Diffusive-convective model of impurity transport in quasi-stationary plasma: criticism and alternative
- Authors: Shurygin V.А.1
-
Affiliations:
- National Research Center “Kurchatov Institute”
- Issue: Vol 50, No 8 (2024)
- Pages: 842-865
- Section: TOKAMAKS
- URL: https://medbiosci.ru/0367-2921/article/view/280606
- DOI: https://doi.org/10.31857/S0367292124080024
- EDN: https://elibrary.ru/OBFTJB
- ID: 280606
Cite item
Full Text
Abstract
In studies of impurity transport in quasi-stationary hot plasma, the initial kinetic equation and the diffusive-convective transport model take into account ionization and recombination as “sources and sinks” of particles. Due to the incompatible representation of the radial dynamics and charge kinetics of impurity charge states, this approach and the results obtained appear to be out of system. The basis for their systematic criticism is the ideas of the theory of random processes proposed by M.A. Leontovich in 1935 as a theoretical alternative to the gas-kinetic equation. In this case, the charge-radial transport of an impurity in a quasi-stationary plasma is defined as a syncretic vector random Markov process of charge state transport. Its coupling (ergodicity) in a two-dimensional Markov system excludes “sources and sinks” from it in principle, and the relaxation convergence is directed to the formation of equilibrium invariant density profiles. The impurity equilibrium and density profiles are specified by a system of invariant functions that provide analysis of any types of density profiles observed in experiments. Modeling of radial profiles of helium, boron and carbon impurities allows us to find variants of their transformation from accumulation in the center to concentration near the plasma edge, transport coefficients and systematic connection with plasma parameters.
Full Text
1. Введение
Примеси в плазме токамаков и стеллараторов во всем разнообразии экспериментов оказываются одновременно и неизбежны, и необходимы, поэтому их вполне можно было бы считать одной из системообразующих компонент плазмы. Исследования поведения примесей широко представлены и в проблематике, и в практике термоядерных исследований. Но для реакторной плазмы ключевыми нерешенными проблемами остаются перенос примесей, их стационарные распределения и контроль радиальных профилей плотности.
О фундаментальности проблемы переноса примесей, как и о недостаточности ее понимания, исследователи пишут с самого начала работ по управляемому термоядерному синтезу (УТС). Критика используемых подходов, связывает практически все стороны исследований от экспериментов и их моделирования до теорий.
Между тем понимание переноса примеси в плазме существенным образом зависит от того, как в описании представлены две основные группы процессов, включенные в перенос: динамика частиц и изменения их заряда вследствие ионизационно-рекомбинационных (ИР) процессов или, иначе, зарядовая кинетика примеси. Дело в том, что исходным и неявным предположением о природе переноса примесей в плазме и, по сути, стихийно сложившимся определением оказывается его отождествление с переносом частиц, начиная с известного обзора С.И. Брагинского [1]. То обстоятельство, что движение заряженных частиц сопровождается статистически независимыми случайными изменениями их заряда вследствие реакций ионизации и рекомбинации, совместными с переносом частиц в пространстве, явно недооценивается. Выражается это в том, что никаких различий между ключевыми понятиями переноса примесей и переноса частиц обычно не проводится.
Следствием отождествления оказывается предустановленная иерархия отмеченных процессов как в системе описания, так и в понимании природы переноса, поскольку в этом случае ведущими процессами a priori оказываются механизмы переноса частиц. Тем самым исследования переноса ограничиваются поисками соответствий экспериментам только таких механизмов (или их комбинаций). Определение роли и места ИР-процессов в стандартном описании в качестве внутренних “источников и стоков” частиц в одномерных (1D) уравнениях также ограничено, дополняя предопределение природы переноса.
Действительно, в многочисленных работах, посвященных переносу примесей, с небольшими вариациями используется известная система уравнений для плотностей совокупности (k = 0, 1, …, Z) зарядовых состояний (ЗС) частиц:
(1)
где , D и V – коэффициенты диффузии и конвекции, член справа – – интерпретируется как “источники и стоки” частиц, описывающие влияние ионизационно-рекомбинационных (ИР) процессов на перенос в виде комбинации:
, (2)
где и – полные (суммарные по процессам) скорости ионизации и рекомбинации соответственно. Систему линейных уравнений (1) и (2), применяемую в исследованиях переноса в качестве основания большинства известных расчетных кодов, принято считать одномерной (1D) моделью переноса (см. например, один из первых обзоров [2]). Мы будем далее называть ее стандартной диффузионно-конвективной моделью (СДКМ).
Анализ потоков частиц примесей до сих пор считался основной задачей СДКМ, так как ее решение позволило бы установить связи между параметрами плазмы и коэффициентами D и V, предсказываемыми в теориях переноса. Однако, постепенное совершенствование техники и точности измерений все более выявляет качественный разрыв предполагаемых связей между экспериментами и теорией. И уже в последних работах можно прочитать, например, что “недавние попытки измерить коэффициенты переноса примесей в токамаке Alcator C-Mod с использованием стандартных подходов не дали удовлетворительных результатов” [3]. Детальный анализ поведения примесей на токамаке ASDEX Upgrade приходит, в частности, и к тому, что “в настоящее время моделирование не в состоянии описать экспериментальные наблюдения. Нельзя сделать прямого вывода о том, какой транспортный механизм ответственен за расхождения между экспериментальными наблюдениями и предсказаниями моделирования, что мотивирует дальнейшую теоретическую и модельную работу по этой теме с использованием этих экспериментальных данных” [4].
Базу данных подобных исследований, полученных и опубликованных за несколько последних десятилетий, представляют сотни профилей плотности более двух десятков примесей от гелия до вольфрама вместе с профилями параметров плазмы и вычисленных коэффициентов D и V. Тем не менее, примеров их моделирования, то есть систематического воспроизведения профилей плотности, а тем более, целостной картины их трансформации в работах практически нет, тогда как соответствия анализируемых механизмов переноса измерениям остаются локальными (по сечению) и крайне фрагментарными.
Как следствие, СДКМ и сложившийся на его основе стандартный подход к исследованию примесей оказываются объектами критики сразу с нескольких направлений. Во-первых, следует отметить критику несоответствий СДКМ наблюдениям, подобную приведенной выше. Во-вторых, это работы, где фактически признаваемый провал стандартных попыток моделирования переноса, в частности, на установках ASDEX Upgrade [4], Alcator C-Mod [3, 5], DIII-D [6] сопровождается попытками исправить ситуацию в рамках Байесовского подхода, используя статистический алгоритм МСМС (Markov chain Monte Carlo) [7]. В-третьих, критика СДКМ неизбежно направлена к системным основаниям – кинетическому уравнению Больцмана, в частности, к критике их общей концепции “источников и стоков”, намеченной в обзоре С. И. Брагинского [1] и в явном виде представленной в теории неоклассического переноса [8].
Наконец, последовательная детальная критика стандартной модели сопровождает разработку ее физической альтернативы: теории переноса ЗС-примесей [9–11].
Прежде всего, следует обратить внимание на вполне очевидные качественные соотношения и нерешенные проблемы стандартного описания переноса: из того факта, что число частиц и число ЗС-примеси совпадают, вовсе не следует, что их движения (переносы) в плазме также совпадают. Ясно, что из-за ИР-процессов, перенос ЗС и перенос частиц далеко не одно и то же. Более того, учитывая случайный характер элементарных процессов в общем зарядово-радиальном вероятностном пространстве, необходимо заметить, что отделить динамику частиц от кинетики ЗС в описаниях так, как это произвольно делается в уравнениях линейной системы (1–2), невозможно в принципе.
С другой стороны, возможность частиц примеси оказаться принципиально в любом зарядово-радиальном состоянии означает вероятностную связность всех ЗС в единую 2D-систему и представляет ее эргодическое свойство в качестве случайного марковского процесса. Анализ такой 2D-системы ЗС и ее свойств позволяют, в частности, раскрыть в этой системе нелинейные связи динамики и кинетики ЗС примеси [9, 10].
Таким образом, основанием теории переноса ЗС служат идеи и понятия теории случайных марковских процессов, связывая отмеченные направления критики, обеспечивая и анализ СДКМ, и наиболее полно раскрывая обнаруженные “фатальные недостатки” стандартной модели [11]. Последние группируются, как будет показано ниже, вокруг того обстоятельства, что в СДКМ радиальная динамика и зарядовая кинетика примеси входят аддитивно (линейно) как несовместные элементарные процессы.
Известно, что физические свойства смешанной (векторной) случайной связанной (эргодической) марковской системы (а в нашем случае, в частности, зарядово-радиальной системы ЗС-примеси) исключают в принципе в своем описании любые “источники и стоки” (см. например, [7]). С другой стороны, идея “источников и стоков” является системообразующей и для СДКМ, и исходного для нее кинетического уравнения Больцмана. Решение противоречия предлагает, на наш взгляд, системная критика последнего, которую можно обнаружить в работе М.А. Леонтовича “Основные уравнения кинетической теории газов с точки зрения теории случайных процессов” [12], выполненной задолго до термоядерных исследований в 1935 г., но, к сожалению, оставшейся за рамками работ по УТС.
Предлагаемая теоретическая альтернатива – переход к марковскому анализу поведения систем дискретных состояний частиц и, в частности, систем ЗС примесей в плазме: “Схемой, на основе которой может быть построена теория, свободная от указанных недостатков, является представление, что процессы в системе (газе) следует рассматривать как случайные процессы, происходящие по схеме цепи Маркова (схема с вероятностями переходов)” [12].
Таким образом, идеи теории случайных марковских процессов востребованы, с одной стороны, как инструменты критического анализа внесистемных свойств, неявных предположений и терминологических недоразумений СДКМ, а с другой – как перспектива разработки физической альтернативы, представленной в данной работе.
Предлагаемая работа имеет обзорный характер. Во второй части кратко рассмотрены наиболее важные, на наш взгляд, результаты и интерпретации, появившиеся в рамках СДКМ. В третьей части дается критический анализ оснований СДКМ. В четвертой предлагается аппарат необходимых понятий теории случайных марковских процессов. В пятой части представлен теоретический анализ системы зарядово-радиального равновесия и переноса примеси, приведены результаты моделирования трансформации наблюдаемых в экспериментах профилей плотности легких примесей, дополняющие работу [11].
2. Диффузионно-конвективный перенос примеси
Система уравнений (1–2) СДКМ появилась в начале 1970-х почти одновременно в нескольких работах, посвященных исследованию профилей плотности и радиальной диффузии легких примесей в плазме токамаков [13–16]. Но вначале появилась модель [13], представляющая специальный интерес, поскольку составлена из тех же 1D-уравнений, из которых позднее были скомбинированы уравнения (1–2) СДКМ. Во-первых, в нее вошло уравнение непрерывности для полной плотности примеси – прямое следствие уравнений (1–2), получаемое их суммированием
(3)
где и .
Во-вторых, – система уравнений, описывающих движение частиц по зарядам k в результате ИР-процессов в плазме, т.е. зарядовую кинетику примеси
(4)
Вполне ясна исходная идея СДКМ: учесть на общих основаниях в одной системе обе группы процессов – как радиальный перенос, так и зарядовую кинетику, в частности, найти стационарный 1D радиальный перенос как суммарный баланс потоков в совокупности процессов. Для этого правая часть СДКМ – система – была заимствована из уравнений (4) в качестве “источников и стоков” для общего 1D анализа переноса частиц.
Однако, проблема такой теоретической интерпретации СДКМ, выстроенная на отмеченных неявных предположениях, до сих пор не получила последовательного решения. В частности, так и не была установлена прямая связь модели с кинетическим уравнением, а “источники и стоки”, введенные в уравнения и там, и там, остаются на исходном уровне предполагаемой связи модели с кинетическим уравнением [15]. В результате предсказываемые в теориях коэффициенты D и V до сих пор не позволяют, как отмечено выше, найти систематическое соответствие модельных профилей плотности измерениям.
2.1. Ионизационно-рекомбинационные процессы и СДКМ
Практически каждая экспериментальная установка, где ставились задачи исследования переноса примесей, использовала тот или иной вариант СДКМ в виде транспортных кодов таких, например, как MIST [17], STRAHL [18], SANCO [19], ITC [20], ZIMPUR [21].
Эмпирическим основанием критики СДКМ можно было бы считать многочисленные и в целом неудачные попытки моделирования наблюдаемых профилей плотности отдельных ЗС средних и тяжелых примесей на ряде установок. Почти везде в той или иной форме делались выводы о низкой чувствительности СДКМ к D и V. Например, для Ar – в TEXTOR-94 [22] и ASDEX Upgrade [23], Cr – в TFTR [24], Fe – в PLT [25], Ni – в TFTR [24] и DIII-D [26], Ge – в TFTR [27], Mo – в PLT [28], W – в ASDEX Upgrade [29, 30] и T-10 [31].
Чем выше Z исследуемой примеси, тем заметнее становилось отсутствие связи между правой и левой частями модели (1) и тем ниже была чувствительность модели даже к аномальным (по отношению к предсказаниям неоклассической теории) значениям D и V. Но в случае тяжелых примесей, в частности для вольфрама, чувствительность к D и V вообще исчезает и никаких сведений о переносе тяжелых примесей СДКМ уже не дает. Иначе говоря, стандартное моделирование обнаружило расщепление системы (1) на два тривиальных баланса, общих с уравнениями (3) и (4): диффузионно-конвективного и зарядового (ионизационного). Позднее обойти эту проблему попытались измерения полной плотности nZ(r), используя анализ D и V в уравнении (3) – следствии СДКМ , в частности, для легких примесей, где “источники и стоки” не влияют на перенос частиц [32–34].
Между тем уже в начале 1980-х стандартная модель пришла в явное противоречие с экспериментами на токамаке TFR: “в пределах существующих неопределенностей в коэффициентах скорости ионизации и диэлектронной рекомбинации ионы тяжелых примесей находятся в ионизационном равновесии” [35]. Фактически это было открытием и свидетельством тривиальных балансов СДКМ в стационарном случае, того, что . Параметром, описывающим радиальные профили плотности примеси, находящейся в ионизационном равновесии (ionization equilibrium, IE), оказалось отношение ИР-скоростей [36], то есть инвариант зарядового распределения. Подобным образом исследования на токамаке Alcator C-Mod [37] пришли к тому, что “точный расчет ионизационного баланса имеет решающее значение для получения точной центральной концентрации молибдена”.
В конце 1970-х и начале 1980-х гг. в ряде работ было также обнаружено, что неопределенности скоростей автоионизации и перезарядки примеси на нейтральном водороде имеют критическое значение для определения D и V в рамках стандартной модели (см., например, [25]). В частности, перезарядка примесей приводит к заметному сдвигу IE по заряду (см., например, [38–40]), тогда как влияния фото- и диэлектронной рекомбинации, а также радиального переноса оценивались как незначительные [41].
Казалось бы, эффект перезарядки необходимо было систематически учитывать в расчетах , корректируя скорости . Однако практически этим, как правило, пренебрегали. Причину неполного описания , дискредитирующего расчеты СДКМ, раскрыл автор руководства к коду STRAHL: “…при расчете ионизационного баланса CX-реакциями обычно пренебрегают. Основная причина этого заключается в том, что плотность нейтрального водорода и температура нейтралов Tn не так легко доступны, как ne и Te, но необходимы для расчета соответствующих скоростей СХ-реакций.” [42].
В частности, систематические измерения профилей плотности нейтрального водорода на JET не проводились, тогда как оценки относительной плотности нейтрального водорода , определяющей скорости перезарядки, различались иногда на 2–3 порядка. Так, величины в центре крупных токамаков, таких, например, как TFTR и JET, оценивались как пренебрежимо малые: для JET в центре, а вблизи края плазмы (см. рис. 2б, в [43]). Но в целом изменения IE из-за переноса и перезарядки оценивались (например, для аргона в [43]) как сопоставимые, тогда как влияние переноса на IE считалось слабым. Однако для почти плоских профилей плотности интерпретация приходила к тому, что вблизи края плазмы [44].
Общая картина влияния перезарядки на оценки переноса вполне понятна: чем ниже были ее абсолютные скорости, тем значительнее оказывался дисбаланс в комбинации , и тем более чувствительной к D и V становилась СДКМ. Поэтому данные, наиболее перспективные с точки зрения той или иной теоретической интерпретации переноса, оказывались связанными либо с занижением, либо с игнорированием эффектов перезарядки.
До сих пор рекомбинация через перезарядку на нейтральном водороде остается плохо учитываемым процессом, но при этом доминирующим в случае легких примесей. Перспективным разрешением затруднений мог бы быть отмеченный выше переход к упрощенной модели (3), где должна была проявиться необходимая чувствительность к D и V, а с ней и определенность интерпретации переноса. Однако этого не произошло.
Вопреки исходным предположениям о природе переноса определяемые D и V не представляли потоки частиц [9–11], предсказываемые в теориях. Дело в том, что уже в СДКМ необходимо было учитывать тот факт, что зарядовая кинетика примеси представляет самостоятельный вид переноса [45, 46]. При ее вероятностном наложении на перенос частиц следовало рассматривать уже иной обобщенный смысл переноса примеси, как 2D-перенос ЗС [47–49], а не частиц. Но количественно такая интерпретация, предложенная в рамках СДКМ, оставалась прочно связана с недостатками системы (1–2).
В исследованиях переноса продолжали использоваться ограниченные 1D представления, хотя и скомбинированные из разнообразия теоретических механизмов переноса и потоков только частиц, считая 1D-функцией числа частиц, концентрируясь на анализе потоков частиц даваемых D и V (см. например, [4, 50]).
Практически все попутно возникающие здесь серьезные физические проблемы: и открытие IE, и проблемы отношения его к переносу, и вопросы по скоростям ИР-процессов и, в частности, по перезарядке, и реальный вклад зарядовой кинетики исследователи предпочитали, как правило, игнорировать, ограничиваясь 1D-анализом D и V.
Тем не менее, идея IE широко используется как в расчетах радиационных потерь, так и в оценках полной плотности примеси по интенсивности рентгеновского излучения [51–56]. Более того, при анализе ИР-скоростей примеси вольфрама в плазме токамака ASDEX Upgrade [29, 57] пришлось вернуться к открытию IE на TFR: пренебрегая переносом частиц в левой части СДКМ, скорости рекомбинации уточнялись на основании предполагаемого IE-зарядового равновесия примеси. Заметим, что его теоретическое обоснование для квазистационарной плазмы [9] открывает широкие возможности прямого анализа ИР-скоростей примесей в плазме и сравнения их с базами теоретических данных.
2.2. Проблемы интерпретации в СДКМ
В стационарном случае в рамках СДКМ между системой (1–2) и ее следствием, уравнением (3), возникает следующее противоречие: две модели и два подхода предлагают качественно различные интерпретации, – по сути два разных определения переноса для одних и тех же D и V. В первом случае для системы (1–2) дается интерпретация переноса и профилей с учетом влияния ИР процессов на перенос, то есть для . Во втором – это только динамическая интерпретация переноса частиц в терминах D и V в уравнении (3), и тогда комбинации могут быть любыми и, в частности, . Стационарный профиль находится здесь из равновесия диффузии и конвекции в уравнении , откуда , где коэффициенты оказываются жестко связаны с этим уравнением, и через отношение между собой, но при этом для их нахождения оказываются необходимы нестационарные исследования. В зависимости от знака (направления) V и отношения V/D получаются два предельных случая: примесь должна накапливаться либо в центре плазменного шнура, либо на его краю. Оба варианта наблюдаются в экспериментах, поэтому поиски необходимых D и V и соответствующих им потоков частиц ведутся во всем разнообразии неоклассических и турбулентных механизмов переноса частиц в рамках уравнения (3).
Так как согласование интерпретаций двух моделей для стационарной плазмы достигается лишь при условии тривиальных балансов, то использование СДКМ оказывается этим полностью дискредитировано, означая, что соотношение динамики и кинетики ЗС на качественном уровне представлено в СДКМ неверно. В свою очередь динамическая интерпретация уравнения (3) в терминах D и V (следствия СДКМ) также не находит последовательных теоретических объяснений для наблюдаемого разнообразия форм профилей , в частности, из-за фиксированного V/D [6].
Более того, на токамаке ASDEX Upgrade было отмечено, что “расхождения, наблюдаемые между экспериментальными наблюдениями и предсказаниями турбулентной теории переноса, выходят за пределы ошибок и указывают на пропущенный элемент в понимании процессов переноса примесей” [4].
Если же принять во внимание перенос примеси через зарядовое пространство, то есть учитывать обобщенный смысл переноса примеси, как переноса ЗС [46–49], который не сводим к динамике частиц, то можно заметить, что практикуемое удвоение интерпретации переноса указывает на нерешенную проблему связи динамики и кинетики ЗС, в частности, на то, что D и V в описаниях проявляют иной физический смысл.
Попробуем обнаружить это физическое качество переноса, используя данные измерений профилей . Обычно их не приводят вместе, фокусируя внимание на поиске различий форм из-за особенностей экспериментов, где они наблюдаются. Однако, равновесные профили разных примесей, наблюдаемые в разных экспериментах, связывают не различия, а, наоборот, их общие и вполне ясные инвариантные свойства.
На рис. 1 показаны три формы профилей плотности ряда примесей, наблюдаемые для разных типов и размеров установок, режимов удержания и нагрева при существенных различиях параметров плотностей и температур плазмы. Нетрудно заметить, что формирование профилей действительно может быть охарактеризовано как инвариантное в отношении и Z примесей, и разнообразия типов исследуемой плазмы: ее параметров, методов нагрева и режимов удержания вопреки интерпретациям СДКМ [11].
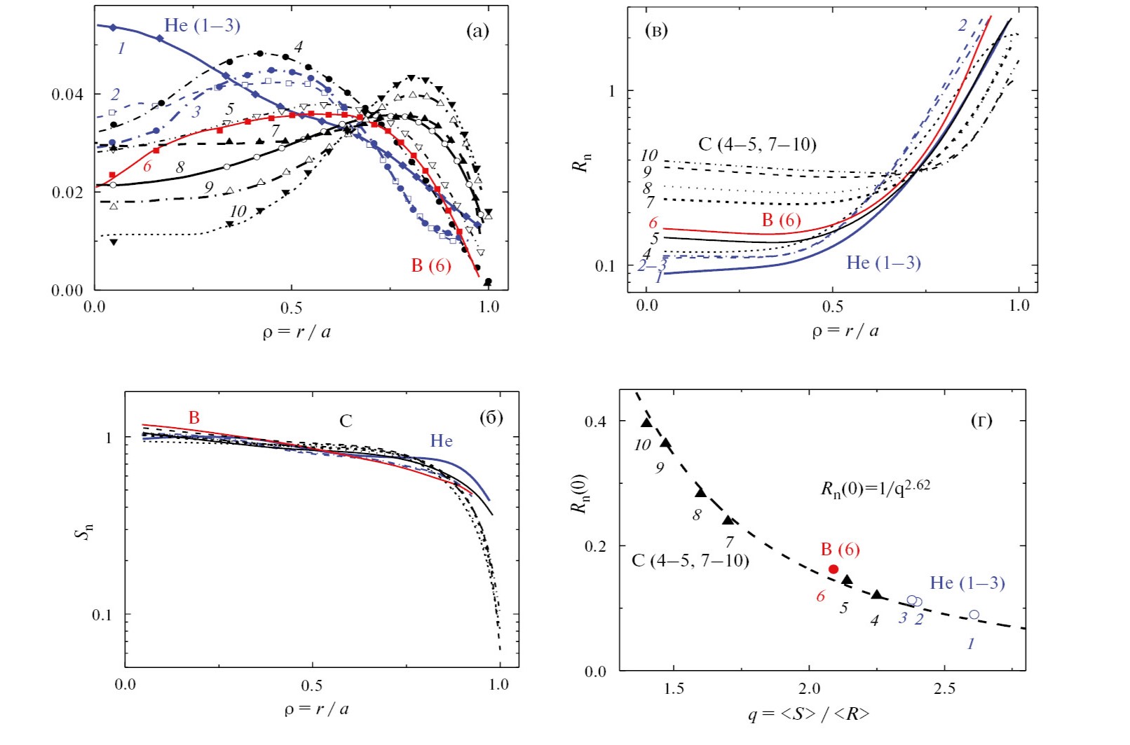
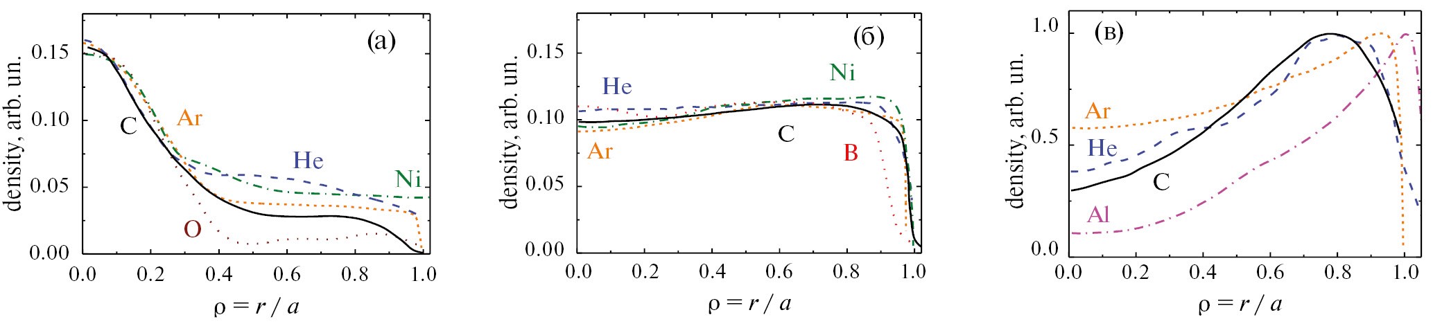
Рис. 1. Общие формы профилей плотности примесей, наблюдаемые в плазме токамаков и стеллараторов: (а) накопление примесей в центральной области; (б) почти плоские профили; (в) полые с накоплением примеси вблизи края. Данные на рисунках: (а) – Не (пунктир) (DIII - D [58]), C (сплошная линия) и O (точки) (TEXT [59]), Ar (короткий пунктир JET #52136 [44]), Ni (точки-пунктир JET #74354 [56]); (б) – He (пунктир, DIII - D [58]), C (сплошная кривая DIII - D # 180520 [60], B (точки, ASDEX Upgrade # 37112 [61]), Ar (короткий пунктир JET #53048 [44]), Ni (штрих-пунктир, JET #58149 [62]); (в) He (пунктир LHD, t = 4.07 c [63], C (сплошная линия, L - mode ITB in LHD [34], Al (штрих-пунктир, HL-2A, ECRH, t = 601 ms, [64]), Ar (мелкий пунктир, JET #52146 [65]).
На первый взгляд измерения профилей представленные на рис. 1, отвечают динамической интерпретации, предполагающей, что перенос примеси совпадает с переносом частиц, и исключает влияние зарядовой кинетики. Но такая интерпретация подходит только для легких примесей, тогда как для средних и тяжелых, как отмечено выше, установлена прямая связь профиля с отношениями ИР скоростей и зарядовым равновесием. В этих случаях динамическая интерпретация меняется на кинетическую (такую, где ), также дискредитирующую как СДКМ, так и ее следствие (3), но уже с противоположной (по Z) стороны. Кроме того, и она не решает проблемы связи частей СДКМ, игнорируя ее и противореча исходной идее СДКМ.
Более того, было обнаружено также, что для одних и тех же условий в плазме накопление одних примесей в центре плазменного шнура не сопровождается накоплением других примесей [53, 66].
Таким образом, интерпретацию профилей, показанных на рис. 1, можно было бы считать наглядной иллюстрацией проблемы инвариантности переноса примесей, не замечаемую и не решаемую в СДКМ. Вопреки стандартным представлениям модели (3) разнообразие и инвариантность форм профилей , обнаруженные в экспериментах, не могут быть определены в терминах переноса частиц, и это требует иного физического качества для коэффициентов D и V, – их инвариантности в описании также инвариантных .
3. Анализ и критика СДКМ
Описанные выше проблемы отношений между двумя частями СДКМ в общей форме можно было бы рассматривать как физику системы ЗС примеси, включающей радиальную динамику (перенос частиц) и зарядовую кинетику в зарядово-радиальном, то есть в смешанном 2D-фазовом пространстве. Исходные физические представления относительно этих процессов и их связях в системе ЗС состоят в том, что, во-первых, они качественно различны, во-вторых, статистически независимы и, наконец, главное, они совместны, то есть накладываются – пересекаются – по всей плазме. Как показано далее, ни одно из них не согласуются с СДКМ и не рассматривается в этих представлениях. Иначе говоря, физические свойства такой системы и есть “пропущенный элемент”, выпадающий из общепринятого анализа, не представленный ни в одной из стандартных интерпретаций.
3.1. Смешанные задачи
В уравнениях (1–2) представлено аддитивное (линейное) смешение качественно различных 1D-задач (3) и (4), поэтому их переменные нетрудно было бы разделить
, (5)
чтобы вернуться к исходной модели [13], где, напомним, первая задача – уравнение непрерывности (3) для , а вторая – система уравнений для функции распределения примеси по ЗС . Известно, что в теории случайных процессов такая система уравнений описывает процессы “гибели и размножения” [67], а комбинация (2) строго выводится. Отсюда она и заимствована в СДКМ. Исключая из системы (4) переменную , получаем систему уравнений для функции распределения примеси по ЗС
(6)
где правая часть представляет уже не “источники и стоки”, а матрицу-оператор из ИР-скоростей, использованную в уравнениях (1–2). Матричное уравнение (6) перепишем в виде
(7)
где K – трехдиагональная вещественная вырожденная матрица Якоби из скоростей ИР-процессов, представляющая случайные процессы переноса в зарядовом пространстве или, иначе, кинетику ЗС [45–47].
В самом деле, стационарная зарядовая кинетика примеси – это, прежде всего, 1D-случайный процесс в зарядовом фазовом пространстве. Как известно, стационарное решение системы (6) (т.е. матричного уравнения из (7)) дается только отношениями скоростей ионизации и рекомбинации, [46, 47], обнаруживая тем самым инвариантность зарядовых распределений разных примесей. Поэтому решение для не зависит от количества частиц . Иначе говоря, в стационарной плазме зарядовая кинетика не может быть функцией числа частиц из “источников и стоков”.
Стационарное зарядовое 1D-распределение формируется в процессе сходимости случайного процесса зарядовой кинетики к инвариантному распределению, которое задано отношениями финальных скоростей матрицы K, то есть задано ее дискретной инвариантной функцией . Так как все ЗС обладают свойством транзитивности, то есть существует ненулевая вероятность перехода частицы примеси в любое из Z+1 состояний, то это означает, что существующая в зарядовом вероятностном пространстве система ЗС оказывается связной (эргодической) марковской системой и в этом качестве уже не имеет ни источников, ни стоков частиц-состояний.
Казалось бы, прямое заимствование матричной комбинации (2) в уравнения СДКМ и последующее смешение дискретного описания зарядовой кинетики с радиально-континуальным представлением динамики должно было бы иметь обоснование. Но за полвека модельной практики его не появилось, тогда как интерпретация ограничивалась концепцией “источников и стоков” в рамках только 1D-анализа.
Между тем, в практике СДКМ ситуация не могла оставаться в этих рамках: после дискретизации системы (1–2) вопреки исходному заявлению об одномерности модели на самом деле приходилось решать 2D-транспортную систему, признавая, что “разностная формулировка весьма схожа с формулировкой двумерного уравнения переноса” [68].
За терминологическими искажениями следовал ряд других формальных недостатков СДКМ – следствий смешения задач и произвольного заимствования 1D-матричной комбинации (2) для 2D-смешанной транспортной задачи. Рассмотрим их.
1. Прежде всего, вычисляемая в той или иной форме радиальная динамика частиц была качественно отлична от кинетики ЗС: у них разные фазовые пространства, тогда как равновесие зарядово-радиальной (2D) системы представляется двумя отдельными балансами [9]. В частности, поэтому = 0, что и было обнаружено в экспериментах [35–37]. Тем самым зависимость от как от внутренних “источников и стоков” оказалась неявным предположением СДКМ, лишенным системных оснований.
2. Строгий вывод заимствованной матричной комбинации , относится только к 1D фазовому пространству ЗС, так как основан на теореме суммирования вероятностей, где определяется 1D-система попарно-несовместных событий [67]. Для смешанного зарядово-радиального 2D-пространства СДКМ этот 1D-вывод, разумеется, уже не подходит. Поэтому заимствование в смешанное фазовое пространство формально ошибочно, так как изначально подразумевает использование 2D-системы попарно-несовместных событий.
3. Из-за наложения зарядовой кинетики на динамику частиц при корректном описании этих совместных процессов необходимо учитывать перекрестные члены дивергентного и матричного операторов в (1–2). Отсюда следует, что радиальная динамика и зарядовая кинетика представлены в СДКМ как несовместные 1D-процессы и, следовательно, их баланс вычисляется неверно.
4. Вопреки 1D-терминологии “источников и стоков” матрица K вместе с дивергентным оператором не может не определять вид общего решения системы (1–2) как матричного 2D-уравнения. Так для простых частных случаев можно найти аналитические решения системы (1–2) как 2D-матричного уравнения [48, 49], используя ее спектральное разложение: системы собственных векторов и собственных значений. В частности, корректные граничные условия даются этими системами собственных векторов и значений 2D-матричного уравнения (1–2), также вопреки терминологии “источников и стоков”.
5. Фазовая ячейка уравнения непрерывности (3) принципиально сжимаема, а равновесие в ней, – это равновесие между диффузией и конвекцией частиц. Напротив, фазовая ячейка уравнения (4) в дискретном фазовом пространстве ЗС фиксирована (с относительным размером равным ). Тем самым смешанная 2D-фазовая ячейка, которая отвечала бы зарядово-радиальному равновесию в уравнениях (1–2) СДКМ, должна иметь противоречивые свойства: она может иметь сколь угодно малый радиальный размер, но в стационаре должна уравновешивать фиксированный поток из дискретного зарядового пространства. Такое возможно только в тривиальном случае, когда оба потока равны нулю. Более того, только такое условие восстанавливает изначально предполагаемую статистическую независимость качественно различных процессов, но тогда фазовая ячейка системы (1–2) не может быть определена в принципе.
6. Матричные комбинации взяты в единственной точке по радиусу плазменного шнура r так, как если бы радиальное пространство было бы не континуальным, а также дискретным. Но в континуальном случае вероятности (и потоки) атомных ИР процессов при нулевом или сколь угодно малом (сколь угодно сжимаемом) радиальном интервале формально либо равны нулю, либо приближаются к нулю. Это приводит (после дискретизации) к системе попарно-совместных радиальных состояний, что противоречит упомянутому правилу расчета вероятностей. Более того, нетрудно установить, что предполагаемый баланс потоков после дискретизации не отвечает необходимому условию 2D-равновесия [9–11].
7. Следствием линейного смешивания радиальной динамики и зарядовой кинетики оказываются некорректные граничные условия системы СДКМ и неизбежно возникающие фиктивные потоки, обнаруженные при анализе [2, 49, 69]. В самом деле, типичным граничным условием, принимаемым в кодах по переносу [17–22], служит условие ( , а – малый радиус плазменного шнура). Нетрудно убедиться, что оно противоречит нормировке , так как тогда . Таким образом, корректных граничных условий для в СДКМ не существует.
Очевидно, что решение последней проблемы дается разделением задач и переменных (5), когда в уравнении (1) вместо переменной используется либо и получается уравнение (3), либо в уравнении (1) используется переменная [48, 49].
В стационарном случае самосогласованный анализ динамики и кинетики ЗС показывает [9–11], что решение задачи (6) оказывается условием решения задачи (3), а не наоборот, так как из равновесия 2D-системы следует, что , что и было обнаружено экспериментальной работе [37], соответствующая цитата из которой приведена выше. Этим соотношением корректная постановка смешанной задачи для системы (1–2) оказывается исключена.
Между тем, физика отношения динамики и кинетики ЗС-примеси не сводится к анализу формальных недостатков стандартной модели. Поэтому далее необходимо рассмотреть общие свойства кинетического уравнения Больцмана, куда согласно исходным предположениям и представлениям о переносе [1, 8] были введены “источники и стоки”.
3.2. Кинетическое уравнение: проблема “источников и стоков”
Согласно общепринятым представлениям (см. например, [1, 8, 15]), “источники и стоки” возникают в системе кинетических уравнений, и затем – в системе (1–2). Однако прямой связи кинетического уравнения Больцмана с СДКМ установлено до сих пор не было. Поэтому до сих пор эта связь остается только предположением, которое необходимо для согласования СДКМ с теориями переноса.
Обратим внимание на различные способы интерпретаций “источников и стоков” в обзоре С.И. Брагинского и в неоклассической теории [8]. Если в обзоре они связываются с интегралом столкновений и представлены как “скорость образования частиц a (k – в нашем случае. – В.Ш.) в единице объема” [1], то в неоклассической теории для них вводится дополнительный член справа в общепринятых уравнениях вида
(8)
где и – масса и заряд частиц сорта k, и – векторы, отвечающие положению и скорости частиц, – число частиц в шестимерной фазовой ячейке, – оператор кулоновских столкновений, – предполагаемые “источники и стоки” частиц в k-ом ЗС, связанные с ИР процессами.
Переход к системе (12) СДКМ связан, как известно, с интегрированием уравнений (8) по скоростям. Но тогда в СДКМ возникает переменная и происходит смешение задач, формально недопустимое и бесперспективное, как было показано выше. Предполагаемая связь СДКМ и уравнений (8) должна, по-видимому, даваться следующим соотношением, определяющим “источники и стоки”:
. (9)
Но в каком бы виде “источники и стоки” ни были введены в уравнения (1), (8) или (9) (в соответствии с исходной идеей СДКМ) вместе с ними система частиц с дискретными ЗС неявно наделяется физическими свойствами процессов марковского типа, которые изначально в системе (8) не предполагались, не учитывались и не анализировались.
Другая проблема уравнений (8) связана с тем, что их интегрирование приводит к исчезновению силы Лоренца и магнитного поля из уравнений СДКМ: “Поскольку сила Лоренца не совершает никакой работы над частицами, уравнения моментов для двух четных моментов скорости низшего порядка, плотности и давления, явно не зависят от напряженности магнитного поля. Таким образом, ограничивающее магнитное поле влияет на эволюцию этих термодинамических переменных только неявно, через связь с нечетными конвективными потоками частиц” [8]. В результате сомнительное предположение (9) остается единственным явным представлением физических особенностей поведения примесей в плазме и в уравнениях (8), и в СДКМ. Если его отсюда убрать, а для этого, как мы можем предположить, есть серьезные основания, и просто ограничиться уравнением непрерывности (3), то в этом случае оказывается, что перенос примеси, отождествляемый с переносом частиц, будет представлен так же, как и в известном газокинетическом уравнении Больцмана (см., например, [12]).
Нетрудно заметить, что описание переноса в уравнении (8) вместе с соотношением (9) оказывается неявным следствием 1D газокинетической аналогии, где добавленные “источники и стоки” специфики плазменной задачи не учитывают, оставаясь в общих рамках газокинетической интерпретации переноса примеси как переноса частиц.
Между тем задолго до начала термоядерных исследований поводом для системной критики газокинетического уравнения Больцмана стал анализ поведения соответствующей системы частиц с дискретными состояниями, предложенный М.А. Леонтовичем [12]: “структура этой теории несомненно является очень несовершенной”, – отмечает автор, анализируя статистическое описание систем частиц-состояний в моно- и бимолекулярных процессах в газах. Вероятности “приходится приписывать значение некоторого статистического среднего (математического ожидания) от числа частиц в объеме ( в [8]. – В.Ш.) фазового µ-пространства, –и только тогда могут быть поняты необратимый характер уравнения (1) (т.е. уравнения Больцмана. В.Ш.) и вытекающие отсюда следствия. Однако в рамках самой теории смысл этого “математического ожидания” остается весьма нечетким, поскольку не рассматриваются вероятности, при помощи которых эти математические ожидания образованы”.
Из этой критики газокинетического уравнения для систем частиц с дискретными (в том числе и зарядовыми) состояниями в газе и в плазме следует необходимость вероятностного описания и, прежде всего, последовательное решение проблемы описания фазовой ячейки – “весьма нечеткой” шестимерной величины , куда не включены вероятности случайных процессов. Учет случайного характера элементарных процессов и изменений k (в случае плазмы) связан с предлагаемым включением их в описание функции распределения, переопределением фазовой ячейки и исключением “источников и стоков”. Действительно, в противоположном случае в выражениях, получаемых в рамках анализа как неоклассического (см. например, [52, 70]), так и турбулентного (см. например, [70]) переноса, приходится использовать произвольную величину k заряда ионов. Именно ей, в частности, “приходится приписывать значение статистического среднего”, то есть , но, очевидно, без определения самой дискретной функции распределения примеси по ЗС. Неопределенность возникает, например, там, где появляются частоты столкновений частиц, пропорциональные k2, то есть квадрату произвольного заряда.
Переход к понятиям теории случайных марковских процессов как подход, “свободный от указанных недостатков”, определяет зарядово-радиальный перенос примесей в плазме как случайный смешанный (векторный) марковский процесс. Только тогда проблема “источников и стоков” получает наконец свое решение. Дело в том, что в случайных марковских процессах из-за связности состояний в единую систему (эргодические свойство), “источники и стоки” в ней невозможны (см. например, [7]). Ясно, что уравнения (8) с дополнительным членом вида (9) не отвечают свойству связности (эргодичности) марковской системы дискретных ЗС примесей, но именно в этом и проявляется специфика поведения примесей в плазме.
Если в газах дискретные состояния частиц (атомов и молекул) описываются как внутренние при помощи набора квантовых чисел, а равновесие и континуальные пространственные распределения и распределения по состояниям отвечают принципу детального равновесия и определены оператором парных столкновений молекул [71], то в горячей плазме вследствие смешанных случайных процессов возникают качественно иные системы случайных дискретных ЗС-частиц. В зарядово-радиальном вероятностном пространстве плазмы с внешними дискретными зарядовыми распределениями их описание включает практически все компоненты плазмы: электроны, ионы и нейтральные частицы, дополняясь спонтанными радиационными переходами из-за автоионизации или радиационной рекомбинации. Многокомпонентное нелинейное взаимодействие плазмы с дискретной системой ЗС не сводится уже ни к больцмановскому интегралу парных столкновений, как в случае кинетики в газах, ни к добавлению “источников и стоков”.
4. Вероятностное представление переноса примесей
В самом общем виде поведение примесей в плазме определяется не только двумя группами известных процессов: атомных (A) реакций ионизации и рекомбинации и процессов переноса частиц (Т), но и системой нелинейных связей, неизбежно возникающей между ними. Структура и иерархия связей динамики и зарядовой кинетики примеси, – это следствие их качественного различия, статистической независимости и необходимой совместности в общем вероятностном пространстве, которых, как показано выше, нет ни в СДКМ, ни в кинетическом уравнении (8).
Введенное понятие переноса ЗС позволяет обратить внимание на ключевой для вероятностного описания факт, замеченный, в частности, в спектроскопии примесей [72, 73]: принципиально невозможно по эмиссии ЗС частицы установить, как возникло ЗС излучающей частицы, в результате ионизации, рекомбинации или после перемещения частицы с данным ЗС из другой области плазмы. Вероятностный характер переноса ЗС служит объяснением принципиальной неразличимости или, иначе, синкретизма потоков частиц и потоков их ЗС в смешанных процессах переноса [9, 11, 48, 49]. Но вероятностный синкретизм переноса ЗС есть следствие и проявление марковского свойства переноса: цепочки событий прошлого не представлены в будущем в отличие от настоящего состояния системы [7]. Марковские цепочки, смешивающие группы случайных совместных элементарных событий, образуют общее связанное зарядово-радиальное вероятностное пространство с общей алгеброй событий.
4.1. Алгебра элементарных событий переноса
Пространство элементарных событий и соответствующая ему алгебра событий групп А и Т, их пересечение представлены по всей плазме. Так как события А и Т статистически независимы, совместны и пересекаются везде в плазме, то они оказываются принципиально неразличимыми: в описаниях они не могут быть отделены друг от друга и сведены к описанию только одного из них или даны аддитивно (как в СДКМ). Вероятность , представленная в плазменных экспериментах через эмиссию примесей, может быть выражена следующими формулами:
(10)
где первое соотношение отражает специфику переноса: в плазме не может быть областей, изолированных от вероятностного наложения атомных реакций на перенос частиц, а второе уравнение – следствие такого повсеместного пересечения, и в уравнениях переноса ЗС выражается произведениями соответствующих вероятностей, указывая на нелинейность переноса примесей вопреки линейной 1D-интерпретации систем (1) и (8).
Следствием неразличимости динамики и кинетики ЗС оказывается распространение дискретности зарядовой кинетики на вероятностное пространство событий. Вероятностный синкретизм групп и их пересечение (10) приводят к тому, что такие свойства зарядовой кинетики как дискретность и связность (эргодичность) распространяются на поведение всей зарядово-радиальной системы ЗС, то есть на перенос примеси в целом.
Таким образом, перенос примеси необходимо рассматривать как единый синкретичный дискретный процесс зарядово-радиального переноса ЗС. Перенос частиц – часть переноса ЗС, не отделимая от него, но связанная с формированием равновесия [9, 11].
Уравнения (1–2) СДКМ не содержат произведений вероятностей и не учитывают алгебры событий (10) и их пересечения в плазме. Следовательно, вероятности, отвечающие описанию СДКМ, связаны противоположными соотношениями
(11)
где события групп А и Т представлены как несовместные, соответствуя линейному 1D описанию, предлагаемому и в СДКМ, и в исходном кинетическом уравнении (8).
Соотношения (10) и (11) позволяют различить имеющиеся подходы к исследованию переноса и альтернативные варианты иерархии групп А и Т в системе, как два способа интерпретации ее поведения или, иначе говоря, два альтернативных определения переноса примеси [11]. Первое определение – общепринятое отождествление переноса примеси с переносом частиц и, как следствие, представление о том, что в системах (1) и (8) ведущими являются процессы переноса частиц из группы Т, то есть столкновительные: классический и неоклассический, а также бесстолкновительные: турбулентный и микротурбулентный, включая их всевозможные полуэмпирические комбинации или даже предполагаемую нелинейную связь между ними [70]. Второе – определение переноса примеси как переноса ЗС – случайного смешанного (векторного) марковского процесса, где ведущими и определяющими зарядово-радиальные распределения плотности примеси в горячей квазистационарной плазме, оказываются процессы зарядовой кинетики группы А [11].
4.2. Стационарный смешанный (векторный) случайный процесс
Зарядово-радиальный или, в общем случае, случайный векторный марковский процесс задается [7, 74] векторной случайной переменной , связывающей радиальную динамику, , и зарядовую кинетику, . Однородная (стационарная) марковская цепь определяется соотношением условных вероятностей
(12)
где влияние состояний на распределение, определяемое переменной в момент , зависит только от распределения , но в принципе не зависит от синкретичной предыстории перехода в него, которая не различает процессы и . Условная вероятность перехода между любыми двумя последовательными состояниями и также синкретична и задается переходной вероятностью . Так как существует ненулевая вероятность перехода из любого состояния системы в любое другое во всей области определения процесса – области равновесия в плазме, как следствие, возникает связность (эргодичность) всех ЗС в 2D-систему. Принципиальным следствием эргодичности системы ЗС-примесей в стационарной плазме является отсутствие источников и стоков во всей зарядово-радиальной системе ЗС. Здесь все зарядово-радиальные состояния системы являются транзитивными и относятся к общему классу. Кроме того, эргодичность предполагает и апериодичность процесса: отсутствие замкнутых в циклах и захваченных групп ЗС.
Таким образом, теоретическая интерпретация связей между динамикой и кинетикой ЗС как векторной системы случайных событий дает исчерпывающее решение проблемы “источников и стоков”: их в системе нет. Марковское свойство связности радиальной динамики и зарядовой кинетики в вероятностном пространстве и есть “пропущенный элемент” понимания переноса примеси в квазистационарной плазме.
По общему правилу для однородной (равновесной и стационарной) цепи Маркова обязательно существует эргодический предел – распределение , к которому независимо от начального сходится временная эволюция процесса при . Ненулевая вероятность перехода стационарного (однородного) процесса в любое из случайных состояний помимо системной связности переноса имеет следствием сходимость процесса к инвариантному пределу – квазистационарному распределению плотности примеси по сечению плазмы. Возникающее вследствие сходимости равновесное инвариантное распределение определяется переходными вероятностями в виде [7]
(13)
где первое равенство – использование формулы Байеса для соответствующих условных вероятностей. В любых меняющихся условиях в плазме инвариантное распределение будет изменяться соответственно, но в качестве релаксационного предела случайного векторного процесса оно существует в любой момент времени.
4.3. Критика 1D байесовского подхода
Применения Байесовского подхода и алгоритма MCMC к исследованиям примесей в плазме токамаков Alcator C-Mod [3, 5, 75] и DIII-D [6, 60] объединяет общее признание провала стандартной методики анализа переноса. И эти выводы находятся в согласии с цитированными выше обобщениями, сделанными также и на токамаке ASDEX Upgrade [4]. Именно марковские свойства зарядово-радиального переноса примесей должны были бы предполагаться и анализироваться прежде всего при использовании алгоритма MCMC (см. например, [7]). Но, к сожалению, они не востребованы ни в интерпретациях, ни при анализе.
Объединяющим эти работы положением является утверждение о некорректно поставленной задаче СДКМ. Для нахождения корректной модели переноса и коэффициентов D и V предлагаемый подход использует статистический алгоритм MCMC [7]. Наряду с обычным набором профилей полной плотности и параметров плазмы сюда включаются данные спектроскопии, профили потоков, данные нестационарного анализа: время удержания, время подъема плотности после инжекции в плазму пеллет [5].
Следствием статистического охвата большого и разнообразного количества данных как стационарных, так и нестационарных условий эксперимента оказываются огромные затраты времени анализа. Так 1 секунда их оценки кодом STRAHL для методики МСМС сопоставляется с тем, что “для 400 цепочек, пяти температур и 30 000 итераций для сходимости генерация выборок апостериорного распределения требует около семи wall-clock дней на 32-ядерном кластере” [6].
Между тем внесистемные физические представления о переносе связаны и в этом случае со стандартной постановкой задачи и отождествлением переноса примеси с переносом только частиц. Поэтому недостатки этого подхода, по сути, остаются качественно теми же, что и в СДКМ. Однако для успешного использования алгоритма – нахождения D и V, отвечающих наблюдаемым профилям – необходимо предварительно убедиться, “что уравнение модели включает физически точные представления о системе” [7]. Но, к сожалению, вместе с СДКМ этот подход игнорирует эти представления, – вероятностную природу, сложную структуру и свойства переноса примеси как случайного смешанного марковского процесса. Прежде всего, такие, как двойственность переноса, синкретичность и связность в единой системе, релаксационную сходимость, формирование инвариантных распределений и др. Иначе говоря, правомерность использования МСМС в рамках стандартной интерпретации переноса изначально можно поставить под сомнение, тем более сходимость корректирующего процесса здесь не гарантируется. Как следствие, на практике возникают преграды сходимости итерационной процедуры, поэтому оказывается необходимым поиск дополнительных критериев статистического анализа [5].
В итоге существенным недостатком использования байесовского подхода и алгоритма МСМС, остающегося в общих рамках СДКМ, следует считать игнорирование теоретических оснований изначально марковского подхода к исследованию переноса. Поэтому ни статистический подход, ни коррекция 1D-модели никак не решают проблем системы нелинейных связей радиальной динамики и зарядовой кинетики.
5. Зарядово-радиальное равновесие и перенос ЗС
Ключевым физическим свойством зарядово-радиального переноса примесей в плазме можно было бы считать его связность – эргодичность переноса ЗС как случайного марковского процесса. Связанным (эргодическим) оказывается зарядово-радиальный перенос в целом, а следствием – релаксационная сходимость к инвариантному равновесному пределу (равновесию вообще системы ЗС вообще), то есть к инвариантным профилям полной плотности примесей (см. рис. 1) с разными Z в различных режимах удержания и нагрева в различных квазистационарных плазменных системах.
5.1. Уравнение ФПК в дискретном случае
Существует общее континуальное описание смешанного (векторного) случайного марковского процесса, которое реализуется в многомерном фазовом пространстве и представляется обобщенными уравнениями Фокера–Планка–Колмогорова (ФПК) [76]:
(14)
где – дифференциальная функция распределения с независимыми переменными , – вектор конвективных потоков – тензор обобщенных коэффициентов диффузии в mD пространстве, . Предполагается, что переменные меняются непрерывно, а функция удовлетворяет уравнению Смолуховского при интегрировании по фазовому объему . Никаких “источников и стоков” уравнения ФПК не содержат. Вывод уравнения (14) дается в работах [77, 78]. Оно справедливо, напомним, в том случае, если рассматриваемые частицы-состояния не влияют на свойства среды, а изменения аргументов можно считать малыми [71].
Для перехода к дискретному описанию необходимо определить вероятностное пространство, базисную систему попарно-несовместных состояний системы и алгебру элементарных событий, то есть связать с общим вероятностным пространством и динамику, и кинетику ЗС-примесей, представить их в системе как единый синкретичный процесс. Именно эти задачи позволяет решить обобщающее понятие переноса ЗС-примеси [9].
Если дискретизация рассматриваемого 2D-пространства по заряду задана: , то о масштабе радиальной дискретизации, , никакой исходной информации нет, кроме того, что он должен быть конечным в силу отмеченного вероятностного синкретизма радиальной динамики и зарядовой кинетики. В условиях цилиндрической системы координат равновероятные условия радиальных состояний в отношении элементов фазового объема, связанных с ними, обеспечиваются в том случае, если , где – число радиальных состояний, а m – число интервалов (фазовых ячеек) между ними соответственно [9–11]. Тем самым m дает масштаб радиального переноса ЗС-частицами, то есть средний радиально-локальный размер любой фазовой ячейки, в которой потоки между всеми соседними состояниями направлены к инвариантному равновесию. В качестве инварианта равновесия системы ЗС величина m может быть найдена из анализа только нестационарных процессов.
В дискретном зарядово-радиальном фазовом пространстве, системой попарно-несовместных событий, позволяющей пользоваться правилом сложения вероятностей, являются соседние диагонально-сопряженные пары состояний 2D-сетки ЗС. Дискретное уравнение ФПК для 2D-функции распределения ЗС имеет вид [9]
(15)
где скорости (частоты) переходов и выражаются в соответствии с (10) произведениями вероятностей скоростей (частот) переходов динамики и кинетики ЗС. В правильности уравнений (15) легко убедиться, суммируя уравнения по каждому из индексов, и тогда результатами оказывается пара 1D-матричных уравнений вида (6) [9].
Фазовая ячейка системы (15) оказывается конечной и несжимаемой по всей области равновесия примеси в плазме от центра и до границы. Необходимым условием ее равновесия являются равенства внутренних встречных потоков для любых соседних состояний. По сути, это и есть локальная ячейка равновесия (EC – equilibrium cell) [9].
В стационарной плазме равновесие системы (15) выражается равенствами произведений отношений скоростей динамики и кинетики ЗС (см. [9] формулу (19)) одновременно для всех фазовых ячеек и ячеек равновесия. Поэтому анализ переноса примеси оказывается сильно нелинейной задачей, а ее стационарное решение связано с необходимостью упрощения, которое дает метод псевдосостояний эквивалентных систем [9–11], т.е. приведение исходной 2D-сетки ЗС к виду локальной эквивалентной EC-системы, позволяющей находить и локальные скорости, и распределения примеси по ЗС.
5.2. Ячейка равновесия
Предлагаемая дискретная марковская схема анализа переноса примесей качественно отличается от континуальной газокинетической, в частности, рассмотренной в работе [12]. В стандартном представлении фазовая ячейка сжимаема, меняя потоки через поверхность, а ее равновесие дано балансом диффузии наружу и конвекции внутрь. Представление о переносе здесь сведено к анализу только динамики и потоков частиц. Но, как было уже отмечено, ИР-процессы в стационарном случае не выполняют предписанной им функции “источников и стоков” частиц, так как стационарная кинетика не зависит от количества частиц, а определяется только отношениями ИР-скоростей и представлена инвариантной функцией зарядовой кинетики. Стандартное представление не учитывает пересечение (алгебру) случайных процессов динамики и кинетики ЗС (10), игнорируя вероятностный синкретизм случайных процессов, превращающий вероятностное пространство (через пересечение элементарных событий А и Т) в связную (эргодическую) дискретную систему.
Фазовая ячейка – ЕС – ячейка позволяющая анализировать равновесие примеси, оказывается несжимаемой, инвариантной и имеет конечные размеры, которые зависят от ее положения в фазовом пространстве. Вероятность частицы оказаться в ее пределах распределена между ее псевдосостояниями, которые есть суммы в квадрантах около узлов EC. Анализ EC [9] приводит к системе уравнений, определяющих инварианты равновесия и величину λ – обратное время релаксации, постоянное по области равновесия примеси в плазме, получаемое из инвариантных равенств четырех релаксационных масштабов: плотностей частиц, заряда и двух диагональных комбинаций системы (15).
Постоянная равновесия λ входит в основные выражения коэффициентов переноса и времени удержания примеси, [10] и определяет инвариантные функции равновесия, позволяя воспроизводить моделированием практически любые типы профилей плотности [11]. Масштаб радиальной диффузии частиц можно оценить как , где а – малый радиус плазменного шнура и .
Поскольку равновесие определено отношениями скоростей переходов, то и ячейка, и равновесие, которое она представляет оказываются инвариантными. Нормирование всех скоростей на λ приводит к обобщенной инвариантной форме и равновесие, и ячейку, и все дискретные профили скоростей и кинетики, и динамики ЗС. В этом случае необходимо различать два вида равновесия: данной примеси в конкретных условиях и обобщенное (приведенное) 2D-равновесие, не имеющее масштабов, задаваемых величинами m, Z и λ.
5.3. Инвариантные функции и коэффициенты переноса
Перенос примеси представляется релаксационным случайным смешанным марковским процессом, сходящимся к инвариантному распределению – общему стационарному профилю и 2D-равновесию – равновесию вообще примеси вообще. Формы наблюдаемых профилей, (см. рис. 1) инвариантны к сорту примеси, к режимам нагрева и удержания плазмы, то есть не зависят и от того, токамак это или стелларатор.
Равновесие примеси в плазме определяет систему инвариантов равновесия [11]: распределения плотности, заряда, локальные потоки ЗС и постоянную λ. Эти инварианты связывают между собой любые эквивалентные системы – производные от общей исходной системы ЗС [10] и позволяют преобразовывать их друг в друга.
Инвариантность равновесия выражается в том, что для разных примесей существует общая система инвариантных функций, воспроизводящих одно и то же для них обобщенное равновесие, определяемое основными параметрами плазмы как соответствие между профилями: дискретными (n = 1, 2…, m+1) и наблюдаемыми . В систему входят: профили отношений ИР скоростей, и профили отношений однонаправленных скоростей радиальной конвекции (наружу – внутрь) частиц, , – система инвариантных транспортных функций кинетики и динамики ЗС соответственно, а также профили приведенных скоростей зарядовой кинетики. Для легких примесей это и , где – скорости ионизации водородоподобных ионов, а – профиль скорости рекомбинации ядер.
Существование инвариантных функций было обнаружено путем моделирования и анализа более 60-ти измеренных профилей плотности примесей гелия (Не), бора (В) и углерода (С) [11].
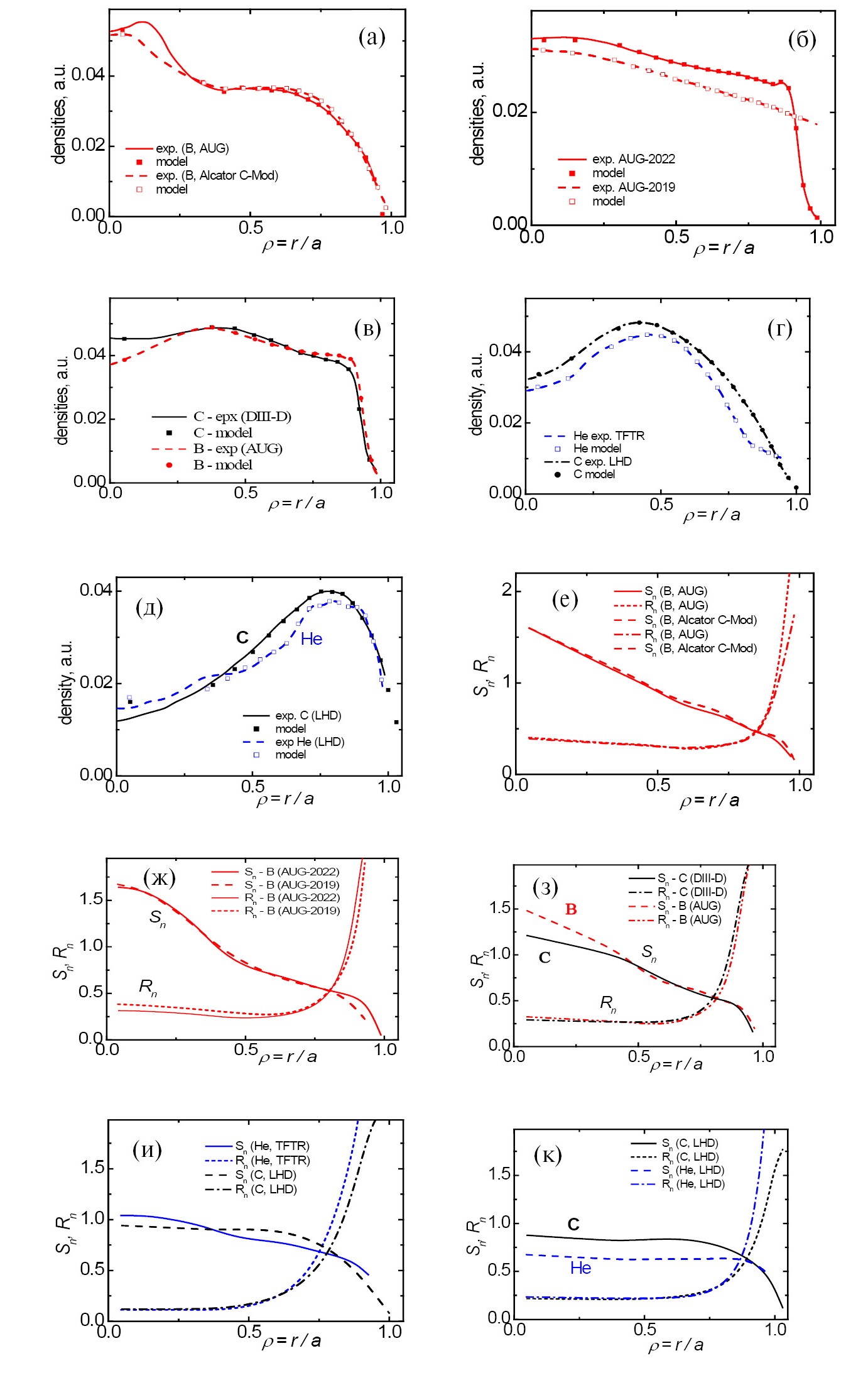
Анализ близких по форме профилей из разных экспериментов для пар примесей из разных экспериментов (или одной и той же примеси), строится на использовании инвариантных систем равновесия (по схеме двух уровней [11]). Профили выбранных пар, представляя в идеале одно и то же равновесие, будут иметь совпадающие профили инвариантных функций. Именно такие пары профилей были отобраны из данных моделирования из условий, что близкими по форме оказываются не только , но и , воспроизводя тем самым необходимую часть системы общего равновесия.
На рис. 2 для примесей гелия Не, бора В и углерода С показаны такие примеры: слева – для пар типичных профилей плотности (а–е), а справа – сравнение их инвариантных функций (ж–к), воспроизводящих профили плотности. Модельные профили плотности показаны на рис. 2a–е символами, а наблюдаемые в экспериментах – линиями. Подобранные пары профилей на рис. 2 относятся в этих случаях к общему для пары инвариантному равновесию, но полученному в разных экспериментах, так как близко воспроизводится общая для пары система функций данного равновесия, несмотря на различия Z, условий эксперимента (параметров плазмы, режима удержания и схемы нагрева). Анализ последовательной трансформации профилей плотности от (a) к (е): от накопления в центре до концентрации примеси вблизи края, показывает относительные изменения профилей и (из общих систем функций инвариантного равновесия [11]), вместе с и , отвечающих .
Рис. 2. Моделирование (а– е, кривые – измерения, символы – моделирование) и анализ (ж – к) профилей плотности примесей Не, В и С, входящих в общие системы инвариантных функций (для выбранных пар примесей): приведенные профили скорости ионизации и рекомбинации . Измеренные профили плотности примесей: (а) – С (TFTR, RS, t = 2.7 c [79]) и B (ASDEX Upgrade, #25832, 5МВт NBI + 2МВт ECH, [80]); (б) – B (ASDEX Upgrade 5МВт NBI, #25832 [80]) и В (Alcator C - Mod, = 0.36 c [81]), (в) – B (ASDEX Upgrade, #34021 [82]) и B (ASDEX Upgrade, #30368 [4]); (г) – C (DIII - D, t = 2.0 c [6]) и B (ASDEX Upgrade, #38541, 2.5 МВт NBI + 2.1 МВт ECH [82]); (д) – He (TFTR, RS, t = 2.5 c [79]) и С (LHD, L - mode, t = 1.83 c [34]); (е) – C (LHD, ITB, t = 2.23 c [34]) и He (LHD, t = 4.07 c [63])
Как было отмечено выше, коэффициенты D и V не способны (в силу отмеченного синкретизма) выделить описание переноса частиц в структуре переноса ЗС. Более того, радиальные профили D и V, описывающие и определяемые разными способами, не связаны с переносом частиц и представляют только непрерывную 1D-проекцию 2D-переноса ЗС и его инвариантные свойства. Парадоксальный на первый взгляд результат объясняет и инвариантность наблюдаемых профилей (см. рис. 1), и обнаруженный (и отмеченный выше) провал стандартных интерпретаций профилей. Как показано в работе [11], решение стационарного уравнения (3) – равновесный инвариантный профиль плотности , описываемый профилями инвариантных коэффициентов D и V, определяется изначально инвариантными отношениями скоростей ИР-процессов, то есть инвариантными транспортными функциями [11], а не переносом частиц.
Таким образом, при анализе радиального 1D-переноса примеси необходимо различать качественно разные его типы и соответствующие им коэффициенты: перенос ЗС и перенос частиц. Первый – непрерывная 1D-радиальная проекция 2D-переноса ЗС, второй – дискретный радиальный перенос частиц – часть синкретичного исходного 2D-переноса ЗС. Если первый инвариантен относительно (m+1) – среднего числа радиальных состояний, то второй перенос, наоборот, тем меньше, чем больше m. Для равновесного профиля связь коэффициентов диффузии ЗС и частиц можно представить в виде
, (16)
где ρn – узловые радиальные состояния анализирующей дискретной 2D-системы ЗС.
Для дискретного аналога уравнения непрерывности для профиля имеем
, (17)
где – трехдиагональная матрица Якоби из скоростей переходов между радиальными псевдосостояниями 1D-системы , а – аналогичная трехдиагональная матрица, но уже из приведенных (инвариантных) скоростей
(18)
где распределение плотности примеси также инвариантно, так как (в обозначениях работы [11]) и определяется только отношениями ИР скоростей, как и скорости (18). Инвариантный профиль диффузии, соответствующий условию (16) и скоростям (18), имеет вид
(19)
Он не зависит ни от m, ни от Z (что проверяется численно). Соответствующие ему профили конвективных скоростей вычисляются как .
Профили и инвариантны и к m, и к Z, т.е. к любым механизмам радиальной динамики и Z-зависимости зарядовой кинетики, определяющих общее равновесие .
Стандартные коэффициенты переноса частиц находятся по формулам
, (20)
где радиальные зависимости представлены безразмерными инвариантными функциями и , а их величины даются отношением . Z-зависимость переноса примеси отделена от профилей и определяется функцией . Используя формулы (18) и (19), легко найти и прямо по [11].
5.4. Трансформация профилей плотности
Переход от накопления примеси в центре к накоплению на краю связан в основном с изменениями , как следует из моделирования профилей, представленного на рис. 2. Происходит последовательное уплощение профилей в центральной области и изменение в самом центре от 1.7 до 1.0 и далее. Но те же инвариантные (относительные) изменения и должны были бы воспроизводиться изменением только , но при условии, что сопряженные (через равновесие) профили остаются без изменений.
Действительно, подобные трансформации профилей имеются в базе данных моделирования легких примесей, и частично приведены в работе [11]. Последовательность трансформации целиком: от накопления примеси в центре шнура до предельно полого профиля с накоплением примеси на периферии можно представить инвариантными функциями, входящих в последовательность таких систем равновесия, где их профили имеют близкие формы, а вместе с изменяются только .
На рис. 3 показан набор профилей плотности примесей Не, В и С: а – измеренных (непрерывные кривые) и модельных (символы) и соответствующие инвариантные профили приведенных скоростей: б – , в – . Поскольку в отобранных системах функций профили достаточно близки и практически не различаются (рис. 3б), то последовательной трансформации , воспроизводимой в модели и показанной на рис. 3а, отвечает только изменение . По мере смещения максимума к краю плазмы, в центре происходит систематический рост (рис. 3 в, г) и уменьшения на вблизи края ( ).
Рис. 3. Последовательность инвариантных равновесных профилей плотности, входящих в соответствующие системы инвариантных функций равновесия – профилей приведенных скоростей ионизации и рекомбинации. Профили плотности примесей обозначены на рисунке следующим образом: 1 – Не (ASDEX Upgrade, #30368, t = 4.39 c [4]); 2 – He (TFTR, RS, t = 2.55 c [79]); 3 – He (TFTR, RS, t = 2.5 c [79]); 4 – С (LHD, L - mode, t = 1.83 c [34]); 5 – С (LHD, ITB, t = 2.03 c [34]); 6 – В (Alcator C - Mod, ∆ t = 0 c [81]); 7 – 10 – C (LHD, ITB, t = 4.64/4.74/4.84/4.94 c [83]).
Последовательные изменения скорости рекомбинации в центральных областях практически не влияют на постоянную (для легких примесей основной вклад дает ионизация), которая находится по формуле [11]
. (20)
Напротив, величина при смещении максимума плотности к краю постепенно уменьшается, как показано на рис. 3г, поскольку усредненная скорость рекомбинации, возрастает вместе со значением в центре . Однако следует учитывать, что полученные здесь величины q, их изменения и связанные с ними профили сильно зависят от предположения, положенного в основание моделирования [11] о том, что измеряемая плотность ядер примеси совпадает с полной плотностью примеси. Если в рамках стандартного исследования переноса примесей оно не вызывает вопросов, то с точки зрения исследований равновесия и последовательного уточнения инвариантных систем и оно, по-видимому, не корректно и приводит к сильно заниженным величинам q. Именно на периферии плазмы в области измеряемая (обычно с большими ошибками) плотность ядер примесей начинает заметно отличаться от : если первая здесь быстро падает, то столь же быстро растет. Отказ от приближения и необходимое уточнение показывают, что полученные профили не могут быть однозначно найдены без дополнительного привлечения сведений об абсолютных величинах скоростей рекомбинации. Оценки в рамках скорректированной модели показывают, что при зависимость, показанная на рис. 3г меняется на .
Тем не менее, изменение приведенных профилей скорости рекомбинации (нормированных на λ), , оказывается для приведенной последовательности единственной причиной трансформации профилей плотности легких примесей. Эти профили представляют собой сумму рекомбинационных процессов [11]. Основным среди них для легких примесей обычно считается рекомбинация через перезарядку ядер на нейтральном водороде [42]. Но, к сожалению, в экспериментах именно она, как отмечено выше, обычно не контролируется, а при моделировании в рамках СДКМ либо игнорируется, либо вообще оказывается за рамками анализа и расчета равновесия. С другой стороны, хорошо известно, что предотвращать накопление примеси в центре удается, в частности, газонапуском (см. [44, 84, 85]), что точно соответствует найденной тенденции изменения скоростей рекомбинации, как профилей , так и средней величины .
6. Заключение
Исследования переноса примесей в плазме ряда токамаков (Alcator C-Mod, DIII-D, ASDEX Upgrade) пришли к обобщениям, систематически признающим провал стандартных попыток найти диффузионно-конвективное представление переноса примеси в горячей квазистационарной плазме. Центральной и нерешаемой проблемой этих исследований оказалось отношение дивергентной и матричной частей системы (1–2), представляющих в СДКМ отношение радиальной динамики и зарядовой кинетики примесей, хотя и в искаженной форме. Анализ противоречий, недостатков и несоответствий в СДКМ, рассмотренных в разд. 2 и 3, раскрывает внесистемные свойства модели: неявные и необоснованные предположения, терминологические недоразумения, некорректную постановку смешанной 1D-задачи и, наконец, ошибочное исходное понимание природы переноса, ограниченное терминологией диффузионно-конвективных потоков частиц.
Основные недостатки исходного для СДКМ кинетического уравнения Больцмана, заключаются в неявном заимствовании представлений газокинетической аналогии и использовании за рамками применимости для описания зарядово-радиального переноса примесей в плазме. По сути, газокинетическая аналогия полностью исключала разработку необходимой собственной системы теоретических представлений и понятий переноса примесей в плазме, подменяя их внесистемной терминологией и рядом неизбежных заблуждений.
1. Стандартное определение зарядово-радиального переноса примеси ошибочно сводится к 1D радиальному переносу частиц и рассматривается в терминах диффузионно-конвективного переноса только частиц, в частности, в рамках Байесовского подхода и применения алгоритма МСМС. Однако, ведущими процессами релаксационного формирования инвариантных профилей плотности и основанием равновесия примеси оказываются ИР-реакции – зарядовая кинетика примеси, а не механизмы переноса частиц.
2. Концепция “источников и стоков” является внесистемной наряду со стандартным 1D-представлением радиального переноса частиц в уравнениях Больцмана и в СДКМ. Перенос примеси в плазме как случайный смешанный марковский процесс оказывается связным (эргодичным) и не имеет “источников и стоков” по общему для таких систем правилу [7].
3. Заимствование “источников и стоков” в уравнения (1–2) и (8–9) из описаний процессов “гибели и размножения” приводит к тому, что процессы радиальной динамики и зарядовой кинетики оказываются представленными как несовместные, что прямо противоречит исходным физическим представлениям о вероятности их пересечения в плазме (10).
Общим основанием критики стандартного подхода оказываются представления и понятия теории случайных процессов – теоретической альтернативы, предложенной М.А. Леонтовичем в 1935 г. [12]. Иерархия основных процессов и структура их связей в системе альтернативных физических представлений о поведении примесей оказались качественно иными, раскрывая попутно физический смысл проблем СДКМ. В этом случае зарядово-радиальный перенос примеси в квазистационарной плазме определяется как синкретичный векторный случайный марковский процесс переноса зарядовых состояний.
Отказ от аналогий и применение системы понятий теории случайных марковских процессов к исследованиям примесей позволяет решить проблему совместного описания радиальной динамики и зарядовой кинетики примеси. Необходимое качественное различение смешанных случайных процессов групп А и Т проводится только через произведения их скоростей (см. формулу (10)) в матрице финальных скоростей (вероятностей) общего процесса в уравнении (15). Независимость процессов каждой группы сохраняется в системе инвариантного равновесия и представлена, в частности, в отдельных балансах радиальных и зарядовых потоков ЗС. Совместное вероятностное пространство связывает группы элементарных событий в единый синкретичный процесс, сходящийся в квазистационарной плазме к инвариантному равновесию – профилю плотности примеси. Следствием связности оказывается релаксационная сходимость процесса к инвариантному пределу – профилям полной плотности примесей с разными Z в различных режимах удержания и нагрева в различных квазистационарных плазменных системах. Эргодическим (связанным) в систему случайных событий, оказывается смешанный зарядово-радиальный перенос примеси в целом, а его ведущими – формирующими процессами – процессы зарядовой кинетики.
Уравнение непрерывности (3) в случае анализа примесей не имеет того стандартного смысла, который в него вкладывают, когда считают, что коэффициенты D и V описывают радиальный перенос частиц. В общем случайном марковском процессе переноса ЗС-примеси и в вероятностном пространстве элементарных событий это уравнение, отдельно взятое, не дает возможности отличать радиальный перенос частиц – радиальную динамику ЗС – от зарядовой кинетики, так как эти части переноса примеси принципиально неразличимы, синкретичны в рамках системы ЗС. Такую задачу решает детальный анализ равновесия через совместное описание системы нелинейных связей составляющих переноса. Коэффициенты D и V в уравнении (3) представляют непрерывную 1D-проекцию переноса ЗС. Их профили даются инвариантной формой равновесного профиля плотности, отвечая условиям равновесия и поэтому их формы также инвариантны. В свою очередь форма профиля плотности определяется также инвариантами – профилями отношений скоростей ионизации и рекомбинации в системе инвариантных функций. Отсюда следует, что коэффициенты D и V уравнения непрерывности (3) связаны с параметрами плазмы через профили отношений скоростей ИР процессов в системе инвариантных функции, то есть не напрямую, как их обычно пытаются найти, а только опосредованно.
Иллюстрации анализа профилей плотности трех легких примесей, наблюдаемых в экспериментах, приведены на рис. 2 и 3. Они демонстрируют существование инвариантного равновесия и общих систем инвариантных функций для разных примесей, позволяя воспроизводить профили плотности с учетом условий и параметров плазмы в экспериментах, где они наблюдались. Использование этих функций позволяет привести в систему многочисленные измерения профилей плотности примесей в горячей плазме.
Автор выражает искреннюю благодарность В.С. Лисице и Э.И. Юрченко за интерес к работе и плодотворные обсуждения ее теоретической части.
Данная работа выполнена в рамках государственного задания НИЦ “Курчатовский институт”.
About the authors
V. А. Shurygin
National Research Center “Kurchatov Institute”
Author for correspondence.
Email: Shurygin_VA@nrcki.ru
Russian Federation, Moscow
References
- Брагинский С.И. Вопросы теории плазмы / Под ред. М.А. Леонтовича. М.: Госатомиздат, 1963. Вып. 1. С. 183.
- Hawryluk R.J., Suckewer S., Hirshman S.P. // Nucl. Fusion. 1979. V. 19. P. 607. https://doi.org/10.1088/0029-5515/19/5/005
- Chilenski M.A., Greenwald M.J., Marzouk Y.M., Rice J.E., White A.E. // Rev. Sci. Instrum. 2018. V. 89. P. 013504. https://doi.org/10.1063/1.4997251
- Kappatou A., McDermott R.M., Angioni C., Pütterich T., Dux R., Viezzer E., Jaspers R.J.E., Fischer R., Dunne M.G. // Nucl. Fusion. 2019. V. 59. P. 056014. https://doi.org/10.1088/1741-4326/ab013a
- Chilenski M.A., Greenwald M., Marzouk Y., Rice J.E., White A.E. // Plasma Phys. Control. Fusion. 2019. V. 61. P. 125012. https://doi.org/10.1088/1361-6587/ab4e69
- Odstrĉil T., Howard N.T., Sciortino F., Thome K.E., Wilks T.M., Chrystal C., Holland C., Hollmann E., McKee G. // Phys. Plasmas. 2020. V. 27. P. 082503. https://doi.org/10.1063/5.0010725
- von Toussaint U. //Rev. Mod. Phys. 2011. V. 83. P. 943. https://doi.org/10.1103/RevModPhys.83.943.
- Hirshman S., Sigmar D. // Nucl. Fusion. 1981. V. 21. P. 1079. https://doi.org/10.1088/0029-5515/21/9/003
- Shurygin V.A. // Nucl. Fusion. 2020. V. 60. P. 046001. https://doi.org/10.1088/1741-4326/ab6871
- Shurygin V.A. // Symmetry. 2021. V. 13. P. 324. https://doi.org/10.3390/sym13020324
- Shurygin V.A. // Plasma Phys. Contr. Fusion. 2023. V. 65. P. 105002. https://doi.org/10.1088/1361-6587/acef90
- Леонтович М. А. // ЖЭТФ. 1935. Т. 5(3-4), С. 211.
- Düchs D.F., Furth H.P. and Rutherford P.H. 1973 6th European Conf. Controlled Fusion Plasma Physics (Moscow, USSR, 30 July – 4 August 1973) vol 1. P. 29.htt ps://www-fusion. ciemat.es/media/EPS/EPS_06_Vol1_1973.pdf
- Tazima T., Tanaka M., Yoshikawa M., Inoue K. // Nucl. Fusion. 1974. V. 14. P. 517.
- Гервидс В.И., Крупин В.А. // Физика плазмы. 1975. Вып. 3, С. 357.
- Meade D.M., Furth H.P., Rutherford P.H., Seidl F.G.P., Düch D.F. Plasma Physics and Controlled Nuclear Fusion Research (Proc. 5th Int. Conf., Tokyo, Japan, 1974), Vienna: IAEA, 1975. V. 1. P. 605.
- Hulse R.A. // Nucl. Technol./Fusion. 1983. V. 3. P. 259.
- Dux R. STRAHL User Manual Technical Report IPP 10/30 IPP Max-Planck-Institut für Plasmaphysik. 2006. content (mpg.de) .
- Lauro-Taroni L., Alper B., Giannella R., Lawson K., Marcus F., Mattioli M., Smeulders P., von Hellermann M. Proc. 21st EPS Conf. Controlled Fusion Plasma Physics. Montpellier, France, 27 June–1 July. 1994. V. 18B. P. 102. 28032607.pdf (iaea.org) .
- Parisot T., Guirlet R., Bourdelle C., Garbet X., Dubuit N., Imbeaux F. and Thomas P.R. // Plasma Phys. Control. Fusion. 2008. V. 50. P. 05501. https://doi.org/ 10.1088/0741-3335/50/5/055010
- Leonov V.M., Zhogolev V.E. // Plasma Phys. Control. Fusion. 2005. V. 47. P. 903.
- Bertschinger G., Biel W., Bitter M., Koslowski H.R., Krämer-Flecken A., Weinheimer J., Kunze H-J. 1999 Proc. 26th EPS Conf. Controlled Fusion Plasma Physics. Maastricht, Netherlands, 14–18 June. 1999. P2.018.
- Sertoli M., Angioni C., Dux R., Neu R., Pütterich T., Igochine V. and the ASDEX Upgrade Team. // Plasma Phys. Control. Fusion. 2011. V. 53. P. 035024.
- Stratton B.C., Ramsey A.T., Boody F.P., Bush C.E., Fonck R.J., Groebner R.J., Hulse R.A., Richards R.K. and Schivell J. // Nucl. Fusion. 1987. V. 27. P. 1147.
- Demokan O., Waelbroeck F. and Demokan N. // Nucl. Fusion. 1982 V. 22. P. 921.
- Content D.A., Moos H.W., Perry M.E., Brooks N.H., Ali Mahdavi M., Petrie T.W., St. John H., Schissel D.P. and Hulse R.A. // Nucl. Fusion. 1990. V. 30. P. 701.
- Stratton B.C., Fonck R.J., Hulse R.A., Ramsey A.T., Timberlake J., Efthimion P.C., Fredrickson E.D., Grek B., Hill K.W., Johnson D.W., Mansfield D.K., Park H., Stauffer F.J. and Taylor G. // Nucl. Fusion. 1989. V. 29. P. 437.
- Suckewer S., Cavallo A., Cohen S., Daughney C., Denne B., Hinnov E., Hosea J., Hulse R., Hwang D., Schilling G., Stratton B. and Wilson R. // Nucl. Fusion. 1984. V. 24. P. 815.
- Asmussen K., Fournier K.B., Laming J.M., Neu R., Seely J.F., Dux R., Engelhardt W., Fuchs J.C. and ASDEX Upgrade Team. // Nucl. Fusion. 1998. V. 38. P. 967.
- Pütterich T., Neu R., Dux R., Whiteford A. and O’Mullane M. // Plasma Phys. Control. Fusion. 2008. V. 50. P. 085016.
- Krupin V.A., Klyuchnikov L.A., Nurgaliev M.R., Nemets A.R., Zemtsov I.A., Melnikov A.V., Myalton T.B., Sarychev D.V., Sergeev D.S., Sushkov A.V., Trukhin V.M., Tugarinov S.N. and Naumenko N.N. // Plasma Phys. Control. Fusion 2018. V. 60. P. 115003.
- Wade M.R., Hillis D.L., Hogan J.T., Maingi R., Menon M.M., Mahdavi M.A., West W.P., Burrell K.H., Gohil P., Groebner R.J., Hong R.-M., Kellman D.H., Phillips J.C., Seraydarian R.P., Finkenthal D.F. and the DIII-D Team. // Phys. Plasmas. 1995. V. 2. P. 2357.
- Rowan W.L., Bespamyatnov I.O. and Fiore C.L. // Nucl. Fusion. 2008. V. 48. P. 105005.
- Ida K., Yoshinuma M., Osakabe M., Nagaoka K., Yokoyama M., Funaba H., Suzuki C., Ido T., Shimizu A., Murakami I., Tamura N., Kasahara H., Takeiri Y., Ikeda K., Tsumori K., Kaneko O., Morita S., Goto M., Tanaka K., Narihara K., Minami T., Yamada I. and LHD Experimental Group // Phys. Plasmas. 2009. V. 16. P. 056111.
- TFR Group. // Plasma Phys. 1980. V. 22. P. 851.
- Breton C., Compant la Fontaine A., De Michelis C., Hecq W., Lasalle J., Lecoustey P., Mattioli M., Mazzitelli G., Platz P. and Ramette J. // J. Phys. B: At. Mol. Phys. 1983. V. 16. P. 2627.
- Rice J.E., Terry J.L., Fournier K.B., Graf M.A., Finkenthal M., May M.J., Marmar E.S., Goldstein W.H. and Hubbard A.E. // J. Phys. B: At. Mol. Opt. Phys. 1996. V. 29. P. 2191.
- Крупин В. А., Марченко В. С., Яковленко С. И. // Письма ЖЭТФ. 1979. Т. 29, С. 353.
- Hulse R.A., Post D.E. and Mikkelsen D.R. // J. Phys. B. 1980. V. 13. P. 3895.
- Puiatti M.E., Breton C., De Michelis C., Mattioli M. // Plasma Phys. 1981. V. 23. P. 1075.
- Sesnic S.S., Bitter M., Hill K.W., Hiroe S., Hulse R., Shimada M., Stratton B., von Goeler S. // Rev. Sci. Instrum. 1986. V. 57. P. 2148.
- Dux R., Cavedon M., Kallenbach A., McDermott R.M., Vogel G. and the ASDEX Upgrade team. // Nucl. Fusion. 2020. V. 60. P. 126039.
- Sertoli M., Angioni C., Dux R., Neu R., Pütterich T., Igochine V. and the ASDEX Upgrade Team. // Plasma Phys. Control. Fusion. 2011. V. 53. P. 035024. https://doi.org/10.1088/0741-3335/53/3/035024
- Puiatti M.E., Mattioli M., Telesca G., Valisa M., Coffey I., Dumortier P., Giroud C., Ingesson L.C., Lawson K.D., Maddison G., Messiaen A.M., Monier-Garbet P., Murari A., Nave M.F.F., Ongena J., Rapp J., Strachan J., Unterberg B., von Hellermann M. and contributors to the EFDA-JET Workprogramme. // Plasma Phys. Control. Fusion. 2002. V. 44. P. 1863.
- Ivanov V.V., Kukushkin A.B. and Lisitsa V.S. // Sov. J. Plasma Phys. 1987. V. 13. P. 774.
- Shurygin V.A. // Plasma Phys. Control. Fusion. 1999. V. 41. P. 355.
- Шурыгин В.А. // Физика плазмы. 2004. Т. 30. № 6. С. 483.
- Shurygin V.A. // Phys. Plasmas. 2006. V. 13. P. 082506.
- Shurygin V.A. // Phys. Plasmas. 2008. V. 15. P. 012506.
- Bonanomi N., Mantica P., Giroud C., Angioni C., Manas P., Menmuir S. and JET Contributors // Nucl. Fusion. 2018. V. 58. P. 036009. https://doi.org/10.1088/1741-4326/aaa4d3
- Dux R., Neu R., Peeters A.G., Pereverzev G., Mück A., Ryter F., Stober J. and ASDEX Upgrade Team. // Plasma Phys. Control. Fusion. 2003. V. 45. P. 1815.
- Dux R., Peeters A.G., Gude A., Kallenbach A., Neu R. and ASDEX Upgrade Team. // Nucl. Fusion. 1999. V. 39. P. 1509.
- Takenaga H., Higashijima S., Oyama N., Bruskin L.G., Koide Y., Ide S., Shirai H., Sakamoto Y., Suzuki T., Hill K.W., Rewoldt G., Kramer G.J., Nazikian R., Takizuka T., Fujita T., Sakasai A., Kamada Y., Kubo H. and the JT-60 Team. // Nucl. Fusion. 2003. V. 43. P. 1235.
- Puiatti M.E., Valisa M., Angioni C., Garzotti L., Mantica P., Mattioli M., Carraro L., Coffey I., Sozzi C. and JET-EFDA contributors // Phys. Plasmas. 2006. V. 13. P. 042501.
- Leigheb M., Romanelli M., Gabellieri L., Carraro L., Mattioli M., Mazzotta C., Puiatti M.E., Lauro-Taroni L., Marinucci M., Nowak S., Panaccione L., Pericoli V., Smeulders P., Tudisco O., Sozzi C., Valisa M. and the FTU team. // Plasma Phys. Control. Fusion. 2007. V. 49. P. 1897.
- Valisa M., Carraro L., Predebon I., Puiatti2 M.E., Angioni C., Coffey I., Giroud C., Lauro Taroni L., Alper B., Baruzzo M., Belo daSilva P., Buratti P., Garzotti L., Van Eester D., Lerche E., Mantica P., Naulin V., Tala T., Tsalas M. and JET-EFDA contributors. // Nucl. Fusion. 2011. V. 51. P. 033002.
- Pütterich T., Neu R., Dux R., Whiteford A. and O’Mullane M. // Plasma Phys. Control. Fusion. 2008. V. 50. P. 085016.
- Wade M.R., Houlberg W.A., Baylor L.R., West W.P., Baker D.R. // Journal of Nuclear Materials . 2001. Vs. 290–293 . P. 773. https://doi.org/10.1016/S0022-3115(00)00499-2
- Synakowski E.J., Bengtson R.D., Quroua A., Wotton A.J., Kim S.K. // Nucl. Fusion. 1989. V. 29. P. 311.
- Sciortino F., Howard N.T., Odstrčil T., Austin M., Bykov I., Chrystal C., Haskey S.R., Lore J.D., Marinoni A., Marmar E.S., Meneghini O., Paz-Soldan C., Rodriguez-Fernandez P., Smith S.P. and Thome K.E. // Plasma Phys. Control. Fusion. 2022. V. 64. P. 124002.
- McDermott R.M., Angioni C., Cavedon M., Kappatou A., Dux R., Fischer R., Manas P. and the ASDEX Upgrade Team // Nucl. Fusion. 2022. V. 62. P. 026006. https://doi.org/10.1088/1741-4326/ac3cd9
- Puiatti M.E., Valisa M., Angioni C., Garzotti L., Mantica P., Mattioli M. and Carraro L., Coffey I., Sozzi C., JET-EFDA contributors // Phys. Plasmas. 2006. V. 13. P. 042501.ht t ps://dx.doi.org/10.1063/1.2187424
- Yoshinuma M., Ida K., Yokoyama M., Suzuki C., Osakabe M., Funaba H., Nagaoka K., Morita S., Goto M., Tamura N., Yoshimura S., Takeiri Y., Ikeda K., Tsumori K., Nakano H., Kaneko O. and LHD Experiment Group // Impurity transport of ion-ITB plasmas on LHD EXC/9-1 IAEA. Fusion Energy Conf. Seoul, October. 2010.
- Zhang K., Deng W., Cui Z.-Y., Sun P., Dong C.-F., Dong Y.-B., Song S.-D., Jiang M., Li Y.-G., Lu P., and Yang Q.-W. // Chin. Phys. B. 2016. V. 25(6). P. 065202. https://doi.org/10.1088/1674-1056/25/6/065202
- Puiatti M.E., Valisa M., Mattioli M., Bolzonella T., Bortolo A., Coffey I., Dux R., von Hellermann M., Monier-Garbet P., Nave M.F.F., Ongena J. and Contributors to the EFDA-JET Workprogramme // Plasma Phys. Control. Fusion. 2003. V. 45. P. 2011.
- Giroud C., Angioni C., Carraro L., Coffey I.H., Hobirk J., Puiatti M.E., Valisa M., Whiteford A.D., Belo P., Biewer T.M., Brix M., Buttery R., Joffrin E., Lauro Taroni L., Lawson K., Mantica P., Meigs A., Naulin V., O’Mullane M.G., Zastrow K-D. and JET EFDA contributors. // Study of Z-Dependence of Impurity Transport at JET. EFDA–JET–CP(07)03/39, 2007.
- Чистяков В.П. Курс теории вероятностей. М.: Наука. Главная редакция физико-математической литературы. 1982. С. 229.
- Dux R. STRAHL User Manual Technical Report IPP 10/30 IPP (Max-Planck-Institut für Plasmaphysik). 2006.
- Spineanu F. and Vlad M. Proceedings of the 12th European Physical Society Conference on Controlled Fusion and Plasma Physics, Budapest, 2–6 Sept. 1985, European Physical Society, Europhysics Conference Abstracts (ECA), Vol. 9F, Part I. P. 175.
- Angioni C. // Plasma Phys. Control. Fusion. 2021. V. 63. P. 073001. https :// doi. org /10.1088/1361-6587/ abfc 9 a
- Смирнов Б.М. Физика слабоионизованного газа. М.: Наука, Главная редакция физико-математической литературы, 1978.
- Rosmej F.B., Stamm R., Lisitsa V.S. // Europhys. Lett. 2006. V. 73 (3). P. 342.ht tps://doi.org/10.1209/epl/i2005-10405-7
- Rosmj F.B., Astapenko V.I., Lisitsa V.S. Applications to Plasma Spectroscopy. In: Plasma Atomic Physics. Springer Series on Atomic, Optical, and Plasma Physics, 2021. V. 104. Springer, Cham. https://doi.org/10.1007/978-3-030-05968-2_10
- Тихонов В.И., Миронов М.А. Марковские процессы. М.: Сов. Радио, 1977.
- Sciortino F., Howard N.T., Marmar E.S., Odstrĉil T., Cao N.M., Dux R., Hubbard A.E., Hughes J.W., Irby J.H., Marzouk Y.M., Milanese L.M., Reinke M.L., Rice J.E., Rodriguez-Fernandez P. // Nucl. Fusion. 2020. V. 60. P. 126014.
- Kolmogorov A.N. // Math. Ann. 1931. V. 104. P. 415.
- Kolmogorov A.N. // Math. Ann. 1933. V. 108. P. 149.
- Caughey T.K. // J. Acoust. Soc. Am. 1963. V. 35. P. 1683.
- Efthimion P.C., Von Goeler S., Houlberg W.A., Synakowski E.J., Zarnstor M.C., Batha S.H., Bell R.E., Bitter M., Bush C.E., Levinton F.M., Mazzucato E., McCune D.C., Mueller D., Park H.K., Ramsey A.T., Roquemore A.L., Taylor G. // Nucl. Fusion. 1999. V. 39. P. 1905.
- Angioni C., McDermott R.M., Fable E., Fischer R., Pütterich T., Ryter F. and Tardini G. and the ASDEX Upgrade Team. // Nucl. Fusion. 2011. V. 51. P. 023006. https://doi.org/10.1088/0029-5515/51/2/023006
- Rowan W.L., Bespamyatnov I.O. and Fiore C.L. // Nucl. Fusion. 2008. V. 48. P. 105005.
- McDermott R.M., Angioni C., Cavedon M., Kappatou A., Dux R., Fischer R. and Manas P. and the ASDEX Upgrade Team. // Nucl. Fusion. 2022. V. 62. P. 026006. https://doi.org/10.1088/1741-4326/ac3cd9
- Mikkelsen D.R., Tanaka K., Nunami M., Watanabe T.H., Sugama H., Yoshinuma M., Ida K., Suzuki Y., Goto M., Morita S., Wieland B., Yamada I., Yasuhara R., Tokuzawa T., Akiyama T. and Pablant N.A. // Phys. Plasmas. 2014. V. 21. P. 082302.
- Ida K., Fonck R.J., Sesnic S., Hulse R.A., LeBlanc B. and Paul S.F. // Nucl. Fusion. 1989. V. 29. P. 231.
- Kallenbach A., Dux R., Mayer M., Neu R., Putterich T., Bobkov V., Fuchs J.C., Eich T., Giannone L., Gruber O., Herrmann A., Horton L.D., Maggi C.F., Meister H., Muller H.W., Rohde V., Sips A., Stabler A., Stober J. and ASDEX Upgrade Tea m. // Nucl. Fusion. 2009. V. 49. P. 045007.
Supplementary files





