U1 и U2, так и при изменении задержек их запуска в широких пределах, а также включать только один из генераторов.
Напряжение между электродами в каждой паре измеряли делителями AKTAKOM ACA-6039 с полосой пропускания 50 МГц. Величины сопротивлений делителей R2 = R5 = 900 кОм, а R3 = R4 = 900 МОм. Токи разряда измеряли шунтами с сопротивлением 3 Ом, которые устанавливались последовательно с заземленными электродами. Высоковольтные электроды 2 и 5 специально экранировали друг от друга заземленными электродами 3 и 4.
Сигналы с делителей и шунтов подавались на четырехканальный осциллограф MDO 3104 (полоса частот регистрации до 1 ГГц, частота дискретизации 5 выборок/нс). Излучение плазмы разряда регистрировалось цифровым фотоаппаратом Canon 2000D, спектрометром HR2000+ES (диапазон 200–1150 нм; спектральное разрешение ≈0.9 нм) с известной чувствительностью на различных длинах волн и кремниевым фотоэлектронным умножителем (ФЭУ) (Si-ФЭУ) в составе модуля MicroFC-SMA-10035. Время нарастания переходной характеристики ФЭУ составляло 0.3 нс, время восстановления ячеек — 180 нс. Все оптические измерения проводили в темноте.
Излучение от разряда к спектрометру и ФЭУ подавалось по световодам, приемный конец которых устанавливался в различных местах на одинаковом расстоянии от поверхности трубки. При этом поле зрения световода охватывало участок кварцевой трубки высотой 5.5 и длиной 1 см. Остальная часть трубки закрывалась черным экраном. Излучение ПДС регистрировалось на расстояниях 16 и 33 см от левого края электрода 4, а также посредине между электродами 4 и 5.
Максимальную чувствительность ФЭУ имел на длине волны 420 нм, при этом чувствительность плавно уменьшалась в обе стороны от максимума, и на краях диапазона (320–800 нм) составляла около 15% от максимальной. При измерениях записывалось 3–5 импульсов излучения, форма и амплитуда которых повторялись с отклонением от среднего импульса не более чем на 10%. Это позволяло определять средние скорости распространения фронта стримера при его прохождении от одного участка трубки к другому.
Кварцевую трубку откачивали до давления 10–2 торров, а затем заполняли воздухом с относительной влажностью около 40%. Измерения проводили при температуре ≈30 °С и давлении 1 Торр, которое соответствует давлению на высоте над уровнем моря ≈ 47 км. Высота для реальной атмосферы указана приблизительно, поскольку на таких уровнях есть локальные колебания давления в зависимости от температуры, ветра и других факторов.
РЕЗУЛЬТАТЫ
В представленных экспериментах исследовали установившийся режим формирования плазменных диффузных струй, при котором их форма не изменялась при включении установки на десятки минут. Более длительные включения не исследовались, но ограничений не было, и температура кварцевой трубки существенно не изменялась.
Основное внимание было уделено исследованиям столкновения ПДС при различных полярностях их фронта и вариации задержки между включением генераторов. На кольцевые электроды 2, 3 и 4, 5 подавались импульсы напряжения одинаковой формы от двух генераторов U1 и U2. На рис. 2 приведены импульсы тока и напряжения с включением генератора U1, который расположен слева, при отрицательной полярности, и второго U2, расположенного справа, — при положительной, с различными задержками при их запуске.
Рис. 2. Импульсы тока и напряжения при включении двух генераторов отрицательной (U1) и положительной (U2) полярности без задержки между импульсами напряжения (а), с задержками ≈ 1.25 (б) и ≈ 1.85 мкс (в), а также при включении одного генератора U1. Давление воздуха p = 1 Торр, частота следования импульсов f = 21 кГц. |U1| ≈ |U2| ≈ 7 кВ
Пробой воздуха между электродами 2, 3 и 4, 5 и инициирование ПДС проходили на фронте импульса напряжения. Величина емкостного тока, который был зарегистрирован в отсутствие пробоя при атмосферном давлении воздуха в трубке и одинаковом напряжении на электродах, не превышала 10% максимального тока через шунт при давлении 1 торр. Вариации задержки между импульсами напряжения на форму импульсов напряжения при f = 21 кГц практически не влияли. Однако форма импульсов тока и амплитуда отдельных его пиков существенно зависели от времени включения генераторов при задержках от 0 до 1.85 мкс.
При одновременном включении генераторов, на фронте импульсов напряжения, как и должно быть, шунтами R1 и регистрируется разнонаправленный ток (см. рис. 2а). C задержкой срабатывания генератора U1 относительно генератора U2 на 1.25 мкс (см. рис. 2б), во время первого импульса тока генератора U2 с шунта R1 регистрировали ток амплитудой (~ 0.1 А) положительной полярности. Этот ток обусловлен как емкостным током во время фронта импульса напряжения от генератора U2, так и динамическим емкостным током [25], при котором заряжается емкость между фронтом плазмы в ПДС и электродом 3. Кроме того, при этой задержке между запуском генераторов (см. рис. 2б) имелась следующая особенность: импульс тока, который генерировался при спаде импульса напряжения от генератора U2, совпадал по времени и направлению с первым импульсом тока от генератора U1. Это приводило к изменению формы ПДС и интенсивности спектров излучения.
Увеличение задержки между запуском генераторов до 1.85 мкс и более не оказывало существенного влияния на осциллограммы импульсов тока с шунтов при опережающем запуске как генератора U1, так и генератора U2 (см. рис. 2в). Однако задержки между запуском генераторов, которые были менее длительности импульса напряжения, влияли на форму импульсов тока, что приводило к изменению формы ПДС и их спектров излучения. Наиболее заметные изменения в форме ПДС при разной полярности генераторов были получены в условиях их одновременного запуска.
Фотографии разряда, полученные в режиме с импульсами напряжения разной полярности при одновременном включении обоих генераторов, показаны на рис. 3.
Рис. 3. Фотографии ПДС (см. соответствующие осциллограммы для них на рис. 2а), которые приведены после коррекции яркости и контраста изображения (а) и без коррекции (б), а также фотография ПДС без коррекции изображения, которая получена при включении одного генератора U2 с положительной полярностью (в). Обозначения 1–5 соответствуют подписи к рис. 1. 6 — делители AKTAKOM. Экспозиция фотографий 0.25 с. Давление воздуха p = 1 торр, частота посылок импульсов f = 21 кГц. Полярность генератора U1 отрицательная, U2 — положительная. |U1| ≈ |U2| ≈ 7 кВ
Фотография ПДС с увеличенной светимостью за счет коррекции яркости и контраста изображения при компьютерной обработке показана на рис. 3а. Коррекция была использована для того, чтобы показать, что ПДС распространяется в обе стороны от каждой пары электродов, в том числе по направлению к торцам трубки. С генераторами разной полярности направленные к торцам трубки ПДС имели малую интенсивность излучения по сравнению с ее областью между электродами 3, 4. Кроме того, увеличение яркости изображения на рис. 3а позволило показать положение стенки кварцевой трубки 1. На исходной фотографии (см. рис. 3б), которая передавала излучение ПДС без насыщения матрицы фотоаппарата, видно, что цвет ПДС красный и подобен цвету на фотографиях спрайтов (см., например, рис. 2в работы [16] и рис. 23 работы [26]).
При включении одного из генераторов интенсивность излучения разряда ПДС в центральной части трубки уменьшалась по сравнению с режимом разных полярностей двух генераторов, а в области между высоковольтным электродом и ближайшим к нему торцом трубки интенсивность излучения увеличивалась. На рис. 3в показано свечение ПДС между электродом 5 и правым торцом трубки при включении одного генератора U2.
Изменение задержки между импульсами напряжения в пределах 1.85 мкс приводило к уменьшению интенсивности излучения ПДС в центральной части трубки между электродами 3, 4 по сравнению с режимом одновременного включения генераторов. При этом наибольшее уменьшение интенсивности излучения наблюдалось для режима (см. рис. 2б), когда совпадали первый пик тока I1 с пиком тока I2 той же полярности, который формировался на спаде импульса напряжения от генератора U2. В условиях совпадения во времени полярности пиков тока от генераторов U1 и U2 относительное уменьшение интенсивности свечения плазмы разряда проходило и при различных амплитудах однополярных пиков тока. Отметим, что измерения с помощью ФЭУ и ICCD-камеры в работе [12] показали, что ПДС в подобных условиях состоят из двух стримеров.
Для проверки режима столкновения стримеров, которые генерируются в ПДС первыми и имеют одинаковую полярность фронта, были проведены опыты в условиях использования импульсов напряжения одинаковой полярности и одновременного запуска обоих генераторов. Фотографии разряда в этих условиях показаны на рис. 4.
Рис. 4. Фотографии ПДС, инициируемых емкостным разрядом между электродами 2 и 3 от генератора U1 и между электродами 4 и 5 от генератора U2, полученные в режиме с импульсами напряжения одинаковой положительной полярности без коррекции яркости и контраста изображения при экспозиции 0.25 с (а), а также после двух уровней коррекции изображения той же фотографии (б) и (в). 2 и 5 — высоковольтные электроды, 3 и 4 — заземленные электроды. Стрелками показаны места установки световодов от спектрометра и ФЭУ. С1 — между электродами 3 — 4 на расстоянии 33 см от правого края электрода 3 и левого края электрода 4; С2 — на расстоянии 50 см от правого края электрода 3 и 16 см от левого края электрода 4; С3 — в центре между электродами 4–5. Световоды собирали излучение из области трубки шириной 1, остальная ее часть закрывалась черным экраном. Давление воздуха p = 1 Торр, f = 21 кГц. U1 ≈ U2 ≈ +7 кВ
На исходной фотографии 4а видны четыре ПДС, по две у каждой пары электродов. Как и на рис. 3в (см. также работы [10, 11, 13], они распространяются в обе стороны от плазмы емкостного разряда, создаваемой между кольцевыми электродами. Излучение в центре трубки между электродами 3, 4 подавлялось практически полностью (см. рис. 4). Было установлено, что диаметр ПДС с удалением от инициирующих ее электродов плавно уменьшается (см. рис. 4а). Так как диаметр ПДС определяется размерами стримеров, из которых она состоит, можно предположить, что диаметр фронта стримера также уменьшается при удалении от места его инициирования.
При разнополярных пиках импульсов тока, один из которых был первым (I1), а второй формировался на спаде импульса напряжения от генератора U2, значительного уменьшения интенсивности излучения в сталкивающихся стримерах не наблюдалось. Причина состоит в том, что возникают разные амплитуды пиков в импульсах тока. Осциллограммы импульсов тока и напряжения для такого режима при задержке между запуском генераторов 1.25 мкс показаны на рис. 2в.
Регистрация спектров излучения с различными задержками между включением генераторов проводилась в трех областях, показанных на рис. 4а вертикальными стрелками С1, С2 и С3 белого цвета. Часть полученных спектрограмм приведена на рис. 5 и 6а.
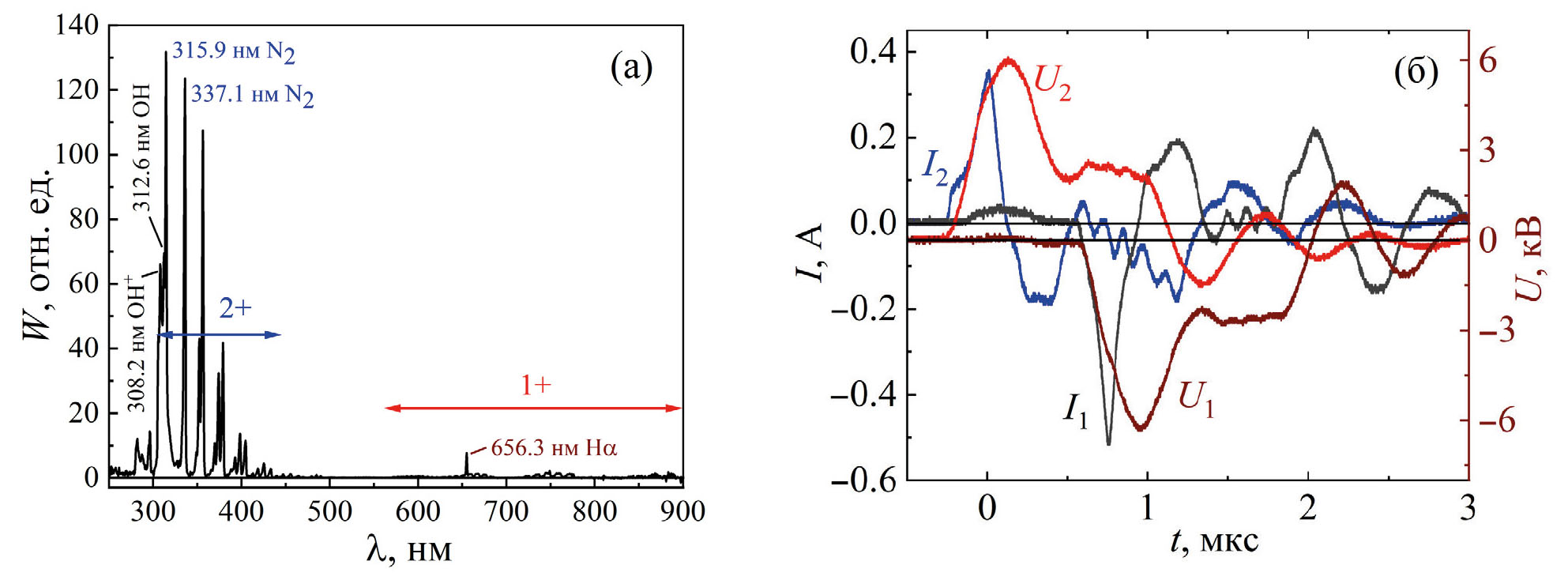
Рис. 5. Спектры излучения ПДС из области между электродами 4 и 5, отмеченной стрелкой С3 на рис. 4, при различной полярности генераторов и их одновременном запуске (а), а также при задержке включения генератора U1 на 1.25 мкс (б). 2+ — область спектра с наиболее интенсивными полосами второй положительной системы азота, в там числе 337.1 и 315.9 нм; 308.2 и 312.6 нм — максимумы полос молекул OH+ и OH с красным оттенением; Hα — линия атомарного водорода с длиной волны 656.3 нм, 1+ — область спектра с наиболее интенсивными полосами первой положительной системы азота. Давление воздуха p = 1 Торр, U1 = –7 кВ, U2 = +7 кВ. Экспозиции 3 с (а) и 20 с (б)
Рис. 6. Спектр излучения ПДС из области С1 между электродами 3 и 4 при различной полярности генераторов и задержке включения генератора U1 на 830 нс (а), а также осциллограммы тока и напряжения для этого режима (б). 2+ — область спектра с наиболее интенсивными полосами второй положительной системы азота; 308.2 и 312.6 нм — полосы молекул OH+ и OH с красным оттенением; Hα — линия атомарного водорода с длиной волны 656.3 нм, 1+ — область с наиболее интенсивными полосами первой положительной системы азота. Давление воздуха p = 1 Торр, U1 = –7 кВ, U2 = +7 кВ. Экспозиции 20 с (а)
В зависимости от режима возбуждения и места регистрации на спектрограммах наблюдались полосы 2+ и 1+ систем молекулярного азота, полосы молекул гидроксила OH+ и OH (наиболее интенсивные с l = 312.6, 308.2 и 306.4 нм), а также линия водорода Hα. Спектральная плотность энергии излучения W(1+) первой положительной системы азота была сравнительно малая. Однако, из-за излучения полос 2+ системы азота, полос молекул OH+ и OH в УФ-области спектра, которая не регистрируется фотоаппаратом и не заметна визуально, а также благодаря большому числу полос 1+ системы азота и их спектральной ширине, разряд, как и в работах [10–13], имел красный цвет. При одновременном включении генераторов U1 и U2 с разной полярностью максимальную интенсивность излучения имела полоса 2+ системы азота W(2+) с длиной волны 337.1 нм. Для этих условий осциллограммы напряжения и тока показаны на рис. 2а, фотографии — на рис. 3а и 3б, а спектр излучения — на рис. 5а.
При включении двух генераторов наибольшие плотности энергии излучения W на полученных спектрограммах и импульсные мощности излучения P были зарегистрированы для всех полос и линии водорода Hα из областей между электродами 2, 3 и 4, 5.
Между электродами 2, 3 и 4, 5 реализуются наибольшее приведенное электрическое поле, а также удельные энерговклады в газ, что и приводит к получению наибольших значений W. При включении одного генератора U1 наибольшие плотности энергии излучения регистрировались между электродами 2 и 3, а при включении одного генератора U2 — между электродами 4 и 5.
Большие значения W для полос 2+ и 1+ системы азота, полос OH+ и OH, а также линии Hα были получены из области между электродами 3 и 4 при одновременном включении обоих генераторов с разной полярностью. Если сравнивать спектры излучения для всех полос и линии водорода Hα, варьируя задержки между включением генераторов, то при одновременном включении двух генераторов с разной полярностью величины W в центре трубки были наибольшими.
Увеличение интенсивности W полос OH+ и OH по сравнению с их спектральной плотностью энергии излучения в работах [10–13] можно объяснить более высокой относительной влажностью воздуха, которая в данных экспериментах была около 40%.
При одновременном включении генераторов U1 и U2 с одинаковой полярностью величины интенсивностей W полос 2+ и 1+ системы азота в центре трубки были минимальны. Они были значительно меньше, чем при включении только одного из генераторов. Для излучения в красной области спектра это видно из сравнения фотографий на рис. 3в и 4а, которые были сделаны с одинаковой экспозицией 0.25 с. При включении одного из генераторов его полярность не оказывала существенного влияния на вид спектра излучения ПДС в центре трубки, но величины интенсивности излучения W на всех регистрируемых полосах и линиях были в несколько раз меньше, чем при включении двух генераторов с разной полярностью.
При вариации длительности задержек между запуском генераторов с разной полярностью было обнаружено, что при задержке на ≈ 830 нс запуска генератора U1 с отрицательной полярностью относительно запуска генератора U2 с положительной полярностью наибольшая интенсивность излучения регистрируется на длине волны 315.9 нм. Данная спектрограмма показана на рис. 6а. Увеличение величины W на длине волна 315.9 нм, как было установлено в результате анализа спектров, проходило в результате наложения на полосу 2+ системы молекулярного азота полос излучения молекул OH с длиной волны 312.2 и 306.4 нм, а также полос молекул OH+ с длиной волны 308.2 нм.
Кроме того, мог быть вклад и других полос молекул OH и OH+ с меньшей интенсивностью в этой области, которые имеют также красное оттенение. При задержке между запуском генераторов на ≈ 830 нс увеличение интенсивности на длине волны 315.9 нм было наибольшим. На рис. 6б видно, что паузы между отдельными пиками тока в этом случае минимальные. По-видимому, увеличение суммарной длительности тока разряда приводило к диссоциации бόльшего числа молекул воды и, таким образом, интенсифицировало образование и возбуждение молекул OH и OH+.
Исследования мощности излучения стримеров в ПДС с помощью ФЭУ, приемный конец световода которого устанавливали на различных расстояниях от электрода 4, подтвердило результаты, полученные с помощью спектрометра и фотоаппарата, по интенсивности излучения из плазмы разряда в различных областях трубки при столкновении ПДС. Позиции световода показаны на рис. 4а стрелками С1, С2 и С3 и соответствуют мощностям излучения P1, P2 и P3 из этих областей. ФЭУ регистрировал импульсы мощности излучения P преимущественно полос излучения 2+ системы молекулярного азота, которые имели наибольшие W и попадали в область чувствительности ФЭУ — спектральный диапазон 320–800 нм.
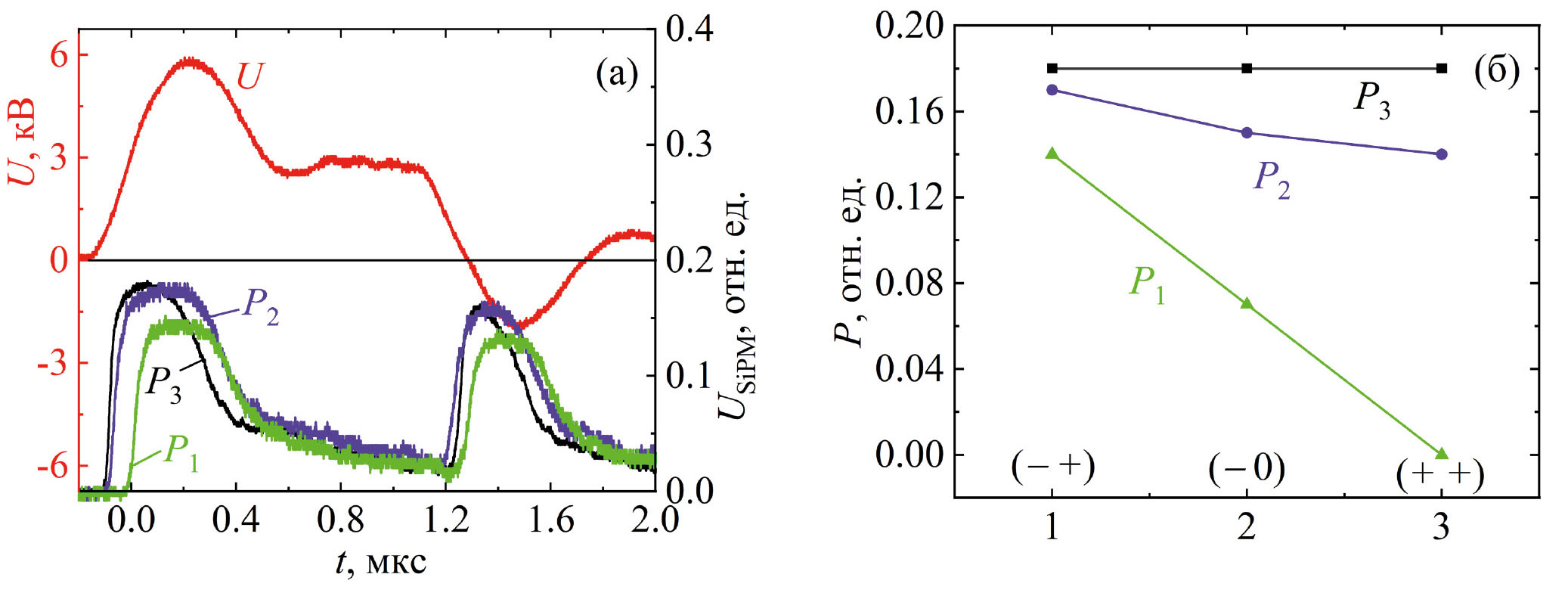
Как и в работе [12], из ПДС регистрировали импульсы излучения двух стримеров, которые генерировались в областях С1 и С2 в результате действия разнополярных пиков тока на фронте и спаде импульсов напряжения. На рис. 7 приведены импульс напряжения от генератора U1, импульсы излучения P1, P2 и P3 соответственно из областей С1, С2 и С3 при одновременном включении двух генераторов разной полярности (–U1 и +U2), а также максимальные амплитуды импульсов излучения P1, P2 и P3 при различных режимах.
Рис. 7. Осциллограммы импульса напряжения U с генератором +U2 и мощностей излучения P1, P2 и P3, которые регистрировалась ФЭУ при включении двух генераторов (–U1 и +U2) разной полярности, соответственно из областей С1, С2 и С3 (см. рис. 4а) (а), а также максимальные мощности излучения P1, P2 и P3 из областей С1, С2, и С3 соответственно, с одновременным включения как двух генераторов (–U1 и +U2) — 1, (+U1 и +U2) — 3, так и одного (–U2) — 2 (б). Цифры 1, 2 и 3 показаны на оси абсцисс. Давление воздуха p = 1 Торр, f = 21 кГц. |U1| ≈ |U2| ≈ 7 кВ
Проанализируем характеристики импульсов излучения P1 и P2 от первых стримеров в ПДС из областей С1 и С2, а также импульс P3 из области С3, в которой происходил начальный пробой воздуха внутри трубки и реализовались максимальные удельные энерговклады.
При записи большого числа импульсов напряжения было установлено, что их форма меняется от импульса к импульсу в пределах 10%. Это влияло на задержку между импульсами напряжения и излучения как от первых стримеров, так и от вторых, а также на задержки между первыми и вторыми импульсами излучения. Поэтому на рис. 7а приведены специально выбранные первые импульсы излучения, синхронизированные с импульсами напряжения, имевшими одинаковый фронт. Средние скорости движения фронта первых стримеров в этих условиях составили ≈ 0.2 см/нс межу областями С2 и С1 и ≈ 1 см/нс между областями С3 и С2. Средние скорости уменьшались при удалении от плазмы между электродами 4 и 5, которая инициировала ПДС. Их величины согласуются с данными, полученными ранее [10–13]. Для определения средних скоростей фронта ПДС брали разность между фронтом первых импульсов излучения на полувысоте сигнала. Скорости распространения вторых импульсов излучения планируем определить в будущих работах за счет модернизации генераторов и системы регистрации.
Мощность излучения P1 в области разряда С1 при одинаковой полярности генераторов регистрировали вблизи порога чувствительности аппаратуры. С увеличением расстояния от области С1 (соответственно, от электрода 3) и с уменьшением расстояния до электрода 4 мощность излучения начинала возрастать. В области С2 мощность излучения P2 составила около 94% от наибольшей мощности излучения P3, которая наблюдалась из области C3 при включении как одного генератора U2, так и обоих. При различной полярности генераторов мощность излучения P1 в области С1 составляла около 80% от P3. Отметим, что мощность P3 из области C3 не изменялась и оставалась наибольшей как при включении одного генератора U2, так и при одновременном включении обоих генераторов с разной и одинаковой полярностью (см. рис. 7б).
ОБСУЖДЕНИЕ ПОЛУЧЕННЫХ РЕЗУЛЬТАТОВ
В работе проведены исследования столкновения двух плазменных диффузных струй в воздухе низкого давления. При описании свойств ПДС мы использовали термин “стример”, имея в виду, что физический процесс, при котором формируется движущаяся область ионизации в результате действия высокого электрического поля, один и тот же в стримерах и волнах ионизации.
Плазменные диффузные струи формировались в длинной трубке с внутренним диаметром 5 см, заполненной атмосферным воздухом до давления 1 Торр. Они состояли из стримеров и генерировались в области плазмы емкостного разряда между двумя парами кольцевых электродов, на которые подавали импульсы напряжения одинаковой и разной полярности. При одинаковой полярности фронта первых стримеров в ПДС интенсивность излучения в области столкновения ПДС подавляется, как и при разряде низкого давления в неоне и аргоне [9]. Установлено, что в воздухе уменьшение интенсивности излучения ПДС и их диаметра проходит на длине трубки в десятки сантиметров, что можно связать с большой длиной фронта стримера в ПДС.
При разной полярности фронтов ПДС и, соответственно, первых стримеров в них интенсивность излучения в области их столкновения возрастает на полосах 2+ и 1+ систем молекулярного азота, полосах молекул OH и OH+, а также на атомарной линии водорода Hα. При этом область повышенной интенсивности излучения наблюдается на длине трубки около 66 см между электродами 3 и 4, что можно также связать с большой длиной фронта стримеров в ПДС.
Длина фронта стримера оценивалась по времени нарастания импульсов излучения на рис. 7а. Для импульса P1 длительность фронта составляла около 100 нс, а его средняя скорость между областями C2 и C1 составляла 0.2 см/нс. Соответственно, длина фронта ПДС и первого стримера в ней была около 20 см.
С увеличением внутреннего диаметра диэлектрической трубки до 15 см, когда влияние стенок существенно уменьшалось, ПДС также формировались, а их диаметр увеличивался. При частоте посылок импульсов f = 21 кГц, напряжении генератора равном 7 кВ и давлении воздуха p = 1 Торр диаметр ПДС возрос до 8 см. Расстояние между светящейся областью ПДС и внутренней стенкой трубки превышало 3 см, а ее длина составляла около 25 см.
Отметим, что если сравнивать при одинаковых приведенных диаметрах (пропорциональных N0 /N) скорость красных спрайтов [16, 27], которые формируются в открытом пространстве на высоте от уровня океана 65–70 м (концентрация частиц N) и скорость стримеров и лидеров [28–31], формируемых при атмосферном давлении (концентрация частиц N0), то она больше у красных спрайтов. В работе [27] это различие объясняется влиянием фотоионизации. Планируется использовать диэлектрические трубки диаметром 15 см и более для изучения этого эффекта, а также исследовать влияние давления воздуха на диаметр стримеров и ПДС.
ЗАКЛЮЧЕНИЕ
Проведенные исследования показали, что при столкновении движущихся областей ионизации, создаваемых высоким электрическим полем в воздухе при давлении около 1 Торр, образуются плазменные диффузные струи, и важную роль играет полярность их фронта.
Установлено, что задержка в инициировании ПДС от разных генераторов, а также полярность их фронта изменяют спектры излучения и характер свечения области их взаимодействия. При этом может наблюдаться как усиление, так и подавление спектральной плотности энергии излучения на различных полосах молекул азота, гидроксила и атомов водорода.
Повышение температуры и относительной влажности воздуха в результате изменения погоды может приводить к усилению спектральной плотности энергии излучения в полосах OH, OH+ и линии атома водорода Hα. Предполагается продолжить изучение процессов при столкновениях фронтов одного и нескольких последовательных стримеров во встречных ПДС, а также определить влияние частоты следования импульсов на напряжение зажигания разряда в различных экспериментальных условиях.
БЛАГОДАРНОСТИ
Авторы благодарят Г.В. Найдиса за полезные обсуждения, а Д.А. Сорокина — за поддержку данной работы.
ФИНАНСИРОВАНИЕ
Работа выполнена в рамках государственного задания ИСЭ СО РАН, проект № FWRM-2021-0014.
About the authors
V. F. Tarasenko
Institute of High-Current Electronics, Siberian Branch of the Russian Academy of Sciences
Author for correspondence.
Email: VFT@loi.hcei.tsc.ru
Russian Federation, Tomsk
N. P. Vinogradov
Institute of High-Current Electronics, Siberian Branch of the Russian Academy of Sciences
Email: VFT@loi.hcei.tsc.ru
Russian Federation, Tomsk
E. H. Baksht
Institute of High-Current Electronics, Siberian Branch of the Russian Academy of Sciences
Email: VFT@loi.hcei.tsc.ru
Russian Federation, Tomsk
D. S. Pechenitsin
Institute of High-Current Electronics, Siberian Branch of the Russian Academy of Sciences
Email: VFT@loi.hcei.tsc.ru
Russian Federation, Tomsk
References
- Vasilyak L.M., Kostyuchenko S.V., Kudryavtsev N.N., Filyugin I.V. // Phys. Usp. 1994. V. 37. No. 3. P. 247. doi: 10.1070/PU1994v037n03ABEH000011
- Ionikh Y.Z. // Plasma Physics Reports. 2020. V. 46. P. 1015. doi: 10.1134/S1063780X20100049
- Lagarkov A.N., Rutkevich I.M. Ionization Waves in Electrical Breakdown of Gases. New York: Springer Verlag, 1994.
- Василяк Л.М., Асиновский Э.И., Самойлов И.С. Энциклопедия низкотемпературной плазмы. Вводный том. Кн. II / Под ред. В.Е. Фортова. М.: Наука, 2000. С. 225.
- Anikin N.B., Zavialova N.A., Starikovskaia S.M., Starikovskii A.Y. // IEEE Transactions on Plasma Science. 2008. V. 36. No. 4. P. 902. doi: 10.1109/TPS.2008.924504
- Huang B., Zhang C., Qiu J., Zhang X., Ding Y., Shao T. // Plasma Sourc. Sci. and Technnol. 2019. V. 28. No. 9. P. 095001. doi: 10.1088/1361-6595/ab3939
- Asinovsky E.I., Lagarkov A.N., Markovets V.V., Rutkevich I.M. // Plasma Sourc. Sci. and Technnol. 1994. V. 3. № 4. P. 556.
- Xiong Z., Robert E., Sarron V., Pouvesle J.M. and Kushner M.J., 2012. // J. of Physics D: Applied Physics. V. 45. No. 27. P. 275201. doi: 10.1088/0022-3727/45/27/275201
- Shishpanov A.I., Ivanov D.O., Kalinin S.A. // Plasma Research Express. 2019. V. 1. № 2. P. 025004. doi: 10.1088/2516-1067/ab1b8d
- Tarasenko V., Vinogradov N., Baksht E., Sorokin D. // J. Atmospheric Science Research. 2022. V. 5. Iss. 3. P. 26. doi: 10.30564/jasr.v5i3.4858
- Tarasenko V.F., Baksht E.Kh., Vinogradov N.P., Sorokin D.A. // Optics and Spectroscopy. 2022. V. 130. № 12. P. 1490–1507. doi: 10.21883/EOS.2022.12.55234.4014-22
- Tarasenko V.F., Baksht E.Kh., Panarin V.A., Vinogradov N.P. // Plasma Physics Reports. 2023. V. 49. № 6. P. 786. doi: 10.1134/S1063780X23700393
- Sorokin D.A., Tarasenko V.F., Baksht E.Kh. et al. // Phys. Plasmas. 2023. V. 30. Art. no. 083515. doi: 10.1063/5.0153509
- Luque A. // J. of Geophysical Research: Atmospheres. 2017. 122. № 19. P. 10, 497. https://doi.org/10.1002/2017JD027157
- Köhn C., Chanrion O., Neubert T. // J. Geophysical Research: Space Physics. 2019. V. 124. № 4. P. 3083. https://doi.org/10.1029/2018JA025972
- Stenbaek‐Nielsen H.C., McHarg M.G., Haaland R., Luque A. // J. of Geophysical Research: Atmospheres. 2020. V. 125. P. e2020JD033170. https://doi.org/10.1029/2020JD033170
- Garnung M.B., Celestin S., Farges T. // J. Geophysical Research: Space Physics. 2021. V. 126. № 6. P. e2020JA028824. https://doi.org/10.1029/2020JA028824
- Базелян Э.М., Райзер Ю.П. Физика молнии и молниезащиты. М.: Физматлит, 2001. 320 с.
- Bogatov N.A., Syssoev V.S., Sukharevsky D.I., Orlov A.I., Rakov V.A., Mareev E.A. // J. of Geophysical Research: Atmospheres. 2022. V. 127. P. e2021JD035870. https://doi.org/10.1029/2021JD035870
- March V., Montanyа J. // Geophysical Research Letters. 2010. V. 37. P. L19801. https://doi.org/10.1029/2010GL044543
- Dwyer J.R., Uman M.A. // Physics Reports. 2014. V. 534. № 4. P. 147. https://doi.org/10.1016/j.physrep.2013.09.004
- Kochkin P.O., van Deursen A.P.J., Ebert U. // J. Physics D.: Applied Physics. 2015. V. 48. P. 025205. https://doi.org/10.1088/0022-3727/48/2/025205
- Da Silva C.L., Millan R.M., McGaw D.G., Yu C.T., Putter A.S., LaBelle J., Dwyer J. // Geophysical Research Letters. 2017. V. 44. No. 11. P. 174. https://doi.org/10.1002/2017GL075262
- Panchenko A.N., Sorokin D.A., Tarasenko V.F. // Progress in Quantum Electronics. 2021. V. 76. P. 100314. https://doi.org/10.1016/j.pquantelec.2020.100314
- Beloplotov D.V., Tarasenko V.F., Shklyaev V.A., Sorokin D.A. // J. of Physics D: Applied Physics. 2021. V. 54. No. 30. P. 304001. https://doi.org/10.1088/1361-6463/abfddc
- Nijdam S., Teunissen J., Ebert U. // Plasma Sourc. Sci. and Technnol. 2020. V. 29. № 10. P. 103001. doi: 10.1088/1361-6595/abaa05
- Stenbaek-Nielsen H.C., Kanmae T., McHarg M.G., Haaland R. // Surv. Geophys. 2013. V. 34. P. 769. https://doi.org/10.1088/1361-6595/abaa05
- Raether H. Electron Avalanches and Breakdown in Gases. London: Butterworths, 1964.
- Райзер Ю.П. Физика газового разряда. Долгопрудный: Интеллект, 2009. 736 с.
- Starikovskiy A.Yu, Aleksandrov N.L., Shneider M.N. // J. Applied Physics. 2021. V. 129. P. 063301. https://doi.org/10.1063/5.0037669
- Babaeva N.Yu., Naidis G.V. // J. Physics D.: Applied Physics 2021. V. 54. P. 223002. https//doi.org/10.1088/1361-6463/abe9e0
Supplementary files









