Wigner function method for describing electromagnetic field in plasma-like media with spatial dispersion and resonant dissipation

Cover Page

Cite item

Full Text

Abstract

The paper gives a systematic presentation of the Wigner function method (Weyl formalism) for modeling the propagation and absorption of electromagnetic waves in anisotropic and gyrotropic dissipative media with spatial dispersion. A general kinetic equation for the Wigner function (tensor) is formulated, and its asymptotic expansion up to the second order for smoothly inhomogeneous and weakly dissipative media is constructed. As a result, a modification of the method of the kinetic equation for rays is proposed, based on the stochastic description of rays, making it possible to increase the accuracy of numerical modeling of wave problems with strong transverse inhomogeneity of the absorption coefficient without increasing the amount of calculations. The technique developed can be used to describe the propagation, absorption, and scattering of electron-cyclotron waves in high-temperature plasma of magnetic traps for controlled fusion in cases where standard modeling methods do not provide the necessary accuracy.

Full Text

1. Введение

Практическое моделирование распространения, поглощения и рассеяния волн электронно-циклотронного (ЭЦ) диапазона в турбулентной горячей магнитоактивной плазме, удерживаемой в больших магнитных ловушках УТС, традиционно сталкивается с проблемой огромного разброса пространственных масштабов – длина волны и характерный масштаб пространственной дисперсии волн оказываются на два–четыре порядка меньше геометрических размеров установок. Это обстоятельство делает полноволновое моделирование, опирающееся на прямое решение уравнений Максвелла, дополненных уравнениями для возбуждаемого в среде тока, крайне затруднительным.

В качестве решения этой проблемы чаще всего используется асимптотический подход, опирающийся на приближение геометрической оптики [1, 2]. В этом подходе распространение волн и их поглощение заменяется расчетом геометрооптических лучей и решением уравнения переноса интенсивности, а в отдельных случаях и поляризации, вдоль каждого луча. Этот подход хорошо зарекомендовал себя при планировании и интерпретации результатов экспериментов по нагреву и диагностике термоядерной плазмы. Одним из достоинств геометрической оптики является тривиальное на идейном уровне включение в нее эффектов пространственной дисперсии и резонансной диссипации. К недостаткам геометрооптического подхода относятся невозможность по известному лучу сказать что-либо о поперечной структуре поля и необходимость выполнения иерархии неравенств

  λaL, MathType@MTEF@5@5@+= feaahGart1ev3aqatCvAUfeBSjuyZL2yd9gzLbvyNv2Caerbov2D09 MBdbqedmvETj2BSbqeeuuDJXwAKbsr4rNCHbGeaGqik8fkY=xipgYl h9vqqj=hEeeu0xXdi9arFj0xirFj0dXdbba91qpK0=yr0RYxfr=Jbb f9q8aq0=yq=He9q8qqQ8frFve9Fve9Ff0dmeaabaqaciaacaGaaeqa baqabeGadaaakeaaqaaaaaaaaaWdbiabeU7aSjablQMi9iaadggacq WIQjspcaWGmbGaaiilaaaa@37FA@      (1)

где λ MathType@MTEF@5@5@+= feaahGart1ev3aqatCvAUfeBSjuyZL2yd9gzLbvyNv2Caerbov2D09 MBdbqedmvETj2BSbqeeuuDJXwAKbsr4rNCHbGeaGqik8fkY=xipgYl h9vqqj=hEeeu0xXdi9arFj0xirFj0dXdbba91qpK0=yr0RYxfr=Jbb f9q8aq0=yq=He9q8qqQ8frFve9Fve9Ff0dmeaabaqaciaacaGaaeqa baqabeGadaaakeaaqaaaaaaaaaWdbiabeU7aSbaa@32DF@   MathType@MTEF@5@5@+= feaahGart1ev3aqatCvAUfeBSjuyZL2yd9gzLbvyNv2CaerbuLwBLn hiov2DGi1BTfMBaeXatLxBI9gBaerbd9wDYLwzYbItLDharqqtubsr 4rNCHbGeaGqiVu0Je9sqqrpepC0xbbL8F4rqqrFfpeea0xe9Lq=Jc9 vqaqpepm0xbba9pwe9Q8fs0=yqaqpepae9pg0FirpepeKkFr0xfr=x fr=xb9adbaqaaeGaciGaaiaabeqaamaabaabaaGcbaacbaqcLbwaqa aaaaaaaaWdbiaa=nbiaaa@37A4@  длина волны, a MathType@MTEF@5@5@+= feaahGart1ev3aqatCvAUfeBSjuyZL2yd9gzLbvyNv2Caerbov2D09 MBdbqedmvETj2BSbqeeuuDJXwAKbsr4rNCHbGeaGqik8fkY=xipgYl h9vqqj=hEeeu0xXdi9arFj0xirFj0dXdbba91qpK0=yr0RYxfr=Jbb f9q8aq0=yq=He9q8qqQ8frFve9Fve9Ff0dmeaabaqaciaacaGaaeqa baqabeGadaaakeaaqaaaaaaaaaWdbiaadggaaaa@3211@   MathType@MTEF@5@5@+= feaahGart1ev3aqatCvAUfeBSjuyZL2yd9gzLbvyNv2CaerbuLwBLn hiov2DGi1BTfMBaeXatLxBI9gBaerbd9wDYLwzYbItLDharqqtubsr 4rNCHbGeaGqiVu0Je9sqqrpepC0xbbL8F4rqqrFfpeea0xe9Lq=Jc9 vqaqpepm0xbba9pwe9Q8fs0=yqaqpepae9pg0FirpepeKkFr0xfr=x fr=xb9adbaqaaeGaciGaaiaabeqaamaabaabaaGcbaacbaqcLbwaqa aaaaaaaaWdbiaa=nbiaaa@37A4@  поперечный размер волнового пучка, L MathType@MTEF@5@5@+= feaahGart1ev3aqatCvAUfeBSjuyZL2yd9gzLbvyNv2Caerbov2D09 MBdbqedmvETj2BSbqeeuuDJXwAKbsr4rNCHbGeaGqik8fkY=xipgYl h9vqqj=hEeeu0xXdi9arFj0xirFj0dXdbba91qpK0=yr0RYxfr=Jbb f9q8aq0=yq=He9q8qqQ8frFve9Fve9Ff0dmeaabaqaciaacaGaaeqa baqabeGadaaakeaaqaaaaaaaaaWdbiaadYeaaaa@31FC@   MathType@MTEF@5@5@+= feaahGart1ev3aqatCvAUfeBSjuyZL2yd9gzLbvyNv2CaerbuLwBLn hiov2DGi1BTfMBaeXatLxBI9gBaerbd9wDYLwzYbItLDharqqtubsr 4rNCHbGeaGqiVu0Je9sqqrpepC0xbbL8F4rqqrFfpeea0xe9Lq=Jc9 vqaqpepm0xbba9pwe9Q8fs0=yqaqpepae9pg0FirpepeKkFr0xfr=x fr=xb9adbaqaaeGaciGaaiaabeqaamaabaabaaGcbaacbaqcLbwaqa aaaaaaaaWdbiaa=nbiaaa@37A4@  масштаб неоднородности среды. Второе неравенство может нарушаться, например, в областях резонансного поглощения.

Не всегда решает указанные проблемы и следующий шаг в развитии асимптотических средств моделирования – beam-tracing [3]. В этом подходе используется представление об автомодельности гауссовского распределения поля в волновом пучке, справедливое для ряда упрощенных случаев. Для таких модельных задач фиксируется поперечная структура пучка, а управляющие параметры (ширина, кривизна волнового фронта и т. д.) находятся из решения эволюционных уравнений вдоль луча. При этом предполагается, что коэффициент поглощения волн неоднороден только вдоль несущего геометрооптического луча, что хорошо отвечает традиционной схеме электронного циклотронного нагрева термоядерной плазмы с поперечным экваториальным вводом мощности [4–6]. Такой подход хоть и позволяет достаточно правдоподобно восстановить распределение поля, страдает рядом врожденных недостатков, не позволяющих использовать его в тех случаях, когда коэффициент поглощения заметно неоднороден в поперечной плоскости пучка [7]. Так происходит, например, при вертикальном вводе излучения в тороидальные установки [8, 9]. Серьезную проблему для этого подхода создают эффекты отражения и формирования каустик на трассе распространения пучка и в области поглощения. Такие эффекты важны для нагрева плазмы в аксиально-симметричных магнитных ловушках [10], идейно родственных “методу магнитного берега” [11], и для случая так называемой “тангенциальной инжекции” для безындукционной генерации тока с высокой плотностью в тороидальных установках [12, 13]. При этом в рамках формализма beam-tracing могут возникать нефизические эффекты завышенного или отрицательного поглощения; с другой стороны, реальные эффекты совместного влияния дифракции и резонансной диссипации могут выпасть из результатов моделирования [7, 13, 14].

Для преодоления этих недостатков был сделан следующий шаг – разработан аберрационный квазиоптический подход на основе эволюционного параболического уравнения для волнового поля [15–19]. Было продемонстрировано, что этот подход успешно справляется с одновременным учетом диссипации, пространственной неоднородности, пространственной и временной дисперсии и дифракции. Для некоторых модельных задач было проведено сравнение точных решений с результатами квазиоптического моделирования и показано хорошее соответствие [20]. Однако даже полный квазиоптический подход к моделированию распространения электромагнитных волн имеет свои недостатки:

·        численная схема решения эволюционного уравнения становится в задачах без естественной факторизации довольно громоздкой и требовательной к вычислительным ресурсам;

·        вычисляемая в квазиоптическом подходе скалярная комплексная амплитуда волны сложным образом связана с характеристиками реального векторного электромагнитного поля, что приводит к не до конца обоснованной феноменологической процедуре вычисления плотности поглощенной мощности;

·        по этой же причине затруднено прямое сравнение квазиоптического подхода с полноволновым моделированием, круг модельных задач, для которых это возможно, очень ограничен.

Развивается также подход, основанный на разложении Габора исходного скалярного поля на набор элементарных гауссовых пучков с последующим суммированием с учетом их взаимной фазы [21]. Этот метод позволяет описывать некоторые аберрационные эффекты, выходящие за пределы применимости стандартного beam-tracing [22].

Появление вычислительных мощностей, позволяющих проводить параллельные расчеты с высокой эффективностью, стимулировали развитие еще одного подхода к нахождению асимптотического решения уравнений Максвелла, основанного на решении “лучевого кинетического уравнения” для функции Вигнера [23], известного также как формализм Вейля [24]. Формально точно вычисленная функция Вигнера позволяет восстановить любую билинейную форму реального поля. Этот метод является адаптацией хорошо известного из квантовой механики и оптики вигнеровского подхода к построению квазиклассического приближения, позволяющего сводить уравнение Шредингера в некоторых приближениях к кинетическому уравнению Больцмана [25, 26]. Идейно этот подход близок и к многолучевой геометрической оптике, в которой волновой пучок моделируется целым набором независимых [27] или взаимодействующих [28] геометрооптических лучей. Такой подход не лишен недостатков и ограничений:

·        по смыслу используемых разложений он должен классифицироваться как безаберрационный [29];

·        он позволяет реконструировать только квадратичные величины, но не само электрическое поле в волне;

·        в практических приложениях он требует очень большого числа лучей ( 10 6 MathType@MTEF@5@5@+= feaahGart1ev3aqatCvAUfeBSjuyZL2yd9gzLbvyNv2Caerbov2D09 MBdbqedmvETj2BSbqeeuuDJXwAKbsr4rNCHbGeaGqik8fkY=xipgYl h9vqqj=hEeeu0xXdi9arFj0xirFj0dXdbba91qpK0=yr0RYxfr=Jbb f9q8aq0=yq=He9q8qqQ8frFve9Fve9Ff0dmeaabaqaciaacaGaaeqa baqabeGadaaakeaaqaaaaaaaaaWdbiaaigdacaaIWaWdamaaCaaale qabaWdbiaaiAdaaaaaaa@33AC@  и выше) для обеспечения приемлемой точности [30].

·        Тем не менее, метод обладает несомненными достоинствами:

·        возможностью последовательного учета пространственной и временной дисперсии и диссипации;

·        строго обоснованной с физической точки зрения процедурой восстановления характеристик реального волнового поля, например, плотности вложенной мощности.

Развитие кодов на основе этого подхода происходит в последнее время довольно стремительно [31–35].

Наиболее сложным эффектом для моделирования с использованием безаберрационных кодов является неоднородная на поперечном масштабе квазиоптического волнового пучка диссипация [7, 14] и пространственная дисперсия диссипации [36]. При этом значительная неоднородность коэффициента поглощения поперек волнового пучка характерна для целого ряда схем нагрева плазмы в тороидальных и аксиально-симметричных магнитных ловушках. Это связано как с резонансным характером поглощения СВЧ-волн, так и с релятивистскими эффектами, приводящими к негладким профилям поглощения (при достаточно слабом магнитном поле поглощение отсутствует полностью). С математической точки зрения это выражается в том, что компоненты тензора диэлектрической проницаемости представляются неаналитическими функциями ([37], § MathType@MTEF@5@5@+= feaahGart1ev3aqatCvAUfeBSjuyZL2yd9gzLbvyNv2Caerbov2D09 MBdbqedmvETj2BSbqeeuuDJXwAKbsr4rNCHbGeaGqik8fkY=xipgYl h9vqqj=hEeeu0xXdi9arFj0xirFj0dXdbba91qpK0=yr0RYxfr=Jbb f9q8aq0=yq=He9q8qqQ8frFve9Fve9Ff0dmeaabaqaciaacaGaaeqa baqabeGadaaakeaaqaaaaaaaaaWdbiaabEkaaaa@3255@  16 гл. 4).

В данной работе мы предлагаем систематическое изложение метода кинетического уравнения для функции Вигнера для моделирования распространения и поглощения электромагнитных волн в анизотропных и гиротропных диссипативных средах с пространственной дисперсией. Хотя такой подход в целом известен специалистам, его последовательное и формальное изложение для задач моделирования распространения волн в сложных средах не так просто найти в литературе. Поэтому нам кажется полезным с методической точки зрения привести это изложение в данной статье, начиная с основ и заканчивая построением асимптотической теории для плавнонеоднородных и слабодиссипативных сред MathType@MTEF@5@5@+= feaahGart1ev3aqatCvAUfeBSjuyZL2yd9gzLbvyNv2CaerbuLwBLn hiov2DGi1BTfMBaeXatLxBI9gBaerbd9wDYLwzYbItLDharqqtubsr 4rNCHbGeaGqiVu0Je9sqqrpepC0xbbL8F4rqqrFfpeea0xe9Lq=Jc9 vqaqpepm0xbba9pwe9Q8fs0=yqaqpepae9pg0FirpepeKkFr0xfr=x fr=xb9adbaqaaeGaciGaaiaabeqaamaabaabaaGcbaacbaqcLbwaqa aaaaaaaaWdbiaa=nbiaaa@37A4@  случая, наиболее востребованного для практических приложений. При этом естественным образом возникает новый не обсуждавшийся ранее подход, основанный на стохастическом описании лучей. Этот подход позволяет повысить точность метода кинетического уравнения для функции Вигнера при решении задач с существенной поперечной неоднородностью коэффициента поглощения.

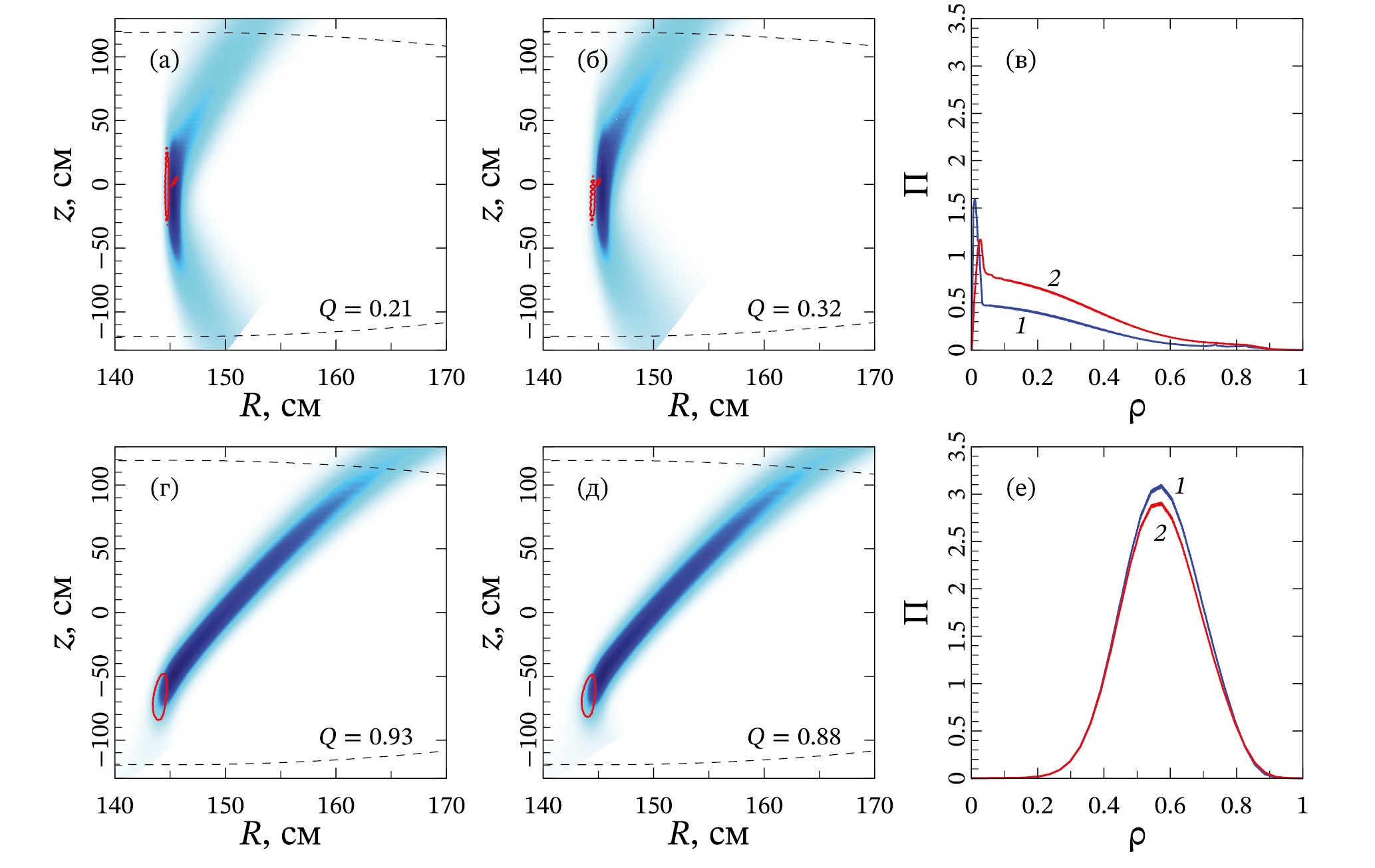
Структура работы следующая. В разд. 2 вводится формализм, используемый далее MathType@MTEF@5@5@+= feaahGart1ev3aqatCvAUfeBSjuyZL2yd9gzLbvyNv2CaerbuLwBLn hiov2DGi1BTfMBaeXatLxBI9gBaerbd9wDYLwzYbItLDharqqtubsr 4rNCHbGeaGqiVu0Je9sqqrpepC0xbbL8F4rqqrFfpeea0xe9Lq=Jc9 vqaqpepm0xbba9pwe9Q8fs0=yqaqpepae9pg0FirpepeKkFr0xfr=x fr=xb9adbaqaaeGaciGaaiaabeqaamaabaabaaGcbaacbaqcLbwaqa aaaaaaaaWdbiaa=nbiaaa@37A4@  представление Вейля для псевдодифференциальных линейных операторов и функция Вигнера для скалярного поля. В разд. 3 вводится тензорная функция Вигнера для монохроматического электромагнитного поля и формулируется кинетическое уравнение для нее. В разд. 4 и 5 вводится скалярная функция Вигнера для электромагнитного поля и обсуждается ее связь с квазиоптическим приближением. В разд. 6 рассматривается первый асимптотический порядок в плавнонеоднородной и слабодиссипативной среде, приводящий к кинетическому уравнения Больцмана для скалярной функции Вигнера (кинетический лучевой подход). В разд. 7 рассматривается второй порядок MathType@MTEF@5@5@+= feaahGart1ev3aqatCvAUfeBSjuyZL2yd9gzLbvyNv2CaerbuLwBLn hiov2DGi1BTfMBaeXatLxBI9gBaerbd9wDYLwzYbItLDharqqtubsr 4rNCHbGeaGqiVu0Je9sqqrpepC0xbbL8F4rqqrFfpeea0xe9Lq=Jc9 vqaqpepm0xbba9pwe9Q8fs0=yqaqpepae9pg0FirpepeKkFr0xfr=x fr=xb9adbaqaaeGaciGaaiaabeqaamaabaabaaGcbaacbaqcLbwaqa aaaaaaaaWdbiaa=nbiaaa@37A4@  показывается, что эффекты неоднородного поглощения приводят к переходу от уравнения Больцмана к уравнению Фоккера MathType@MTEF@5@5@+= feaahGart1ev3aqatCvAUfeBSjuyZL2yd9gzLbvyNv2CaerbuLwBLn hiov2DGi1BTfMBaeXatLxBI9gBaerbd9wDYLwzYbItLDharqqtubsr 4rNCHbGeaGqiVu0Je9sqqrpepC0xbbL8F4rqqrFfpeea0xe9Lq=Jc9 vqaqpepm0xbba9pwe9Q8fs0=yqaqpepae9pg0FirpepeKkFr0xfr=x fr=xb9adbaqaaeGaciGaaiaabeqaamaabaabaaGcbaacbaqcLbwaqa aaaaaaaaWdbiaa=nbiaaa@37A4@ Планка, которое может быть решено добавлением стохастической силы в уравнения Гамильтона для лучей (диффузионное приближение). В разд. 8 обсуждаются начальные условия для кинетического уравнения. В разд. 9 выводятся нетривиальные для сред с пространственной дисперсией выражения для плотностей потока энергии и поглощаемой мощности через введенные функции Вигнера. В разд. 10 приводится пример использования развитой техники для решения задачи о распространении волнового пучка через область замагниченной плазмы с неоднородным циклотронным поглощением в плазме токамака. Пример носит демонстрационный характер и не имеет самостоятельной ценности, однако он показывает разницу между первым и вторым порядком асимптотической теории, проявляющейся из-за резонансной диссипации. В Заключении подводятся итоги работы.

2. Функция вигнера для скалярного поля

Начнем с введения формализма Вейля для псевдодифференциальных операторов. Линейный оператор, действующий на скалярное комплексное поле ψ r' MathType@MTEF@5@5@+= feaahGart1ev3aqatCvAUfeBSjuyZL2yd9gzLbvyNv2Caerbov2D09 MBdbqedmvETj2BSbqeeuuDJXwAKbsr4rNCHbGeaGqik8fkY=xipgYl h9vqqj=hEeeu0xXdi9arFj0xirFj0dXdbba91qpK0=yr0RYxfr=Jbb f9q8aq0=yq=He9q8qqQ8frFve9Fve9Ff0dmeaabaqaciaacaGaaeqa baqabeGadaaakeaaqaaaaaaaaaWdbiabeI8a5naabmaapaqaa8qaca WHYbGaae4jaaGaayjkaiaawMcaaaaa@3646@ , можно представить через интегральное ядро, возможно содержащее обобщенную дельта-функцию Дирака и ее производные, как

  A ^ ψ= A r,r' ψ r' dr'. MathType@MTEF@5@5@+= feaahGart1ev3aqatCvAUfeBSjuyZL2yd9gzLbvyNv2Caerbov2D09 MBdbqedmvETj2BSbqeeuuDJXwAKbsr4rNCHbGeaGqik8fkY=xipgYl h9vqqj=hEeeu0xXdi9arFj0xirFj0dXdbba91qpK0=yr0RYxfr=Jbb f9q8aq0=yq=He9q8qqQ8frFve9Fve9Ff0dmeaabaqaciaacaGaaeqa baqabeGadaaakeaaqaaaaaaaaaWdbmaaHaaabaWefv3ySLgznfgDOf daryqr1ngBPrginfgDObYtUvgaiqaacqWFaeFqaiaawkWaaiabeI8a 5jabg2da9iaaK3aidaWdbaqaaiab=bq8bnaabmaapaqaa8qacaWHYb GaaiilaiaahkhacaqGNaaacaGLOaGaayzkaaGaeqiYdK3aaeWaa8aa baWdbiaahkhacaqGNaaacaGLOaGaayzkaaGaamizaiaahkhacaqGNa GaaiOlaaWcbeqab0Gaey4kIipaaaa@5219@                   (2)

Здесь dr'=dx'dy'dz' MathType@MTEF@5@5@+= feaahGart1ev3aqatCvAUfeBSjuyZL2yd9gzLbvyNv2Caerbov2D09 MBdbqedmvETj2BSbqeeuuDJXwAKbsr4rNCHbGeaGqik8fkY=xipgYl h9vqqj=hEeeu0xXdi9arFj0xirFj0dXdbba91qpK0=yr0RYxfr=Jbb f9q8aq0=yq=He9q8qqQ8frFve9Fve9Ff0dmeaabaqaciaacaGaaeqa baqabeGadaaakeaaqaaaaaaaaaWdbiaadsgacaWHYbGaae4jaiabg2 da9iaadsgacaWG4bGaae4jaiaadsgacaWG5bGaae4jaiaadsgacaWG 6bGaae4jaaaa@3C72@  обозначает элемент объема (а не приращение вектора); в таком же смысле мы будем понимать дифференциалы от векторных величин во всех остальных интегральных соотношениях, используемых в статье. Эрмитово-сопряженный оператор A ^ + MathType@MTEF@5@5@+= feaahGart1ev3aqatCvAUfeBSjuyZL2yd9gzLbvyNv2Caerbov2D09 MBdbqedmvETj2BSbqeeuuDJXwAKbsr4rNCHbGeaGqik8fkY=xipgYl h9vqqj=hEeeu0xXdi9arFj0xirFj0dXdbba91qpK0=yr0RYxfr=Jbb f9q8aq0=yq=He9q8qqQ8frFve9Fve9Ff0dmeaabaqaciaacaGaaeqa baqabeGadaaakeaadaqiaaqaamrr1ngBPrwtHrhAXaqeguuDJXwAKb stHrhAG8KBLbaceaaeaaaaaaaaa8qacqWFaeFqa8aacaGLcmaadaah aaWcbeqaa8qacqGHRaWkaaaaaa@3E5B@  при стандартном определении скалярного произведения отвечает ядру A * r',r MathType@MTEF@5@5@+= feaahGart1ev3aqatCvAUfeBSjuyZL2yd9gzLbvyNv2Caerbov2D09 MBdbqedmvETj2BSbqeeuuDJXwAKbsr4rNCHbGeaGqik8fkY=xipgYl h9vqqj=hEeeu0xXdi9arFj0xirFj0dXdbba91qpK0=yr0RYxfr=Jbb f9q8aq0=yq=He9q8qqQ8frFve9Fve9Ff0dmeaabaqaciaacaGaaeqa baqabeGadaaakeaatuuDJXwAK1uy0HwmaeHbfv3ySLgzG0uy0Hgip5 wzaGabaabaaaaaaaaapeGae8haXh0damaaCaaaleqabaWdbiaabQca aaGcdaqadaWdaeaapeGaaCOCaiaabEcacaGGSaGaaCOCaaGaayjkai aawMcaaaaa@4266@ , где звездочкой обозначена операция комплексного сопряжения.

Будем называть вейлевским представлением оператора следующую функцию [26, 38]:

A R,K = A R+ξ/2,Rξ/2 exp iKξ dξ . MathType@MTEF@5@5@+= feaahGart1ev3aqatCvAUfeBSjuyZL2yd9gzLbvyNv2Caerbov2D09 MBdbqedmvETj2BSbqeeuuDJXwAKbsr4rNCHbGeaGqik8fkY=xipgYl h9vqqj=hEeeu0xXdi9arFj0xirFj0dXdbba91qpK0=yr0RYxfr=Jbb f9q8aq0=yq=He9q8qqQ8frFve9Fve9Ff0dmeaabaqaciaacaGaaeqa baqabeGadaaakeaaqaaaaaaaaaWdbiaadgeadaqadaWdaeaapeGaaC OuaiaacYcacaWHlbaacaGLOaGaayzkaaGaeyypa0JaaqEdGmaapeaa baWefv3ySLgznfgDOfdaryqr1ngBPrginfgDObYtUvgaiqaacqWFae FqdaqadaWdaeaapeGaaCOuaiabgUcaRiabe67a4jaac+cacaaIYaGa aiilaiaahkfacqGHsislcqaH+oaEcaGGVaGaaGOmaaGaayjkaiaawM caaiaabwgacaqG4bGaaeiCamaabmaapaqaa8qacqGHsislcaWGPbGa aC4saiabe67a4bGaayjkaiaawMcaaiaadsgacqaH+oaEaSqabeqani abgUIiYdGccaGGUaaaaa@5DE5@  (3)

Здесь и далее каллиграфическое написание относится к ядрам операторов в форме (2), а аналогичное курсивное – к их вейлевскому представлению (3). Обратное выражение для ядра линейного оператора через его вейлевское представление есть 

A r,r' = A r+r' 2 ,K exp iK  rr' dK (2π) 3 . MathType@MTEF@5@5@+= feaahGart1ev3aqatCvAUfeBSjuyZL2yd9gzLbvyNv2Caerbov2D09 MBdbqedmvETj2BSbqeeuuDJXwAKbsr4rNCHbGeaGqik8fkY=xipgYl h9vqqj=hEeeu0xXdi9arFj0xirFj0dXdbba91qpK0=yr0RYxfr=Jbb f9q8aq0=yq=He9q8qqQ8frFve9Fve9Ff0dmeaabaqaciaacaGaaeqa baqabeGadaaakeaatuuDJXwAK1uy0HwmaeHbfv3ySLgzG0uy0Hgip5 wzaGabaabaaaaaaaaapeGae8haXh0aaeWaa8aabaWdbiaahkhacaGG SaGaaCOCaiaabEcaaiaawIcacaGLPaaacqGH9aqpcaa5naYaa8qaae aacaWGbbWaaeWaa8aabaWdbmaalaaapaqaa8qacaWHYbGaey4kaSIa aCOCaiaabEcaa8aabaWdbiaaikdaaaGaaiilaiaahUeaaiaawIcaca GLPaaacaqGLbGaaeiEaiaabchadaqadaWdaeaapeGaamyAaiaahUea caa5GcWaaeWaa8aabaWdbiaahkhacqGHsislcaWHYbGaae4jaaGaay jkaiaawMcaaaGaayjkaiaawMcaamaalaaapaqaa8qacaWGKbGaaC4s aaWdaeaapeGaaiikaiaaikdacqaHapaCcaGGPaWdamaaCaaaleqaba WdbiaaiodaaaaaaOGaaiOlaaWcbeqab0Gaey4kIipaaaa@6292@  (4)

Таким образом возникает взаимно-однозначное соответствие между операторами (2) и их вейлевскими представлениями (3).

Вычисляя комплексное сопряжение от формулы (3), получаем

A * R,K = A R+ξ/2 ,Rξ/2 exp iKξ * dξ = MathType@MTEF@5@5@+= feaahGart1ev3aqatCvAUfeBSjuyZL2yd9gzLbvyNv2Caerbov2D09 MBdbqedmvETj2BSbqeeuuDJXwAKbsr4rNCHbGeaGqik8fkY=xipgYl h9vqqj=hEeeu0xXdi9arFj0xirFj0dXdbba91qpK0=yr0RYxfr=Jbb f9q8aq0=yq=He9q8qqQ8frFve9Fve9Ff0dmeaabaqaciaacaGaaeqa baqabeGadaaakeaaqaaaaaaaaaWdbiaadgeapaWaaWbaaSqabeaape GaaeOkaaaakmaabmaapaqaa8qacaWHsbGaaiilaiaahUeaaiaawIca caGLPaaacqGH9aqpdaWdbaqaaiaaK3aidaWadaqaamrr1ngBPrwtHr hAXaqeguuDJXwAKbstHrhAG8KBLbaceaGae8haXh0aaeWaa8aabaWd biaahkfacqGHRaWkdaWcgaqaaiabe67a4bqaaiaaikdaaaGaaiilai aahkfacqGHsisldaWcgaqaaiabe67a4bqaaiaaikdaaaaacaGLOaGa ayzkaaGaaeyzaiaabIhacaqGWbWaaeWaa8aabaWdbiabgkHiTiaadM gacaWHlbGaeqOVdGhacaGLOaGaayzkaaaacaGLBbGaayzxaaWdamaa CaaaleqabaWdbiaabQcaaaGccaWGKbGaeqOVdGhaleqabeqdcqGHRi I8aOGaeyypa0daaa@60F7@

= A * Rξ/2 ,R+ξ/2 exp iKξ dξ = MathType@MTEF@5@5@+= feaahGart1ev3aqatCvAUfeBSjuyZL2yd9gzLbvyNv2Caerbov2D09 MBdbqedmvETj2BSbqeeuuDJXwAKbsr4rNCHbGeaGqik8fkY=xipgYl h9vqqj=hEeeu0xXdi9arFj0xirFj0dXdbba91qpK0=yr0RYxfr=Jbb f9q8aq0=yq=He9q8qqQ8frFve9Fve9Ff0dmeaabaqaciaacaGaaeqa baqabeGadaaakeaaqaaaaaaaaaWdbiabg2da9maapeaabaWefv3ySL gznfgDOfdaryqr1ngBPrginfgDObYtUvgaiqaacqWFaeFqpaWaaWba aSqabeaapeGaaeOkaaaakmaabmaapaqaa8qacaWHsbGaeyOeI0YaaS GbaeaacqaH+oaEaeaacaaIYaaaaiaacYcacaWHsbGaey4kaSYaaSGb aeaacqaH+oaEaeaacaaIYaaaaaGaayjkaiaawMcaaiaabwgacaqG4b GaaeiCamaabmaapaqaa8qacqGHsislcaWGPbGaaC4saiabe67a4bGa ayjkaiaawMcaaiaadsgacqaH+oaEaSqabeqaniabgUIiYdGccqGH9a qpaaa@5822@

= A + R+ξ/2 ,Rξ/2 exp iKξ dξ . MathType@MTEF@5@5@+= feaahGart1ev3aqatCvAUfeBSjuyZL2yd9gzLbvyNv2Caerbov2D09 MBdbqedmvETj2BSbqeeuuDJXwAKbsr4rNCHbGeaGqik8fkY=xipgYl h9vqqj=hEeeu0xXdi9arFj0xirFj0dXdbba91qpK0=yr0RYxfr=Jbb f9q8aq0=yq=He9q8qqQ8frFve9Fve9Ff0dmeaabaqaciaacaGaaeqa baqabeGadaaakeaaqaaaaaaaaaWdbiabg2da9iaaK3aidaWdbaqaam rr1ngBPrwtHrhAXaqeguuDJXwAKbstHrhAG8KBLbaceaGae8haXh0d amaaCaaaleqabaWdbiabgUcaRaaakmaabmaapaqaa8qacaWHsbGaey 4kaSYaaSGbaeaacqaH+oaEaeaacaaIYaaaaiaacYcacaWHsbGaeyOe I0YaaSGbaeaacqaH+oaEaeaacaaIYaaaaaGaayjkaiaawMcaaiaabw gacaqG4bGaaeiCamaabmaapaqaa8qacqGHsislcaWGPbGaaC4saiab e67a4bGaayjkaiaawMcaaiaadsgacqaH+oaEaSqabeqaniabgUIiYd GccaGGUaaaaa@5916@

То есть комплексное сопряжение вейлевского представления линейного оператора порождает эрмитово-сопряженный оператор A ^ + MathType@MTEF@5@5@+= feaahGart1ev3aqatCvAUfeBSjuyZL2yd9gzLbvyNv2Caerbov2D09 MBdbqedmvETj2BSbqeeuuDJXwAKbsr4rNCHbGeaGqik8fkY=xipgYl h9vqqj=hEeeu0xXdi9arFj0xirFj0dXdbba91qpK0=yr0RYxfr=Jbb f9q8aq0=yq=He9q8qqQ8frFve9Fve9Ff0dmeaabaqaciaacaGaaeqa baqabeGadaaakeaaqaaaaaaaaaWdbmaaHaaabaWefv3ySLgznfgDOf daryqr1ngBPrginfgDObYtUvgaiqaacqWFaeFqaiaawkWaa8aadaah aaWcbeqaa8qacqGHRaWkaaaaaa@3E5B@ . Из этого следует, что эрмитову оператору отвечает действительное вейлевское представление, а антиэрмитовому оператору – чисто мнимое представление.

Рассмотрим, например, оператор умножения на функцию координат

Q ^ ψ q r ψ=ψ r q r δ r r d r . MathType@MTEF@5@5@+= feaahGart1ev3aqatCvAUfeBSjuyZL2yd9gzLbvyNv2Caerbov2D09 MBdbqedmvETj2BSbqeeuuDJXwAKbsr4rNCHbGeaGqik8fkY=xipgYl h9vqqj=hEeeu0xXdi9arFj0xirFj0dXdbba91qpK0=yr0RYxfr=Jbb f9q8aq0=yq=He9q8qqQ8frFve9Fve9Ff0dmeaabaqaciaacaGaaeqa baqabeGadaaakeaaqaaaaaaaaaWdbmaaHaaabaGaamyuaaGaayPada WaamWaa8aabaWdbiabeI8a5bGaay5waiaaw2faaiabggMi6kaadgha daqadaWdaeaapeGaaCOCaaGaayjkaiaawMcaaiabgwSixlabeI8a5j abg2da9iabgUIiYlaaK3aicqaHipqEdaqadaWdaeaapeGabCOCayaa faaacaGLOaGaayzkaaGaamyCamaabmaapaqaa8qacaWHYbaacaGLOa GaayzkaaGaeqiTdq2aaeWaa8aabaWdbiqahkhagaqbaiabgkHiTiaa hkhaaiaawIcacaGLPaaacaWGKbGabCOCayaafaGaaiOlaaaa@54F4@

Отвечающее ему вейлевское представление есть

Q= q R+ξ/2 δ ξ e iKξ dξ=q R . MathType@MTEF@5@5@+= feaahGart1ev3aqatCvAUfeBSjuyZL2yd9gzLbvyNv2Caerbov2D09 MBdbqedmvETj2BSbqeeuuDJXwAKbsr4rNCHbGeaGqik8fkY=xipgYl h9vqqj=hEeeu0xXdi9arFj0xirFj0dXdbba91qpK0=yr0RYxfr=Jbb f9q8aq0=yq=He9q8qqQ8frFve9Fve9Ff0dmeaabaqaciaacaGaaeqa baqabeGadaaakeaaqaaaaaaaaaWdbiaadgfacqGH9aqpdaWdbaqaai aadghadaqadaWdaeaapeGaaCOuaiabgUcaRiabe67a4jaac+cacaaI YaaacaGLOaGaayzkaaGaeqiTdq2aaeWaa8aabaWdbiabe67a4bGaay jkaiaawMcaaiaabwgapaWaaWbaaSqabeaapeGaeyOeI0IaamyAaiaa hUeacqaH+oaEaaGccaWGKbGaeqOVdGNaeyypa0JaamyCamaabmaapa qaa8qacaWHsbaacaGLOaGaayzkaaGaaiOlaaWcbeqab0Gaey4kIipa aaa@4F2C@

Другой пример. Операторы дифференцирования

D ^ 0 ψ ψ r ,     D ^ 1 ψ = r rψ,    D ^ 2 ψ =r r ψ MathType@MTEF@5@5@+= feaahGart1ev3aaatCvAUfeBSjuyZL2yd9gzLbvyNv2Caerbov2D09 MBdbqedmvETj2BSbqeeuuDJXwAKbsr4rNCHbGeaGqik8fkY=xipgYl h9vqqj=hEeeu0xXdi9arFj0xirFj0dXdbba91qpK0=yr0RYxfr=Jbb f9q8aq0=yq=He9q8qqQ8frFve9Fve9Ff0dmeaabaqaciaacaGaaeqa baqabeGadaaakeaaqaaaaaaaaaWdbmaaHaaabaGaamiraaGaayPada WaaSbaaSqaamaaBaaameaacaaIWaaabeaaaSqabaGcdaWadaWdaeaa peGaeqiYdKhacaGLBbGaayzxaaGaeyyyIO7aaSaaa8aabaWdbiabgk Gi2kabeI8a5bWdaeaapeGaeyOaIyRaaCOCaaaacaGGSaGaaqoOaiaa Kdkacaa5GcGaaqoOamaaHaaabaGaamiraaGaayPadaWaaSbaaSqaam aaBaaameaacaaIXaaabeaaaSqabaGcdaWadaWdaeaapeGaeqiYdKha caGLBbGaayzxaaGaeyypa0ZaaSaaa8aabaWdbiabgkGi2cWdaeaape GaeyOaIyRaaCOCaaaacaWHYbGaeqiYdKNaaiilaiaaKdkacaa5GcGa aqoOamaaHaaabaGaamiraaGaayPadaWaaSbaaSqaamaaBaaameaaca aIYaaabeaaaSqabaGcdaWadaWdaeaapeGaeqiYdKhacaGLBbGaayzx aaGaeyypa0JaaCOCamaalaaapaqaa8qacqGHciITa8aabaWdbiabgk Gi2kaahkhaaaGaeqiYdKhaaa@6861@

имеют вейлевские представления

D 0 = e iKξ δ ξ dξ=iK , MathType@MTEF@5@5@+= feaahGart1ev3aqatCvAUfeBSjuyZL2yd9gzLbvyNv2Caerbov2D09 MBdbqedmvETj2BSbqeeuuDJXwAKbsr4rNCHbGeaGqik8fkY=xipgYl h9vqqj=hEeeu0xXdi9arFj0xirFj0dXdbba91qpK0=yr0RYxfr=Jbb f9q8aq0=yq=He9q8qqQ8frFve9Fve9Ff0dmeaabaqaciaacaGaaeqa baqabeGadaaakeaaqaaaaaaaaaWdbiaadseapaWaaSbaaSqaa8qaca aIWaaapaqabaGcpeGaeyypa0Zaa8qaaeaacaa5naIaaeyza8aadaah aaWcbeqaa8qacqGHsislcaWGPbGaaC4saiabe67a4baakiabgEGirl abes7aKnaabmaapaqaa8qacqaH+oaEaiaawIcacaGLPaaacaWGKbGa eqOVdGNaeyypa0JaamyAaiaahUeaaSqabeqaniabgUIiYdGccaGGSa aaaa@49AA@

D 1,2 = Rξ/2 e iKξ δ ξ dξ=iKR 1 2 . MathType@MTEF@5@5@+= feaahGart1ev3aqatCvAUfeBSjuyZL2yd9gzLbvyNv2Caerbov2D09 MBdbqedmvETj2BSbqeeuuDJXwAKbsr4rNCHbGeaGqik8fkY=xipgYl h9vqqj=hEeeu0xXdi9arFj0xirFj0dXdbba91qpK0=yr0RYxfr=Jbb f9q8aq0=yq=He9q8qqQ8frFve9Fve9Ff0dmeaabaqaciaacaGaaeqa baqabeGadaaakeaaqaaaaaaaaaWdbiaadseapaWaaSbaaSqaa8qaca aIXaGaaiilaiaaikdaa8aabeaak8qacqGH9aqpdaWdbaqaamaabmaa paqaa8qacaWHsbGaeS4eI02aaSGbaeaacqaH+oaEaeaacaaIYaaaaa GaayjkaiaawMcaaiaabwgapaWaaWbaaSqabeaapeGaeyOeI0IaamyA aiaahUeacqaH+oaEaaGccqGHhis0cqaH0oazdaqadaWdaeaapeGaeq OVdGhacaGLOaGaayzkaaGaamizaiabe67a4jabg2da9iaadMgacaWH lbGaaCOuaiabloHiTnaalaaapaqaa8qacaaIXaaapaqaa8qacaaIYa aaaiaac6caaSqabeqaniabgUIiYdaaaa@541A@

При этом действительное представление KR MathType@MTEF@5@5@+= feaahGart1ev3aqatCvAUfeBSjuyZL2yd9gzLbvyNv2Caerbov2D09 MBdbqedmvETj2BSbqeeuuDJXwAKbsr4rNCHbGeaGqik8fkY=xipgYl h9vqqj=hEeeu0xXdi9arFj0xirFj0dXdbba91qpK0=yr0RYxfr=Jbb f9q8aq0=yq=He9q8qqQ8frFve9Fve9Ff0dmeaabaqaciaacaGaaeqa baqabeGadaaakeaaqaaaaaaaaaWdbiaahUeacaWHsbaaaa@32DA@  будет отвечать эрмитовому оператору D ^ 1 + D ^ 2 /2i MathType@MTEF@5@5@+= feaahGart1ev3aqatCvAUfeBSjuyZL2yd9gzLbvyNv2Caerbov2D09 MBdbqedmvETj2BSbqeeuuDJXwAKbsr4rNCHbGeaGqik8fkY=xipgYl h9vqqj=hEeeu0xXdi9arFj0xirFj0dXdbba91qpK0=yr0RYxfr=Jbb f9q8aq0=yq=He9q8qqQ8frFve9Fve9Ff0dmeaabaqaciaacaGaaeqa baqabeGadaaakeaaqaaaaaaaaaWdbmaabmaapaqaamaaHaaabaGaam iraaGaayPadaWaaSbaaSqaa8qacaaIXaaapaqabaGcpeGaey4kaSYd amaaHaaabaGaamiraaGaayPadaWaaSbaaSqaa8qacaaIYaaapaqaba aak8qacaGLOaGaayzkaaGaai4laiaaikdacaWGPbaaaa@3B68@ .

Вейлевское представление AB MathType@MTEF@5@5@+= feaahGart1ev3aqatCvAUfeBSjuyZL2yd9gzLbvyNv2Caerbov2D09 MBdbqedmvETj2BSbqeeuuDJXwAKbsr4rNCHbGeaGqik8fkY=xipgYl h9vqqj=hEeeu0xXdi9arFj0xirFj0dXdbba91qpK0=yr0RYxfr=Jbb f9q8aq0=yq=He9q8qqQ8frFve9Fve9Ff0dmeaabaqaciaacaGaaeqa baqabeGadaaakeaaqaaaaaaaaaWdbmaabmaapaqaa8qacaWGbbGaam OqaaGaayjkaiaawMcaaaaa@3460@  суперпозиции A ^ B ^ MathType@MTEF@5@5@+= feaahGart1ev3aqatCvAUfeBSjuyZL2yd9gzLbvyNv2Caerbov2D09 MBdbqedmvETj2BSbqeeuuDJXwAKbsr4rNCHbGeaGqik8fkY=xipgYl h9vqqj=hEeeu0xXdi9arFj0xirFj0dXdbba91qpK0=yr0RYxfr=Jbb f9q8aq0=yq=He9q8qqQ8frFve9Fve9Ff0dmeaabaqaciaacaGaaeqa baqabeGadaaakeaaqaaaaaaaaaWdbmaaHaaabaWefv3ySLgznfgDOf daryqr1ngBPrginfgDObYtUvgaiqaacqWFaeFqaiaawkWaamaaHaaa baGae8hlHieacaGLcmaaaaa@3F03@  линейных операторов A ^ MathType@MTEF@5@5@+= feaahGart1ev3aqatCvAUfeBSjuyZL2yd9gzLbvyNv2Caerbov2D09 MBdbqedmvETj2BSbqeeuuDJXwAKbsr4rNCHbGeaGqik8fkY=xipgYl h9vqqj=hEeeu0xXdi9arFj0xirFj0dXdbba91qpK0=yr0RYxfr=Jbb f9q8aq0=yq=He9q8qqQ8frFve9Fve9Ff0dmeaabaqaciaacaGaaeqa baqabeGadaaakeaaqaaaaaaaaaWdbmaaHaaabaWefv3ySLgznfgDOf daryqr1ngBPrginfgDObYtUvgaiqaacqWFaeFqaiaawkWaaaaa@3D2D@  и B ^ MathType@MTEF@5@5@+= feaahGart1ev3aqatCvAUfeBSjuyZL2yd9gzLbvyNv2Caerbov2D09 MBdbqedmvETj2BSbqeeuuDJXwAKbsr4rNCHbGeaGqik8fkY=xipgYl h9vqqj=hEeeu0xXdi9arFj0xirFj0dXdbba91qpK0=yr0RYxfr=Jbb f9q8aq0=yq=He9q8qqQ8frFve9Fve9Ff0dmeaabaqaciaacaGaaeqa baqabeGadaaakeaaqaaaaaaaaaWdbmaaHaaabaWefv3ySLgznfgDOf daryqr1ngBPrginfgDObYtUvgaiqaacqWFSeIqaiaawkWaaaaa@3C8A@  имеет вид

AB = A R+ r 1 2 ,K+ k 1 B R+ r 2 2 ,K+ k 2 × MathType@MTEF@5@5@+= feaahGart1ev3aqatCvAUfeBSjuyZL2yd9gzLbvyNv2Caerbov2D09 MBdbqedmvETj2BSbqeeuuDJXwAKbsr4rNCHbGeaGqik8fkY=xipgYl h9vqqj=hEeeu0xXdi9arFj0xirFj0dXdbba91qpK0=yr0RYxfr=Jbb f9q8aq0=yq=He9q8qqQ8frFve9Fve9Ff0dmeaabaqaciaacaGaaeqa baqabeGadaaakeaaqaaaaaaaaaWdbmaabmaapaqaa8qacaWGbbGaam OqaaGaayjkaiaawMcaaiabg2da9iaaK3aidaWdbaqaaiaadgeadaqa daWdaeaapeGaaCOuaiabgUcaRmaalaaapaqaa8qacaWHYbWdamaaBa aaleaapeGaaGymaaWdaeqaaaGcbaWdbiaaikdaaaGaaiilaiaahUea cqGHRaWkcaWHRbWdamaaBaaaleaapeGaaGymaaWdaeqaaaGcpeGaay jkaiaawMcaaiaadkeadaqadaWdaeaapeGaaCOuaiabgUcaRmaalaaa paqaa8qacaWHYbWdamaaBaaaleaapeGaaGOmaaWdaeqaaaGcbaWdbi aaikdaaaGaaiilaiaahUeacqGHRaWkcaWHRbWdamaaBaaaleaapeGa aGOmaaWdaeqaaaGcpeGaayjkaiaawMcaaiabgEna0cWcbeqab0Gaey 4kIipaaaa@5220@

×exp i k 2 r 1 i k 1 r 2 d r 1 d k 1 d r 2 d k 2 (2π) 6 . MathType@MTEF@5@5@+= feaahGart1ev3aqatCvAUfeBSjuyZL2yd9gzLbvyNv2Caerbov2D09 MBdbqedmvETj2BSbqeeuuDJXwAKbsr4rNCHbGeaGqik8fkY=xipgYl h9vqqj=hEeeu0xXdi9arFj0xirFj0dXdbba91qpK0=yr0RYxfr=Jbb f9q8aq0=yq=He9q8qqQ8frFve9Fve9Ff0dmeaabaqaciaacaGaaeqa baqabeGadaaakeaaqaaaaaaaaaWdbiabgEna0kaaysW7caqGLbGaae iEaiaabchadaqadaWdaeaapeGaamyAaiaahUgapaWaaSbaaSqaa8qa caaIYaaapaqabaGcpeGaaCOCa8aadaWgaaWcbaWdbiaaigdaa8aabe aak8qacqGHsislcaWGPbGaaC4Aa8aadaWgaaWcbaWdbiaaigdaa8aa beaak8qacaWHYbWdamaaBaaaleaapeGaaGOmaaWdaeqaaaGcpeGaay jkaiaawMcaamaalaaapaqaa8qacaWGKbGaaCOCa8aadaWgaaWcbaWd biaaigdaa8aabeaak8qacaWGKbGaaC4Aa8aadaWgaaWcbaWdbiaaig daa8aabeaak8qacaWGKbGaaCOCa8aadaWgaaWcbaWdbiaaikdaa8aa beaak8qacaWGKbGaaC4Aa8aadaWgaaWcbaWdbiaaikdaa8aabeaaaO qaa8qacaGGOaGaaGOmaiabec8aWjaacMcapaWaaWbaaSqabeaapeGa aGOnaaaaaaGccaGGUaaaaa@56BB@

Разложим подынтегральные функции в ряды по r 1 MathType@MTEF@5@5@+= feaahGart1ev3aqatCvAUfeBSjuyZL2yd9gzLbvyNv2Caerbov2D09 MBdbqedmvETj2BSbqeeuuDJXwAKbsr4rNCHbGeaGqik8fkY=xipgYl h9vqqj=hEeeu0xXdi9arFj0xirFj0dXdbba91qpK0=yr0RYxfr=Jbb f9q8aq0=yq=He9q8qqQ8frFve9Fve9Ff0dmeaabaqaciaacaGaaeqa baqabeGadaaakeaaqaaaaaaaaaWdbiaahkhapaWaaSbaaSqaa8qaca aIXaaapaqabaaaaa@333B@ , k 1 MathType@MTEF@5@5@+= feaahGart1ev3aqatCvAUfeBSjuyZL2yd9gzLbvyNv2Caerbov2D09 MBdbqedmvETj2BSbqeeuuDJXwAKbsr4rNCHbGeaGqik8fkY=xipgYl h9vqqj=hEeeu0xXdi9arFj0xirFj0dXdbba91qpK0=yr0RYxfr=Jbb f9q8aq0=yq=He9q8qqQ8frFve9Fve9Ff0dmeaabaqaciaacaGaaeqa baqabeGadaaakeaaqaaaaaaaaaWdbiaahUgapaWaaSbaaSqaa8qaca aIXaaapaqabaaaaa@3334@ , r 2 MathType@MTEF@5@5@+= feaahGart1ev3aqatCvAUfeBSjuyZL2yd9gzLbvyNv2Caerbov2D09 MBdbqedmvETj2BSbqeeuuDJXwAKbsr4rNCHbGeaGqik8fkY=xipgYl h9vqqj=hEeeu0xXdi9arFj0xirFj0dXdbba91qpK0=yr0RYxfr=Jbb f9q8aq0=yq=He9q8qqQ8frFve9Fve9Ff0dmeaabaqaciaacaGaaeqa baqabeGadaaakeaaqaaaaaaaaaWdbiaahkhapaWaaSbaaSqaa8qaca aIYaaapaqabaaaaa@333C@ , k 2 MathType@MTEF@5@5@+= feaahGart1ev3aqatCvAUfeBSjuyZL2yd9gzLbvyNv2Caerbov2D09 MBdbqedmvETj2BSbqeeuuDJXwAKbsr4rNCHbGeaGqik8fkY=xipgYl h9vqqj=hEeeu0xXdi9arFj0xirFj0dXdbba91qpK0=yr0RYxfr=Jbb f9q8aq0=yq=He9q8qqQ8frFve9Fve9Ff0dmeaabaqaciaacaGaaeqa baqabeGadaaakeaaqaaaaaaaaaWdbiaahUgapaWaaSbaaSqaa8qaca aIYaaapaqabaaaaa@3335@  и выполним интегрирование по координатам r 1 MathType@MTEF@5@5@+= feaahGart1ev3aqatCvAUfeBSjuyZL2yd9gzLbvyNv2Caerbov2D09 MBdbqedmvETj2BSbqeeuuDJXwAKbsr4rNCHbGeaGqik8fkY=xipgYl h9vqqj=hEeeu0xXdi9arFj0xirFj0dXdbba91qpK0=yr0RYxfr=Jbb f9q8aq0=yq=He9q8qqQ8frFve9Fve9Ff0dmeaabaqaciaacaGaaeqa baqabeGadaaakeaaqaaaaaaaaaWdbiaahkhapaWaaSbaaSqaa8qaca aIXaaapaqabaaaaa@333B@  и r 2 MathType@MTEF@5@5@+= feaahGart1ev3aqatCvAUfeBSjuyZL2yd9gzLbvyNv2Caerbov2D09 MBdbqedmvETj2BSbqeeuuDJXwAKbsr4rNCHbGeaGqik8fkY=xipgYl h9vqqj=hEeeu0xXdi9arFj0xirFj0dXdbba91qpK0=yr0RYxfr=Jbb f9q8aq0=yq=He9q8qqQ8frFve9Fve9Ff0dmeaabaqaciaacaGaaeqa baqabeGadaaakeaaqaaaaaaaaaWdbiaahkhapaWaaSbaaSqaa8qaca aIYaaapaqabaaaaa@333C@ . В результате получим

AB = m,n,k,l=0 1 m! n! k! l! ( 1 2i A R k 2 ) m ( k 1 A K ) n MathType@MTEF@5@5@+= feaahGart1ev3aqatCvAUfeBSjuyZL2yd9gzLbvyNv2Caerbov2D09 MBdbqedmvETj2BSbqeeuuDJXwAKbsr4rNCHbGeaGqik8fkY=xipgYl h9vqqj=hEeeu0xXdi9arFj0xirFj0dXdbba91qpK0=yr0RYxfr=Jbb f9q8aq0=yq=He9q8qqQ8frFve9Fve9Ff0dmeaabaqaciaacaGaaeqa baqabeGadaaakeaaqaaaaaaaaaWdbmaabmaapaqaa8qacaWGbbGaam OqaaGaayjkaiaawMcaaiabg2da9maawahabeWcpaqaa8qacaWGTbGa aiilaiaad6gacaGGSaGaam4AaiaacYcacaWGSbGaeyypa0JaaGimaa WdaeaapeGaeqOhIukan8aabaWdbiabggHiLdaakiaaK3aidaWcaaWd aeaapeGaaGymaaWdaeaapeGaamyBaiaacgcacaa5GcGaamOBaiaacg cacaa5GcGaam4Aaiaacgcacaa5GcGaamiBaiaacgcaaaGaey4kIiVa aqEdGiaacIcadaWcaaWdaeaapeGaaGymaaWdaeaapeGaaGOmaiaadM gaaaWaaSaaa8aabaWdbiabgkGi2+aadaWgaaWcbaWdbiaadgeaa8aa beaaaOqaa8qacqGHciITcaWHsbaaamaalaaapaqaa8qacqGHciITa8 aabaWdbiabgkGi2kaahUgapaWaaSbaaSqaa8qacaaIYaaapaqabaaa aOWdbiaacMcapaWaaWbaaSqabeaapeGaamyBaaaakiaacIcacaWHRb WdamaaBaaaleaapeGaaGymaaWdaeqaaOWdbmaalaaapaqaa8qacqGH ciITpaWaaSbaaSqaa8qacaWGbbaapaqabaaakeaapeGaeyOaIyRaaC 4saaaacaGGPaWdamaaCaaaleqabaWdbiaad6gaaaaaaa@6A68@

× ( i 2 B R k 1 ) k ( k 2 B K ) l AB δ k 1 δ k 2  d k 1 d k 2 . MathType@MTEF@5@5@+= feaahGart1ev3aqatCvAUfeBSjuyZL2yd9gzLbvyNv2Caerbov2D09 MBdbqedmvETj2BSbqeeuuDJXwAKbsr4rNCHbGeaGqik8fkY=xipgYl h9vqqj=hEeeu0xXdi9arFj0xirFj0dXdbba91qpK0=yr0RYxfr=Jbb f9q8aq0=yq=He9q8qqQ8frFve9Fve9Ff0dmeaabaqaciaacaGaaeqa baqabeGadaaakeaaqaaaaaaaaaWdbiabgEna0kaacIcadaWcaaWdae aapeGaamyAaaWdaeaapeGaaGOmaaaadaWcaaWdaeaapeGaeyOaIy7d amaaBaaaleaapeGaamOqaaWdaeqaaaGcbaWdbiabgkGi2kaahkfaaa WaaSaaa8aabaWdbiabgkGi2cWdaeaapeGaeyOaIyRaaC4Aa8aadaWg aaWcbaWdbiaaigdaa8aabeaaaaGcpeGaaiyka8aadaahaaWcbeqaa8 qacaWGRbaaaOGaaiikaiaahUgapaWaaSbaaSqaa8qacaaIYaaapaqa baGcpeWaaSaaa8aabaWdbiabgkGi2+aadaWgaaWcbaWdbiaadkeaa8 aabeaaaOqaa8qacqGHciITcaWHlbaaaiaacMcapaWaaWbaaSqabeaa peGaamiBaaaakiaadgeacaWGcbGaaqoOaiabes7aKnaabmaapaqaa8 qacaWHRbWdamaaBaaaleaapeGaaGymaaWdaeqaaaGcpeGaayjkaiaa wMcaaiabes7aKnaabmaapaqaa8qacaWHRbWdamaaBaaaleaapeGaaG OmaaWdaeqaaaGcpeGaayjkaiaawMcaaiaaKdkacaWGKbGaaC4Aa8aa daWgaaWcbaWdbiaaigdaa8aabeaak8qacaWGKbGaaC4Aa8aadaWgaa WcbaWdbiaaikdaa8aabeaak8qacaGGUaaaaa@623A@

Нижний индекс в частных производных определяетнаправлениедифференцирования: дифференциальный оператор, записанный через A MathType@MTEF@5@5@+= feaahGart1ev3aqatCvAUfeBSjuyZL2yd9gzLbvyNv2Caerbov2D09 MBdbqedmvETj2BSbqeeuuDJXwAKbsr4rNCHbGeaGqik8fkY=xipgYl h9vqqj=hEeeu0xXdi9arFj0xbrFj0dXdbba91qpK0=yr0RYxfr=Jbb f9q8aq0=yq=He9q8qqQ8frFve9Fve9Ff0dmeaabaqaciaacaGaaeqa baqabeGadaaakeaaqaaaaaaaaaWdbiabgkGi2+aadaWgaaWcbaWdbi aadgeaa8aabeaaaaa@33AA@ , применяется только к функции A R,K MathType@MTEF@5@5@+= feaahGart1ev3aqatCvAUfeBSjuyZL2yd9gzLbvyNv2Caerbov2D09 MBdbqedmvETj2BSbqeeuuDJXwAKbsr4rNCHbGeaGqik8fkY=xipgYl h9vqqj=hEeeu0xXdi9arFj0xirFj0dXdbba91qpK0=yr0RYxfr=Jbb f9q8aq0=yq=He9q8qqQ8frFve9Fve9Ff0dmeaabaqaciaacaGaaeqa baqabeGadaaakeaaqaaaaaaaaaWdbiaadgeadaqadaWdaeaapeGaaC OuaiaacYcacaWHlbaacaGLOaGaayzkaaaaaa@35F8@ , а дифференциальный оператор B MathType@MTEF@5@5@+= feaahGart1ev3aqatCvAUfeBSjuyZL2yd9gzLbvyNv2Caerbov2D09 MBdbqedmvETj2BSbqeeuuDJXwAKbsr4rNCHbGeaGqik8fkY=xipgYl h9vqqj=hEeeu0xXdi9arFj0xbrFj0dXdbba91qpK0=yr0RYxfr=Jbb f9q8aq0=yq=He9q8qqQ8frFve9Fve9Ff0dmeaabaqaciaacaGaaeqa baqabeGadaaakeaaqaaaaaaaaaWdbiabgkGi2+aadaWgaaWcbaWdbi aadkeaa8aabeaaaaa@33AB@  применяется только к B R,K MathType@MTEF@5@5@+= feaahGart1ev3aqatCvAUfeBSjuyZL2yd9gzLbvyNv2Caerbov2D09 MBdbqedmvETj2BSbqeeuuDJXwAKbsr4rNCHbGeaGqik8fkY=xipgYl h9vqqj=hEeeu0xXdi9arFj0xirFj0dXdbba91qpK0=yr0RYxfr=Jbb f9q8aq0=yq=He9q8qqQ8frFve9Fve9Ff0dmeaabaqaciaacaGaaeqa baqabeGadaaakeaaqaaaaaaaaaWdbiaadkeadaqadaWdaeaapeGaaC OuaiaacYcacaWHlbaacaGLOaGaayzkaaaaaa@35F9@ . Слагаемые в этой сумме отличны от ноля только при m=l MathType@MTEF@5@5@+= feaahGart1ev3aqatCvAUfeBSjuyZL2yd9gzLbvyNv2Caerbov2D09 MBdbqedmvETj2BSbqeeuuDJXwAKbsr4rNCHbGeaGqik8fkY=xipgYl h9vqqj=hEeeu0xXdi9arFj0xirFj0dXdbba91qpK0=yr0RYxfr=Jbb f9q8aq0=yq=He9q8qqQ8frFve9Fve9Ff0dmeaabaqaciaacaGaaeqa baqabeGadaaakeaaqaaaaaaaaaWdbiaad2gacqGH9aqpcaWGSbaaaa@3414@  и n=k MathType@MTEF@5@5@+= feaahGart1ev3aqatCvAUfeBSjuyZL2yd9gzLbvyNv2Caerbov2D09 MBdbqedmvETj2BSbqeeuuDJXwAKbsr4rNCHbGeaGqik8fkY=xipgYl h9vqqj=hEeeu0xXdi9arFj0xirFj0dXdbba91qpK0=yr0RYxfr=Jbb f9q8aq0=yq=He9q8qqQ8frFve9Fve9Ff0dmeaabaqaciaacaGaaeqa baqabeGadaaakeaaqaaaaaaaaaWdbiaad6gacqGH9aqpcaWGRbaaaa@3414@ . После этого мы получаем ответ в виде ряда, который может быть формально записан через экспоненту от оператора:

AB = m,n=0 1 m! n! i 2 A R B K m 1 2i B R A K n AB= MathType@MTEF@5@5@+= feaahGart1ev3aqatCvAUfeBSjuyZL2yd9gzLbvyNv2Caerbov2D09 MBdbqedmvETj2BSbqeeuuDJXwAKbsr4rNCHbGeaGqik8fkY=xipgYl h9vqqj=hEeeu0xXdi9arFj0xirFj0dXdbba91qpK0=yr0RYxfr=Jbb f9q8aq0=yq=He9q8qqQ8frFve9Fve9Ff0dmeaabaqaciaacaGaaeqa baqabeGadaaakeaaqaaaaaaaaaWdbmaabmaapaqaa8qacaWGbbGaam OqaaGaayjkaiaawMcaaiabg2da9maawahabeWcpaqaa8qacaWGTbGa aiilaiaad6gacqGH9aqpcaaIWaaapaqaa8qacqaHEisPa0Wdaeaape GaeyyeIuoaaOGaaqEdGmaalaaapaqaa8qacaaIXaaapaqaa8qacaWG TbGaaiyiaiaaKdkacaWGUbGaaiyiaaaadaqadaqaamaalaaapaqaa8 qacaWGPbaapaqaa8qacaaIYaaaamaalaaapaqaa8qacqGHciITpaWa aSbaaSqaa8qacaWGbbaapaqabaaakeaapeGaeyOaIyRaaCOuaaaada WcaaWdaeaapeGaeyOaIy7damaaBaaaleaapeGaamOqaaWdaeqaaaGc baWdbiabgkGi2kaahUeaaaaacaGLOaGaayzkaaWdamaaCaaaleqaba Wdbiaad2gaaaGcdaqadaqaamaalaaapaqaa8qacaaIXaaapaqaa8qa caaIYaGaamyAaaaadaWcaaWdaeaapeGaeyOaIy7damaaBaaaleaape GaamOqaaWdaeqaaaGcbaWdbiabgkGi2kaahkfaaaWaaSaaa8aabaWd biabgkGi2+aadaWgaaWcbaWdbiaadgeaa8aabeaaaOqaa8qacqGHci ITcaWHlbaaaaGaayjkaiaawMcaa8aadaahaaWcbeqaa8qacaWGUbaa aOGaamyqaiaadkeacqGH9aqpaaa@65C1@

  =exp i 2 A R B K i 2 B R A K A R,K B R,K . MathType@MTEF@5@5@+= feaahGart1ev3aqatCvAUfeBSjuyZL2yd9gzLbvyNv2Caerbov2D09 MBdbqedmvETj2BSbqeeuuDJXwAKbsr4rNCHbGeaGqik8fkY=xipgYl h9vqqj=hEeeu0xXdi9arFj0xirFj0dXdbba91qpK0=yr0RYxfr=Jbb f9q8aq0=yq=He9q8qqQ8frFve9Fve9Ff0dmeaabaqaciaacaGaaeqa baqabeGadaaakeaaqaaaaaaaaaWdbiaab2dacaaMe8UaaeyzaiaabI hacaqGWbWaaeWaa8aabaWdbmaalaaapaqaa8qacaWGPbaapaqaa8qa caaIYaaaamaalaaapaqaa8qacqGHciITpaWaaSbaaSqaa8qacaWGbb aapaqabaaakeaapeGaeyOaIyRaaCOuaaaadaWcaaWdaeaapeGaeyOa Iy7damaaBaaaleaapeGaamOqaaWdaeqaaaGcbaWdbiabgkGi2kaahU eaaaGaeyOeI0YaaSaaa8aabaWdbiaadMgaa8aabaWdbiaaikdaaaWa aSaaa8aabaWdbiabgkGi2+aadaWgaaWcbaWdbiaadkeaa8aabeaaaO qaa8qacqGHciITcaWHsbaaamaalaaapaqaa8qacqGHciITpaWaaSba aSqaa8qacaWGbbaapaqabaaakeaapeGaeyOaIyRaaC4saaaaaiaawI cacaGLPaaacaWGbbWaaeWaa8aabaWdbiaahkfacaGGSaGaaC4saaGa ayjkaiaawMcaaiaadkeadaqadaWdaeaapeGaaCOuaiaacYcacaWHlb aacaGLOaGaayzkaaGaaiOlaaaa@5B54@  (5)

В результате мы получили выражение для суперпозиции операторов в представлении Вейля. Еще раз подчеркнем, что экспонента здесь – это формальная запись для операторного ряда.

Для произвольного комплексного поля ψ r MathType@MTEF@5@5@+= feaahGart1ev3aqatCvAUfeBSjuyZL2yd9gzLbvyNv2Caerbov2D09 MBdbqedmvETj2BSbqeeuuDJXwAKbsr4rNCHbGeaGqik8fkY=xipgYl h9vqqj=hEeeu0xXdi9arFj0xirFj0dXdbba91qpK0=yr0RYxfr=Jbb f9q8aq0=yq=He9q8qqQ8frFve9Fve9Ff0dmeaabaqaciaacaGaaeqa baqabeGadaaakeaaqaaaaaaaaaWdbiabeI8a5naabmaapaqaa8qaca WHYbaacaGLOaGaayzkaaaaaa@359C@  можно определить функцию Вигнера [25]

  W R,K = 1 (2π) 3 ψ R+ ξ 2 ψ * R ξ 2 e iKξ dξ. MathType@MTEF@5@5@+= feaahGart1ev3aqatCvAUfeBSjuyZL2yd9gzLbvyNv2Caerbov2D09 MBdbqedmvETj2BSbqeeuuDJXwAKbsr4rNCHbGeaGqik8fkY=xipgYl h9vqqj=hEeeu0xXdi9arFj0xirFj0dXdbba91qpK0=yr0RYxfr=Jbb f9q8aq0=yq=He9q8qqQ8frFve9Fve9Ff0dmeaabaqaciaacaGaaeqa baqabeGadaaakeaaqaaaaaaaaaWdbiaadEfadaqadaWdaeaapeGaaC OuaiaacYcacaWHlbaacaGLOaGaayzkaaGaeyypa0ZaaSaaa8aabaWd biaaigdaa8aabaWdbiaacIcacaaIYaGaeqiWdaNaaiyka8aadaahaa Wcbeqaa8qacaaIZaaaaaaakiabgUIiYlaaK3aicqaHipqEdaqadaWd aeaapeGaaCOuaiabgUcaRmaalaaapaqaa8qacqaH+oaEa8aabaWdbi aaikdaaaaacaGLOaGaayzkaaGaeqiYdK3damaaCaaaleqabaWdbiaa bQcaaaGcdaqadaWdaeaapeGaaCOuaiabgkHiTmaalaaapaqaa8qacq aH+oaEa8aabaWdbiaaikdaaaaacaGLOaGaayzkaaGaaeyza8aadaah aaWcbeqaa8qacqGHsislcaWGPbGaaC4saiabe67a4baakiaadsgacq aH+oaEcaGGUaaaaa@59FC@ (6)

Функция Вигнера принимает действительные значения. Кроме того, она имеет следующие свойства:

ψ r 2 = W r,K dK , MathType@MTEF@5@5@+= feaahGart1ev3aqatCvAUfeBSjuyZL2yd9gzLbvyNv2Caerbov2D09 MBdbqedmvETj2BSbqeeuuDJXwAKbsr4rNCHbGeaGqik8fkY=xipgYl h9vqqj=hEeeu0xXdi9arFj0xirFj0dXdbba91qpK0=yr0RYxfr=Jbb f9q8aq0=yq=He9q8qqQ8frFve9Fve9Ff0dmeaabaqaciaacaGaaeqa baqabeGadaaakeaaqaaaaaaaaaWdbmaaemaabaGaeqiYdK3aaeWaa8 aabaWdbiaahkhaaiaawIcacaGLPaaaaiaawEa7caGLiWoapaWaaWba aSqabeaapeGaaGOmaaaakiabg2da9maapeaabaGaam4vamaabmaapa qaa8qacaWHYbGaaiilaiaahUeaaiaawIcacaGLPaaacaWGKbGaaC4s aaWcbeqab0Gaey4kIipakiaacYcaaaa@444B@

ψ k k 2 = 1 (2π) 3 W R,k dR , MathType@MTEF@5@5@+= feaahGart1ev3aqatCvAUfeBSjuyZL2yd9gzLbvyNv2Caerbov2D09 MBdbqedmvETj2BSbqeeuuDJXwAKbsr4rNCHbGeaGqik8fkY=xipgYl h9vqqj=hEeeu0xXdi9arFj0xirFj0dXdbba91qpK0=yr0RYxfr=Jbb f9q8aq0=yq=He9q8qqQ8frFve9Fve9Ff0dmeaabaqaciaacaGaaeqa baqabeGadaaakeaaqaaaaaaaaaWdbmaaemaabaGaeqiYdK3damaaBa aaleaapeGaam4AaaWdaeqaaOWdbmaabmaapaqaa8qacaWHRbaacaGL OaGaayzkaaaacaGLhWUaayjcSdWdamaaCaaaleqabaWdbiaaikdaaa GccqGH9aqpdaWcaaWdaeaapeGaaGymaaWdaeaapeGaaiikaiaaikda cqaHapaCcaGGPaWdamaaCaaaleqabaWdbiaaiodaaaaaaOWaa8qaae aacaWGxbWaaeWaa8aabaWdbiaahkfacaGGSaGaaC4AaaGaayjkaiaa wMcaaiaadsgacaWHsbaaleqabeqdcqGHRiI8aOGaaiilaaaa@4B9D@

  ψ r ψ * r' =W r+r' 2 ,K e iK  rr' dK, MathType@MTEF@5@5@+= feaahGart1ev3aqatCvAUfeBSjuyZL2yd9gzLbvyNv2Caerbov2D09 MBdbqedmvETj2BSbqeeuuDJXwAKbsr4rNCHbGeaGqik8fkY=xipgYl h9vqqj=hEeeu0xXdi9arFj0xirFj0dXdbba91qpK0=yr0RYxfr=Jbb f9q8aq0=yq=He9q8qqQ8frFve9Fve9Ff0dmeaabaqaciaacaGaaeqa baqabeGadaaakeaaqaaaaaaaaaWdbiabeI8a5naabmaapaqaa8qaca WHYbaacaGLOaGaayzkaaGaeqiYdK3damaaCaaaleqabaWdbiaabQca aaGcdaqadaWdaeaapeGaaCOCaiaabEcaaiaawIcacaGLPaaacqGH9a qpcqGHRiI8caa5naIaam4vamaabmaapaqaa8qadaWcaaWdaeaapeGa aCOCaiabgUcaRiaahkhacaqGNaaapaqaa8qacaaIYaaaaiaacYcaca WHlbaacaGLOaGaayzkaaGaaeyza8aadaahaaWcbeqaa8qacaWGPbGa aC4saiaaKdkadaqadaWdaeaapeGaaCOCaiabgkHiTiaahkhacaqGNa aacaGLOaGaayzkaaaaaOGaamizaiaahUeacaGGSaaaaa@545A@ (7)

  ψAψ ψ r ψ * r' A r,r' drdr'=  MathType@MTEF@5@5@+= feaahGart1ev3aqatCvAUfeBSjuyZL2yd9gzLbvyNv2Caerbov2D09 MBdbqedmvETj2BSbqeeuuDJXwAKbsr4rNCHbGeaGqik8fkY=xipgYl h9vqqj=hEeeu0xXdi9arFj0xirFj0dXdbba91qpK0=yr0RYxfr=Jbb f9q8aq0=yq=He9q8qqQ8frFve9Fve9Ff0dmeaabaqaciaacaGaaeqa baqabeGadaaakeaaqaaaaaaaaaWdbmaaamaabaGaeqiYdK3efv3ySL gznfgDOfdaryqr1ngBPrginfgDObYtUvgaiqaacqWFaeFqcqaHipqE aiaawMYicaGLQmcacqGHHjIUdaWdcaqaaiabeI8a5naabmaapaqaa8 qacaWHYbaacaGLOaGaayzkaaGaeqiYdK3damaaCaaaleqabaWdbiaa bQcaaaGcdaqadaWdaeaapeGaaCOCaiaabEcaaiaawIcacaGLPaaacq WFaeFqdaqadaWdaeaapeGaaCOCaiaacYcacaWHYbGaae4jaaGaayjk aiaawMcaaiaadsgacaWHYbGaamizaiaahkhacaqGNaGaeyypa0Jaaq oOaaWcbeqab0Gaey4kIiVaey4kIipaaaa@5FA3@

 = W R,K A R,K dRdK . MathType@MTEF@5@5@+= feaahGart1ev3aqatCvAUfeBSjuyZL2yd9gzLbvyNv2Caerbov2D09 MBdbqedmvETj2BSbqeeuuDJXwAKbsr4rNCHbGeaGqik8fkY=xipgYl h9vqqj=hEeeu0xXdi9arFj0xirFj0dXdbba91qpK0=yr0RYxfr=Jbb f9q8aq0=yq=He9q8qqQ8frFve9Fve9Ff0dmeaabaqaciaacaGaaeqa baqabeGadaaakeaaqaaaaaaaaaWdbiaaKdkacqGH9aqpdaWdcaqaai aaK3aicaWGxbWaaeWaa8aabaWdbiaahkfacaGGSaGaaC4saaGaayjk aiaawMcaaiaadgeadaqadaWdaeaapeGaaCOuaiaacYcacaWHlbaaca GLOaGaayzkaaGaamizaiaahkfacaWGKbGaaC4saaWcbeqab0Gaey4k IiVaey4kIipakiaac6caaaa@467E@

Здесь ψ k MathType@MTEF@5@5@+= feaahGart1ev3aqatCvAUfeBSjuyZL2yd9gzLbvyNv2Caerbov2D09 MBdbqedmvETj2BSbqeeuuDJXwAKbsr4rNCHbGeaGqik8fkY=xipgYl h9vqqj=hEeeu0xXdi9arFj0xirFj0dXdbba91qpK0=yr0RYxfr=Jbb f9q8aq0=yq=He9q8qqQ8frFve9Fve9Ff0dmeaabaqaciaacaGaaeqa baqabeGadaaakeaaqaaaaaaaaaWdbiabeI8a59aadaWgaaWcbaWdbi aadUgaa8aabeaaaaa@3443@  есть Фурье-образ ψ MathType@MTEF@5@5@+= feaahGart1ev3aqatCvAUfeBSjuyZL2yd9gzLbvyNv2Caerbov2D09 MBdbqedmvETj2BSbqeeuuDJXwAKbsr4rNCHbGeaGqik8fkY=xipgYl h9vqqj=hEeeu0xXdi9arFj0xirFj0dXdbba91qpK0=yr0RYxfr=Jbb f9q8aq0=yq=He9q8qqQ8frFve9Fve9Ff0dmeaabaqaciaacaGaaeqa baqabeGadaaakeaaqaaaaaaaaaWdbiabeI8a5baa@32F9@ . Эти свойства позволяют в квантовой механике использовать функцию Вигнера как аналог функции распределения в фазовом пространстве [25, 26]. Заметим, что таким образом определенная функция хотя и является действительной, не обязана быть знакоопределенной, что может нарушать некоторые интуитивные представления, связанные с обычной функцией распределения.

Рассмотрим представление решения произвольного дифференциального или интегро-дифференциального линейного уравнения через функцию Вигнера. Пусть имеется уравнение

   D ^ ψ =0, MathType@MTEF@5@5@+= feaahGart1ev3aqatCvAUfeBSjuyZL2yd9gzLbvyNv2Caerbov2D09 MBdbqedmvETj2BSbqeeuuDJXwAKbsr4rNCHbGeaGqik8fkY=xipgYl h9vqqj=hEeeu0xXdi9arFj0xirFj0dXdbba91qpK0=yr0RYxfr=Jbb f9q8aq0=yq=He9q8qqQ8frFve9Fve9Ff0dmeaabaqaciaacaGaaeqa baqabeGadaaakeaaqaaaaaaaaaWdbmaaHaaabaWefv3ySLgznfgDOf daryqr1ngBPrginfgDObYtUvgaiqaacqWFdepraiaawkWaamaadmaa paqaa8qacqaHipqEaiaawUfacaGLDbaacqGH9aqpcaaIWaGaaiilaa aa@4382@          (8)

где D ^ MathType@MTEF@5@5@+= feaahGart1ev3aqatCvAUfeBSjuyZL2yd9gzLbvyNv2Caerbov2D09 MBdbqedmvETj2BSbqeeuuDJXwAKbsr4rNCHbGeaGqik8fkY=xipgYl h9vqqj=hEeeu0xXdi9arFj0xirFj0dXdbba91qpK0=yr0RYxfr=Jbb f9q8aq0=yq=He9q8qqQ8frFve9Fve9Ff0dmeaabaqaciaacaGaaeqa baqabeGadaaakeaaqaaaaaaaaaWdbmaaHaaabaWefv3ySLgznfgDOf daryqr1ngBPrginfgDObYtUvgaiqaacqWFdepraiaawkWaaaaa@3D33@   MathType@MTEF@5@5@+= feaahGart1ev3aqatCvAUfeBSjuyZL2yd9gzLbvyNv2CaerbuLwBLn hiov2DGi1BTfMBaeXatLxBI9gBaerbd9wDYLwzYbItLDharqqtubsr 4rNCHbGeaGqiVu0Je9sqqrpepC0xbbL8F4rqqrFfpeea0xe9Lq=Jc9 vqaqpepm0xbba9pwe9Q8fs0=yqaqpepae9pg0FirpepeKkFr0xfr=x fr=xb9adbaqaaeGaciGaaiaabeqaamaabaabaaGcbaacbaqcLbwaqa aaaaaaaaWdbiaa=nbiaaa@37A4@  линейный оператор с интегральным ядром D r,r' MathType@MTEF@5@5@+= feaahGart1ev3aqatCvAUfeBSjuyZL2yd9gzLbvyNv2Caerbov2D09 MBdbqedmvETj2BSbqeeuuDJXwAKbsr4rNCHbGeaGqik8fkY=xipgYl h9vqqj=hEeeu0xXdi9arFj0xirFj0dXdbba91qpK0=yr0RYxfr=Jbb f9q8aq0=yq=He9q8qqQ8frFve9Fve9Ff0dmeaabaqaciaacaGaaeqa baqabeGadaaakeaatuuDJXwAK1uy0HwmaeHbfv3ySLgzG0uy0Hgip5 wzaGabaabaaaaaaaaapeGae83aXt0aaeWaa8aabaWdbiaahkhacaGG SaGaaCOCaiaabEcaaiaawIcacaGLPaaaaaa@4169@ . Это уравнение равносильно операторному уравнению

D ^ W ^ =0,    W r,r' = 1 (2π) 3 ψ r ψ * r' , MathType@MTEF@5@5@+= feaahGart1ev3aqatCvAUfeBSjuyZL2yd9gzLbvyNv2Caerbov2D09 MBdbqedmvETj2BSbqeeuuDJXwAKbsr4rNCHbGeaGqik8fkY=xipgYl h9vqqj=hEeeu0xXdi9arFj0xirFj0dXdbba91qpK0=yr0RYxfr=Jbb f9q8aq0=yq=He9q8qqQ8frFve9Fve9Ff0dmeaabaqaciaacaGaaeqa baqabeGadaaakeaaqaaaaaaaaaWdbmaaHaaabaGaamiraaGaayPada WaaecaaeaacaWGxbaacaGLcmaacqGH9aqpcaaIWaGaaiilaiaaKdka caa5GcGaaqoOaiaaKdkatuuDJXwAK1uy0HwmaeHbfv3ySLgzG0uy0H gip5wzaGabaiab=zr8xnaabmaapaqaa8qacaWHYbGaaiilaiaahkha caqGNaaacaGLOaGaayzkaaGaeyypa0ZaaSaaa8aabaWdbiaaigdaa8 aabaWdbiaacIcacaaIYaGaeqiWdaNaaiyka8aadaahaaWcbeqaa8qa caaIZaaaaaaakiabeI8a5naabmaapaqaa8qacaWHYbaacaGLOaGaay zkaaGaeqiYdK3damaaCaaaleqabaWdbiaabQcaaaGcdaqadaWdaeaa peGaaCOCaiaabEcaaiaawIcacaGLPaaacaGGSaaaaa@5F73@  (9)

где W ^ MathType@MTEF@5@5@+= feaahGart1ev3aaatCvAUfeBSjuyZL2yd9gzLbvyNv2Caerbov2D09 MBdbqedmvETj2BSbqeeuuDJXwAKbsr4rNCHbGeaGqik8fkY=xipgYl h9vqqj=hEeeu0xXdi9arFj0xirFj0dXdbba91qpK0=yr0RYxfr=Jbb f9q8aq0=yq=He9q8qqQ8frFve9Fve9Ff0dmeaabaqaciaacaGaaeqa baqabeGadaaakeaaqaaaaaaaaaWdbmaaHaaabaWefv3ySLgznfgDOf daryqr1ngBPrginfgDObYtUvgaiqaacqWFwe=vaiaawkWaaaaa@3D58@   MathType@MTEF@5@5@+= feaahGart1ev3aqatCvAUfeBSjuyZL2yd9gzLbvyNv2CaerbuLwBLn hiov2DGi1BTfMBaeXatLxBI9gBaerbd9wDYLwzYbItLDharqqtubsr 4rNCHbGeaGqiVu0Je9sqqrpepC0xbbL8F4rqqrFfpeea0xe9Lq=Jc9 vqaqpepm0xbba9pwe9Q8fs0=yqaqpepae9pg0FirpepeKkFr0xfr=x fr=xb9adbaqaaeGaciGaaiaabeqaamaabaabaaGcbaacbaqcLbwaqa aaaaaaaaWdbiaa=nbiaaa@37A4@  линейный оператор с интегральным ядром W r,r' MathType@MTEF@5@5@+= feaahGart1ev3aqatCvAUfeBSjuyZL2yd9gzLbvyNv2Caerbov2D09 MBdbqedmvETj2BSbqeeuuDJXwAKbsr4rNCHbGeaGqik8fkY=xipgYl h9vqqj=hEeeu0xXdi9arFj0xirFj0dXdbba91qpK0=yr0RYxfr=Jbb f9q8aq0=yq=He9q8qqQ8frFve9Fve9Ff0dmeaabaqaciaacaGaaeqa baqabeGadaaakeaatuuDJXwAK1uy0HwmaeHbfv3ySLgzG0uy0Hgip5 wzaGabaabaaaaaaaaapeGae8NfXF1aaeWaa8aabaWdbiaahkhacaGG SaGaaCOCaiaabEcaaiaawIcacaGLPaaaaaa@418F@ . Необходимость условия (9) для выполнения (8) следует из очевидного соотношения

ψ * D ^ ψ =0  D r, r ψ r' ψ * r d r d r =0. MathType@MTEF@5@5@+= feaahGart1ev3aaatCvAUfeBSjuyZL2yd9gzLbvyNv2Caerbov2D09 MBdbqedmvETj2BSbqeeuuDJXwAKbsr4rNCHbGeaGqik8fkY=xipgYl h9vqqj=hEeeu0xXdi9arFj0xirFj0dXdbba91qpK0=yr0RYxfr=Jbb f9q8aq0=yq=He9q8qqQ8frFve9Fve9Ff0dmeaabaqaciaacaGaaeqa baqabeGadaaakeaaqaaaaaaaaaWdbiabeI8a59aadaahaaWcbeqaa8 qacaqGQaaaaOWdamaaHaaabaWefv3ySLgznfgDOfdaryqr1ngBPrgi nfgDObYtUvgaiqaapeGae83aXteapaGaayPadaWdbmaadmaapaqaa8 qacqaHipqEaiaawUfacaGLDbaacqGH9aqpcaaIWaGaaqoOaiaaKdka cqGHshI3cqGHRiI8caa5naIae83aXt0aaeWaa8aabaWdbiaahkhaca GGSaGabCOCayaafaaacaGLOaGaayzkaaGaeqiYdK3aaeWaa8aabaWd biaahkhacaqGNaaacaGLOaGaayzkaaGaeqiYdK3damaaCaaaleqaba WdbiaabQcaaaGcdaqadaWdaeaapeGabCOCayaagaaacaGLOaGaayzk aaGaamizaiqahkhagaqbaiaadsgaceWHYbGbayaacqGH9aqpcaaIWa GaaiOlaaaa@652D@

Его достаточность следует из соотношения

W ^ ψ =μψ,    μ= 1 (2π) 3 ψ 2 d r >0 MathType@MTEF@5@5@+= feaahGart1ev3aqatCvAUfeBSjuyZL2yd9gzLbvyNv2Caerbov2D09 MBdbqedmvETj2BSbqeeuuDJXwAKbsr4rNCHbGeaGqik8fkY=xipgYl h9vqqj=hEeeu0xXdi9arFj0xirFj0dXdbba91qpK0=yr0RYxfr=Jbb f9q8aq0=yq=He9q8qqQ8frFve9Fve9Ff0dmeaabaqaciaacaGaaeqa baqabeGadaaakeaaqaaaaaaaaaWdbmaaHaaabaWefv3ySLgznfgDOf daryqr1ngBPrginfgDObYtUvgaiqaacqWFwe=vaiaawkWaamaadmaa paqaa8qacqaHipqEaiaawUfacaGLDbaacqGH9aqpcqaH8oqBcqaHip qEcaGGSaGaaqoOaiaaKdkacaa5GcGaaqoOaiabeY7aTjabg2da9maa laaapaqaa8qacaaIXaaapaqaa8qacaGGOaGaaGOmaiabec8aWjaacM capaWaaWbaaSqabeaapeGaaG4maaaaaaGccaa5naYaa8qaaeaadaab daqaaiabeI8a5bGaay5bSlaawIa7a8aadaahaaWcbeqaa8qacaaIYa aaaOGaamizaiqahkhagaqbaiabg6da+iaaicdaaSqabeqaniabgUIi Ydaaaa@61F6@

и линейности оператора D ^ MathType@MTEF@5@5@+= feaahGart1ev3aqatCvAUfeBSjuyZL2yd9gzLbvyNv2Caerbov2D09 MBdbqedmvETj2BSbqeeuuDJXwAKbsr4rNCHbGeaGqik8fkY=xipgYl h9vqqj=hEeeu0xXdi9arFj0xirFj0dXdbba91qpK0=yr0RYxfr=Jbb f9q8aq0=yq=He9q8qqQ8frFve9Fve9Ff0dmeaabaqaciaacaGaaeqa baqabeGadaaakeaaqaaaaaaaaaWdbmaaHaaabaWefv3ySLgznfgDOf daryqr1ngBPrginfgDObYtUvgaiqaacqWFdepraiaawkWaaaaa@3D33@ . Таким образом, уравнения (8) и (9) полностью эквивалентны.

Вейлевское представление W R,K MathType@MTEF@5@5@+= feaahGart1ev3aqatCvAUfeBSjuyZL2yd9gzLbvyNv2Caerbov2D09 MBdbqedmvETj2BSbqeeuuDJXwAKbsr4rNCHbGeaGqik8fkY=xipgYl h9vqqj=hEeeu0xXdi9arFj0xirFj0dXdbba91qpK0=yr0RYxfr=Jbb f9q8aq0=yq=He9q8qqQ8frFve9Fve9Ff0dmeaabaqaciaacaGaaeqa baqabeGadaaakeaaqaaaaaaaaaWdbiaadEfadaqadaWdaeaapeGaaC OuaiaacYcacaWHlbaacaGLOaGaayzkaaaaaa@360E@  оператора W ^ MathType@MTEF@5@5@+= feaahGart1ev3aqatCvAUfeBSjuyZL2yd9gzLbvyNv2Caerbov2D09 MBdbqedmvETj2BSbqeeuuDJXwAKbsr4rNCHbGeaGqik8fkY=xipgYl h9vqqj=hEeeu0xXdi9arFj0xirFj0dXdbba91qpK0=yr0RYxfr=Jbb f9q8aq0=yq=He9q8qqQ8frFve9Fve9Ff0dmeaabaqaciaacaGaaeqa baqabeGadaaakeaaqaaaaaaaaaWdbmaaHaaabaWefv3ySLgznfgDOf daryqr1ngBPrginfgDObYtUvgaiqaacqWFwe=vaiaawkWaaaaa@3D59@  в точности совпадает с функцией Вигнера (6) для поля ψ r MathType@MTEF@5@5@+= feaahGart1ev3aqatCvAUfeBSjuyZL2yd9gzLbvyNv2Caerbov2D09 MBdbqedmvETj2BSbqeeuuDJXwAKbsr4rNCHbGeaGqik8fkY=xipgYl h9vqqj=hEeeu0xXdi9arFj0xirFj0dXdbba91qpK0=yr0RYxfr=Jbb f9q8aq0=yq=He9q8qqQ8frFve9Fve9Ff0dmeaabaqaciaacaGaaeqa baqabeGadaaakeaaqaaaaaaaaaWdbiabeI8a5naabmaapaqaa8qaca WHYbaacaGLOaGaayzkaaaaaa@359C@ . Воспользовавшись формулой (5) для суперпозиции линейных операторов, уравнение (9) можно переписать в вейлевском представлении как

  exp i 2 D R W K i 2 W R D K D R,K W R,K =0. MathType@MTEF@5@5@+= feaahGart1ev3aqatCvAUfeBSjuyZL2yd9gzLbvyNv2Caerbov2D09 MBdbqedmvETj2BSbqeeuuDJXwAKbsr4rNCHbGeaGqik8fkY=xipgYl h9vqqj=hEeeu0xXdi9arFj0xirFj0dXdbba91qpK0=yr0RYxfr=Jbb f9q8aq0=yq=He9q8qqQ8frFve9Fve9Ff0dmeaabaqaciaacaGaaeqa baqabeGadaaakeaaqaaaaaaaaaWdbiaabwgacaqG4bGaaeiCamaabm aapaqaa8qadaWcaaWdaeaapeGaamyAaaWdaeaapeGaaGOmaaaadaWc aaWdaeaapeGaeyOaIy7damaaBaaaleaapeGaamiraaWdaeqaaaGcba WdbiabgkGi2kaahkfaaaWaaSaaa8aabaWdbiabgkGi2+aadaWgaaWc baWdbiaadEfaa8aabeaaaOqaa8qacqGHciITcaWHlbaaaiabgkHiTm aalaaapaqaa8qacaWGPbaapaqaa8qacaaIYaaaamaalaaapaqaa8qa cqGHciITpaWaaSbaaSqaa8qacaWGxbaapaqabaaakeaapeGaeyOaIy RaaCOuaaaadaWcaaWdaeaapeGaeyOaIy7damaaBaaaleaapeGaamir aaWdaeqaaaGcbaWdbiabgkGi2kaahUeaaaaacaGLOaGaayzkaaGaam iramaabmaapaqaa8qacaWHsbGaaiilaiaahUeaaiaawIcacaGLPaaa caWGxbWaaeWaa8aabaWdbiaahkfacaGGSaGaaC4saaGaayjkaiaawM caaiabg2da9iaaicdacaGGUaaaaa@5B0F@  (10)

Важно отметить, что это уравнение, часто называемое кинетическим уравнением на функцию Вигнера, также полностью эквивалентно исходному уравнению (8). Заметим, что под кинетическим уравнением часто понимают и приближенные уравнения, отвечающие разложению операторной экспоненты в конечный ряд Тейлора.

3. Тензор вигнера для монохроматического электромагнитного поля

Поскольку функция Вигнера квадратична по полю, то комплексное векторное поле порождает тензорную функцию Вигнера. В частности, для распределения комплексной амплитуды монохроматического электрического поля E MathType@MTEF@5@5@+= feaahGart1ev3aqatCvAUfeBSjuyZL2yd9gzLbvyNv2Caerbov2D09 MBdbqedmvETj2BSbqeeuuDJXwAKbsr4rNCHbGeaGqik8fkY=xipgYl h9vqqj=hEeeu0xXdi9arFj0xirFj0dXdbba91qpK0=yr0RYxfr=Jbb f9q8aq0=yq=He9q8qqQ8frFve9Fve9Ff0dmeaabaqaciaacaGaaeqa baqabeGadaaakeaaqaaaaaaaaaWdbiaahweaaaa@31F9@  можно ввести тензорную функцию Вигнера (тензор Вигнера)

W αβ R,K = 1 (2π) 3 E α R+ 1 2 ξ E β * R 1 2 ξ e iKξ dξ. MathType@MTEF@5@5@+= feaahGart1ev3aqatCvAUfeBSjuyZL2yd9gzLbvyNv2Caerbov2D09 MBdbqedmvETj2BSbqeeuuDJXwAKbsr4rNCHbGeaGqik8fkY=xipgYl h9vqqj=hEeeu0xXdi9arFj0xirFj0dXdbba91qpK0=yr0RYxfr=Jbb f9q8aq0=yq=He9q8qqQ8frFve9Fve9Ff0dmeaabaqaciaacaGaaeqa baqabeGadaaakqaaceqaaabaaaaaaaaapeGaam4va8aadaWgaaWcba Wdbiabeg7aHjabek7aIbWdaeqaaOWdbmaabmaapaqaa8qacaWHsbGa aiilaiaahUeaaiaawIcacaGLPaaacqGH9aqpdaWcaaWdaeaapeGaaG ymaaWdaeaapeGaaiikaiaaikdacqaHapaCcaGGPaWdamaaCaaaleqa baWdbiaaiodaaaaaaOGaey4kIiVaaqEdGiaadweapaWaaSbaaSqaa8 qacqaHXoqya8aabeaak8qadaqadaWdaeaapeGaaCOuaiabgUcaRmaa laaapaqaa8qacaaIXaaapaqaa8qacaaIYaaaaiabe67a4bGaayjkai aawMcaaiabgwSixdqaaiabgwSixlaadweapaWaa0baaSqaa8qacqaH YoGya8aabaWdbiaabQcaaaGcdaqadaWdaeaapeGaaCOuaiabgkHiTm aalaaapaqaa8qacaaIXaaapaqaa8qacaaIYaaaaiabe67a4bGaayjk aiaawMcaaiaabwgapaWaaWbaaSqabeaapeGaeyOeI0IaamyAaiaahU eacqaH+oaEaaGccaWGKbGaeqOVdGNaaiOlaaaaaa@658D@ (11)

Греческими буквами α MathType@MTEF@5@5@+= feaahGart1ev3aqatCvAUfeBSjuyZL2yd9gzLbvyNv2Caerbov2D09 MBdbqedmvETj2BSbqeeuuDJXwAKbsr4rNCHbGeaGqik8fkY=xipgYl h9vqqj=hEeeu0xXdi9arFj0xirFj0dXdbba91qpK0=yr0RYxfr=Jbb f9q8aq0=yq=He9q8qqQ8frFve9Fve9Ff0dmeaabaqaciaacaGaaeqa baqabeGadaaakeaaqaaaaaaaaaWdbiabeg7aHbaa@32CA@ , β MathType@MTEF@5@5@+= feaahGart1ev3aqatCvAUfeBSjuyZL2yd9gzLbvyNv2Caerbov2D09 MBdbqedmvETj2BSbqeeuuDJXwAKbsr4rNCHbGeaGqik8fkY=xipgYl h9vqqj=hEeeu0xXdi9arFj0xirFj0dXdbba91qpK0=yr0RYxfr=Jbb f9q8aq0=yq=He9q8qqQ8frFve9Fve9Ff0dmeaabaqaciaacaGaaeqa baqabeGadaaakeaaqaaaaaaaaaWdbiabek7aIbaa@32CC@ , ... мы будем обозначать индексы, нумерующие декартовы компоненты электрического поля. Эти индексы во всех последующих выкладках пробегают значения x, y и z.

Как и в скалярном случае, через тензорную функцию Вигнера может быть выражена любая билинейная функция компонент поля. В частности, квадрат модуля электрического поля и тензор корреляции полей в разных точках находятся следующим образом:

E r 2 = α W αα r,K dK, MathType@MTEF@5@5@+= feaahGart1ev3aqatCvAUfeBSjuyZL2yd9gzLbvyNv2Caerbov2D09 MBdbqedmvETj2BSbqeeuuDJXwAKbsr4rNCHbGeaGqik8fkY=xipgYl h9vqqj=hEeeu0xXdi9arFj0xirFj0dXdbba91qpK0=yr0RYxfr=Jbb f9q8aq0=yq=He9q8qqQ8frFve9Fve9Ff0dmeaabaqaciaacaGaaeqa baqabeGadaaakeaaqaaaaaaaaaWdbmaaemaabaGaaCyramaabmaapa qaa8qacaWHYbaacaGLOaGaayzkaaaacaGLhWUaayjcSdWdamaaCaaa leqabaWdbiaaikdaaaGccqGH9aqpdaGfqbqabSWdaeaapeGaeqySde gabeqdpaqaa8qacqGHris5aaGccaa5naYaa8qaaeaacaWGxbWdamaa BaaaleaapeGaeqySdeMaeqySdegapaqabaGcpeWaaeWaa8aabaWdbi aahkhacaGGSaGaaC4saaGaayjkaiaawMcaaiaadsgacaWHlbGaaiil aaWcbeqab0Gaey4kIipaaaa@4C18@

  E α r E β * r = W αβ r+ r 2 ,K e iK  r r dK. MathType@MTEF@5@5@+= feaahGart1ev3aqatCvAUfeBSjuyZL2yd9gzLbvyNv2Caerbov2D09 MBdbqedmvETj2BSbqeeuuDJXwAKbsr4rNCHbGeaGqik8fkY=xipgYl h9vqqj=hEeeu0xXdi9arFj0xirFj0dXdbba91qpK0=yr0RYxfr=Jbb f9q8aq0=yq=He9q8qqQ8frFve9Fve9Ff0dmeaabaqaciaacaGaaeqa baqabeGadaaakeaaqaaaaaaaaaWdbiaadweapaWaaSbaaSqaa8qacq aHXoqya8aabeaak8qadaqadaWdaeaapeGaaCOCaaGaayjkaiaawMca aiaadweapaWaa0baaSqaa8qacqaHYoGya8aabaWdbiaabQcaaaGcda qadaWdaeaapeGabCOCayaafaaacaGLOaGaayzkaaGaeyypa0Jaey4k IiVaaqEdGiaadEfapaWaaSbaaSqaa8qacqaHXoqycqaHYoGya8aabe aak8qadaqadaWdaeaapeWaaSaaa8aabaWdbiaahkhacqGHRaWkceWH YbGbauaaa8aabaWdbiaaikdaaaGaaiilaiaahUeaaiaawIcacaGLPa aacaqGLbWdamaaCaaaleqabaWdbiaadMgacaWHlbGaaqoOamaabmaa paqaa8qacaWHYbGaeyOeI0IabCOCayaafaaacaGLOaGaayzkaaaaaO GaamizaiaahUeacaGGUaaaaa@5801@    (12)

Рассмотрим систему волновых уравнений на комплексные амплитуды электрического поля (три декартовы компоненты E α MathType@MTEF@5@5@+= feaahGart1ev3aqatCvAUfeBSjuyZL2yd9gzLbvyNv2Caerbov2D09 MBdbqedmvETj2BSbqeeuuDJXwAKbsr4rNCHbGeaGqik8fkY=xipgYl h9vqqj=hEeeu0xXdi9arFj0xirFj0dXdbba91qpK0=yr0RYxfr=Jbb f9q8aq0=yq=He9q8qqQ8frFve9Fve9Ff0dmeaabaqaciaacaGaaeqa baqabeGadaaakeaaqaaaaaaaaaWdbiaadweapaWaaSbaaSqaa8qacq aHXoqya8aabeaaaaa@33EE@  ), следующую из уравнений Максвелла для монохроматического поля с частотой ω MathType@MTEF@5@5@+= feaahGart1ev3aqatCvAUfeBSjuyZL2yd9gzLbvyNv2Caerbov2D09 MBdbqedmvETj2BSbqeeuuDJXwAKbsr4rNCHbGeaGqik8fkY=xipgYl h9vqqj=hEeeu0xXdi9arFj0xirFj0dXdbba91qpK0=yr0RYxfr=Jbb f9q8aq0=yq=He9q8qqQ8frFve9Fve9Ff0dmeaabaqaciaacaGaaeqa baqabeGadaaakeaaqaaaaaaaaaWdbiabeM8a3baa@32F8@ . В анизотропной линейной среде с тензором диэлектрической проницаемости ε αβ ω MathType@MTEF@5@5@+= feaahGart1ev3aqatCvAUfeBSjuyZL2yd9gzLbvyNv2Caerbov2D09 MBdbqedmvETj2BSbqeeuuDJXwAKbsr4rNCHbGeaGqik8fkY=xipgYl h9vqqj=hEeeu0xXdi9arFj0xirFj0dXdbba91qpK0=yr0RYxfr=Jbb f9q8aq0=yq=He9q8qqQ8frFve9Fve9Ff0dmeaabaqaciaacaGaaeqa baqabeGadaaakeaaqaaaaaaaaaWdbiabew7aL9aadaWgaaWcbaWdbi abeg7aHjabek7aIbWdaeqaaOWdbmaabmaapaqaa8qacqaHjpWDaiaa wIcacaGLPaaaaaa@39FB@  эта система определяется как

 

β D ^ αβ E β =0,   D ^ αβ = 2 x α x β δ αβ Δ k 0 2 ε ^ αβ . MathType@MTEF@5@5@+= feaahGart1ev3aaatCvAUfeBSjuyZL2yd9gzLbvyNv2Caerbov2D09 MBdbqedmvETj2BSbqeeuuDJXwAKbsr4rNCHbGeaGqik8fkY=xipgYl h9vqqj=hEeeu0xXdi9arFj0xirFj0dXdbba91qpK0=yr0RYxfr=Jbb f9q8aq0=yq=He9q8qqQ8frFve9Fve9Ff0dmeaabaqaciaacaGaaeqa baqabeGadaaakeaaqaaaaaaaaaWdbmaawafabeWcpaqaa8qacqaHYo Gyaeqan8aabaWdbiabggHiLdaakmaaHaaabaWefv3ySLgznfgDOfda ryqr1ngBPrginfgDObYtUvgaiqaacqWFdepraiaawkWaa8aadaWgaa WcbaWdbiabeg7aHjabek7aIbWdaeqaaOWdbmaadmaapaqaa8qacaWG fbWdamaaBaaaleaapeGaeqOSdigapaqabaaak8qacaGLBbGaayzxaa Gaeyypa0JaaGimaiaacYcacaa5GcWaaWbaaSqabeaaaaGcdaqiaaqa aiab=nq8ebGaayPadaWdamaaBaaaleaapeGaeqySdeMaeqOSdigapa qabaGcpeGaeyypa0ZaaSaaa8aabaWdbiabgkGi2+aadaahaaWcbeqa a8qacaaIYaaaaaGcpaqaa8qacqGHciITcaWG4bWdamaaBaaaleaape GaeqySdegapaqabaGcpeGaeyOaIyRaamiEa8aadaWgaaWcbaWdbiab ek7aIbWdaeqaaaaak8qacqGHsislcqaH0oazpaWaaSbaaSqaa8qacq aHXoqycqaHYoGya8aabeaak8qacqqHuoarcqGHsislcaWGRbWdamaa DaaaleaapeGaaGimaaWdaeaapeGaaGOmaaaakmaaHaaabaGaeqyTdu gacaGLcmaapaWaaSbaaSqaa8qacqaHXoqycqaHYoGya8aabeaak8qa caGGUaaaaa@7347@

(например, [37], § MathType@MTEF@5@5@+= feaahGart1ev3aqatCvAUfeBSjuyZL2yd9gzLbvyNv2Caerbov2D09 MBdbqedmvETj2BSbqeeuuDJXwAKbsr4rNCHbGeaGqik8fkY=xipgYl h9vqqj=hEeeu0xXdi9arFj0xirFj0dXdbba91qpK0=yr0RYxfr=Jbb f9q8aq0=yq=He9q8qqQ8frFve9Fve9Ff0dmeaabaqaciaacaGaaeqa baqabeGadaaakeaaqaaaaaaaaaWdbiaabEkaaaa@3255@  3 гл. 2). Здесь D MathType@MTEF@5@5@+= feaahGart1ev3aqatCvAUfeBSjuyZL2yd9gzLbvyNv2CaerbuLwBLn hiov2DGi1BTfMBaeXatLxBI9gBaerbd9wDYLwzYbItLDharqqtubsr 4rNCHbGeaGqiVu0Je9sqqrpepC0xbbL8F4rqqrFfpeea0xe9Lq=Jc9 vqaqpepm0xbba9pwe9Q8fs0=yqaqpepae9pg0FirpepeKkFr0xfr=x fr=xb9adbaqaaeGaciGaaiaabeqaamaabaabaaGcbaacbaqcLbwaqa aaaaaaaaWdbiaa=nbiaaa@37A4@  оператор Лапласа, k 0 =ω/c MathType@MTEF@5@5@+= feaahGart1ev3aqatCvAUfeBSjuyZL2yd9gzLbvyNv2Caerbov2D09 MBdbqedmvETj2BSbqeeuuDJXwAKbsr4rNCHbGeaGqik8fkY=xipgYl h9vqqj=hEeeu0xXdi9arFj0xirFj0dXdbba91qpK0=yr0RYxfr=Jbb f9q8aq0=yq=He9q8qqQ8frFve9Fve9Ff0dmeaabaqaciaacaGaaeqa baqabeGadaaakeaaqaaaaaaaaaWdbiaadUgapaWaaSbaaSqaa8qaca aIWaaapaqabaGcpeGaeyypa0JaeqyYdCNaai4laiaadogaaaa@37B7@   MathType@MTEF@5@5@+= feaahGart1ev3aqatCvAUfeBSjuyZL2yd9gzLbvyNv2CaerbuLwBLn hiov2DGi1BTfMBaeXatLxBI9gBaerbd9wDYLwzYbItLDharqqtubsr 4rNCHbGeaGqiVu0Je9sqqrpepC0xbbL8F4rqqrFfpeea0xe9Lq=Jc9 vqaqpepm0xbba9pwe9Q8fs0=yqaqpepae9pg0FirpepeKkFr0xfr=x fr=xb9adbaqaaeGaciGaaiaabeqaamaabaabaaGcbaacbaqcLbwaqa aaaaaaaaWdbiaa=nbiaaa@37A4@  размерная постоянная, имеющая смысл волнового числа в вакууме для монохроматического волнового поля. В соответствии с результатами предыдущего раздела, эта система уравнений эквивалента матричной системе уравнений

  β D ^ αβ W ^ βγ =0, MathType@MTEF@5@5@+= feaahGart1ev3aqatCvAUfeBSjuyZL2yd9gzLbvyNv2Caerbov2D09 MBdbqedmvETj2BSbqeeuuDJXwAKbsr4rNCHbGeaGqik8fkY=xipgYl h9vqqj=hEeeu0xXdi9arFj0xirFj0dXdbba91qpK0=yr0RYxfr=Jbb f9q8aq0=yq=He9q8qqQ8frFve9Fve9Ff0dmeaabaqaciaacaGaaeqa baqabeGadaaakeaaqaaaaaaaaaWdbmaawafabeWcpaqaa8qacqaHYo Gyaeqan8aabaWdbiabggHiLdaakiaaK3aidaqiaaqaamrr1ngBPrwt HrhAXaqeguuDJXwAKbstHrhAG8KBLbaceaGae83aXteacaGLcmaapa WaaSbaaSqaa8qacqaHXoqycqaHYoGya8aabeaak8qadaqiaaqaaiab =zr8xbGaayPadaWdamaaBaaaleaapeGaeqOSdiMaeq4SdCgapaqaba GcpeGaeyypa0JaaGimaiaacYcaaaa@4EDF@

которая в свою очередь сводится к системе уравнений для компонент тензора Вигнера исходного поля

  exp i 2 D R W K i 2 W R D K β D αβ R,K W βγ R,K =0, MathType@MTEF@5@5@+= feaahGart1ev3aaatCvAUfeBSjuyZL2yd9gzLbvyNv2Caerbov2D09 MBdbqedmvETj2BSbqeeuuDJXwAKbsr4rNCHbGeaGqik8fkY=xipgYl h9vqqj=hEeeu0xXdi9arFj0xirFj0dXdbba91qpK0=yr0RYxfr=Jbb f9q8aq0=yq=He9q8qqQ8frFve9Fve9Ff0dmeaabaqaciaacaGaaeqa baqabeGadaaakqaaceqaaabaaaaaaaaapeGaaeyzaiaabIhacaqGWb WaaeWaa8aabaWdbmaalaaapaqaa8qacaWGPbaapaqaa8qacaaIYaaa amaalaaapaqaa8qacqGHciITpaWaaSbaaSqaa8qacaWGebaapaqaba aakeaapeGaeyOaIyRaaCOuaaaadaWcaaWdaeaapeGaeyOaIy7damaa BaaaleaapeGaam4vaaWdaeqaaaGcbaWdbiabgkGi2kaahUeaaaGaey OeI0YaaSaaa8aabaWdbiaadMgaa8aabaWdbiaaikdaaaWaaSaaa8aa baWdbiabgkGi2+aadaWgaaWcbaWdbiaadEfaa8aabeaaaOqaa8qacq GHciITcaWHsbaaamaalaaapaqaa8qacqGHciITpaWaaSbaaSqaa8qa caWGebaapaqabaaakeaapeGaeyOaIyRaaC4saaaaaiaawIcacaGLPa aaaeaadaGfqbqabSWdaeaapeGaeqOSdigabeqdpaqaa8qacqGHris5 aaGccaa5naIaamira8aadaWgaaWcbaWdbiabeg7aHjabek7aIbWdae qaaOWdbmaabmaapaqaa8qacaWHsbGaaiilaiaahUeaaiaawIcacaGL PaaacaWGxbWdamaaBaaaleaapeGaeqOSdiMaeq4SdCgapaqabaGcpe WaaeWaa8aabaWdbiaahkfacaGGSaGaaC4saaGaayjkaiaawMcaaiab g2da9iaaicdacaGGSaaaaaa@67AB@ (13)

где

  D αβ R,K = K α K β + δ αβ K 2 k 0 2 ε αβ R,K . MathType@MTEF@5@5@+= feaahGart1ev3aqatCvAUfeBSjuyZL2yd9gzLbvyNv2Caerbov2D09 MBdbqedmvETj2BSbqeeuuDJXwAKbsr4rNCHbGeaGqik8fkY=xipgYl h9vqqj=hEeeu0xXdi9arFj0xirFj0dXdbba91qpK0=yr0RYxfr=Jbb f9q8aq0=yq=He9q8qqQ8frFve9Fve9Ff0dmeaabaqaciaacaGaaeqa baqabeGadaaakeaaqaaaaaaaaaWdbiaadseapaWaaSbaaSqaa8qacq aHXoqycqaHYoGya8aabeaak8qadaqadaWdaeaapeGaaCOuaiaacYca caWHlbaacaGLOaGaayzkaaGaeyypa0JaeyOeI0Iaam4sa8aadaWgaa WcbaWdbiabeg7aHbWdaeqaaOWdbiaadUeapaWaaSbaaSqaa8qacqaH YoGya8aabeaak8qacqGHRaWkcqaH0oazpaWaaSbaaSqaa8qacqaHXo qycqaHYoGya8aabeaak8qacaWGlbWdamaaCaaaleqabaWdbiaaikda aaGccqGHsislcaWGRbWdamaaDaaaleaapeGaaGimaaWdaeaapeGaaG Omaaaakiabew7aL9aadaWgaaWcbaWdbiabeg7aHjabek7aIbWdaeqa aOWdbmaabmaapaqaa8qacaWHsbGaaiilaiaahUeaaiaawIcacaGLPa aacaGGUaaaaa@5763@  (14)

Получившееся матричное кинетическое уравнение, аналогичное (10), позволяет строить решения для тензорной функции Вигнера с любой необходимой точностью. Заметим, что в средах с пространственной дисперсией тензор диэлектрической проницаемости должен задаваться нелокальным интегральным оператором вида (2) с ядром ε αβ r, r MathType@MTEF@5@5@+= feaahGart1ev3aqatCvAUfeBSjuyZL2yd9gzLbvyNv2Caerbov2D09 MBdbqedmvETj2BSbqeeuuDJXwAKbsr4rNCHbGeaGqik8fkY=xipgYl h9vqqj=hEeeu0xXdi9arFj0xirFj0dXdbba91qpK0=yr0RYxfr=Jbb f9q8aq0=yq=He9q8qqQ8frFve9Fve9Ff0dmeaabaqaciaacaGaaeqa baqabeGadaaakeaaqaaaaaaaaaWdbiabew7aL9aadaWgaaWcbaWdbi abeg7aHjabek7aIbWdaeqaaOWdbmaabmaapaqaa8qacaWHYbGaaiil aiqahkhagaqbaaGaayjkaiaawMcaaaaa@3AE0@ ; в средах без пространственной дисперсии действие тензора диэлектрической проницаемости сводится к умножению на числовую матрицу ε αβ MathType@MTEF@5@5@+= feaahGart1ev3aqatCvAUfeBSjuyZL2yd9gzLbvyNv2Caerbov2D09 MBdbqedmvETj2BSbqeeuuDJXwAKbsr4rNCHbGeaGqik8fkY=xipgYl h9vqqj=hEeeu0xXdi9arFj0xirFj0dXdbba91qpK0=yr0RYxfr=Jbb f9q8aq0=yq=He9q8qqQ8frFve9Fve9Ff0dmeaabaqaciaacaGaaeqa baqabeGadaaakeaaqaaaaaaaaaWdbiabew7aL9aadaWgaaWcbaWdbi abeg7aHjabek7aIbWdaeqaaaaa@366C@ .

4. Нулевой порядок. Скалярная функция Вигнера для электромагнитного поля

В плавнонеоднородной среде, в которой масштабы неоднородности среды и характерные размеры распределения интенсивности комплексной амплитуды поля много больше длины волны, λ/L1 MathType@MTEF@5@5@+= feaahGart1ev3aqatCvAUfeBSjuyZL2yd9gzLbvyNv2Caerbov2D09 MBdbqedmvETj2BSbqeeuuDJXwAKbsr4rNCHbGeaGqik8fkY=xipgYl h9vqqj=hEeeu0xXdi9arFj0xirFj0dXdbba91qpK0=yr0RYxfr=Jbb f9q8aq0=yq=He9q8qqQ8frFve9Fve9Ff0dmeaabaqaciaacaGaaeqa baqabeGadaaakeaaqaaaaaaaaaWdbiabeU7aSjaac+cacaWGmbGaeS OAI0JaaGymaaaa@3678@ , возможно построение упрощенной асимптотической теории на базе кинетического уравнения (13). При этом следует учесть, что каждая операция 2 /RK MathType@MTEF@5@5@+= feaahGart1ev3aqatCvAUfeBSjuyZL2yd9gzLbvyNv2Caerbov2D09 MBdbqedmvETj2BSbqeeuuDJXwAKbsr4rNCHbGeaGqik8fkY=xipgYl h9vqqj=hEeeu0xXdi9arFj0xirFj0dXdbba91qpK0=yr0RYxfr=Jbb f9q8aq0=yq=He9q8qqQ8frFve9Fve9Ff0dmeaabaqaciaacaGaaeqa baqabeGadaaakeaaqaaaaaaaaaWdbiabgkGi2+aadaahaaWcbeqaa8 qacaaIYaaaaOGaai4laiabgkGi2kaahkfacqGHciITcaWHlbaaaa@38D1@  в операторной экспоненте приводит к повышению порядка малости по параметру геометрической оптики λ/L MathType@MTEF@5@5@+= feaahGart1ev3aqatCvAUfeBSjuyZL2yd9gzLbvyNv2Caerbov2D09 MBdbqedmvETj2BSbqeeuuDJXwAKbsr4rNCHbGeaGqik8fkY=xipgYl h9vqqj=hEeeu0xXdi9arFj0xirFj0dXdbba91qpK0=yr0RYxfr=Jbb f9q8aq0=yq=He9q8qqQ8frFve9Fve9Ff0dmeaabaqaciaacaGaaeqa baqabeGadaaakeaaqaaaaaaaaaWdbiabeU7aSjaac+cacaWGmbaaaa@3463@ .

В нулевом порядке теории возмущений операторная экспонента в (13) заменяется тождественным оператором, что дает

β D αβ R,K   W βγ R,K =0. MathType@MTEF@5@5@+= feaahGart1ev3aqatCvAUfeBSjuyZL2yd9gzLbvyNv2Caerbov2D09 MBdbqedmvETj2BSbqeeuuDJXwAKbsr4rNCHbGeaGqik8fkY=xipgYl h9vqqj=hEeeu0xXdi9arFj0xirFj0dXdbba91qpK0=yr0RYxfr=Jbb f9q8aq0=yq=He9q8qqQ8frFve9Fve9Ff0dmeaabaqaciaacaGaaeqa baqabeGadaaakeaaqaaaaaaaaaWdbmaawafabeWcpaqaa8qacqaHYo Gyaeqan8aabaWdbiabggHiLdaakiaaK3aicaWGebWdamaaBaaaleaa peGaeqySdeMaeqOSdigapaqabaGcpeWaaeWaa8aabaWdbiaahkfaca GGSaGaaC4saaGaayjkaiaawMcaaiaaKdkacaWGxbWdamaaBaaaleaa peGaeqOSdiMaeq4SdCgapaqabaGcpeWaaeWaa8aabaWdbiaahkfaca GGSaGaaC4saaGaayjkaiaawMcaaiabg2da9iaaicdacaGGUaaaaa@4B6D@    (15)

Это матричное тождество, которое должно выполняться покомпонентно для всех α MathType@MTEF@5@5@+= feaahGart1ev3aqatCvAUfeBSjuyZL2yd9gzLbvyNv2Caerbov2D09 MBdbqedmvETj2BSbqeeuuDJXwAKbsr4rNCHbGeaGqik8fkY=xipgYl h9vqqj=hEeeu0xXdi9arFj0xirFj0dXdbba91qpK0=yr0RYxfr=Jbb f9q8aq0=yq=He9q8qqQ8frFve9Fve9Ff0dmeaabaqaciaacaGaaeqa baqabeGadaaakeaaqaaaaaaaaaWdbiabeg7aHbaa@32CA@  и γ MathType@MTEF@5@5@+= feaahGart1ev3aqatCvAUfeBSjuyZL2yd9gzLbvyNv2Caerbov2D09 MBdbqedmvETj2BSbqeeuuDJXwAKbsr4rNCHbGeaGqik8fkY=xipgYl h9vqqj=hEeeu0xXdi9arFj0xirFj0dXdbba91qpK0=yr0RYxfr=Jbb f9q8aq0=yq=He9q8qqQ8frFve9Fve9Ff0dmeaabaqaciaacaGaaeqa baqabeGadaaakeaaqaaaaaaaaaWdbiabeo7aNbaa@32D2@ . Для решения этого уравнения нам потребуется использовать дополнительные физические соображения, ограничивающие вид волнового оператора. Во-первых, заметим, что для существования нетривиального решения для тензора Вигнера необходимо, чтобы одно из собственных значений матрицы волнового оператора D αβ MathType@MTEF@5@5@+= feaahGart1ev3aqatCvAUfeBSjuyZL2yd9gzLbvyNv2Caerbov2D09 MBdbqedmvETj2BSbqeeuuDJXwAKbsr4rNCHbGeaGqik8fkY=xipgYl h9vqqj=hEeeu0xXdi9arFj0xirFj0dXdbba91qpK0=yr0RYxfr=Jbb f9q8aq0=yq=He9q8qqQ8frFve9Fve9Ff0dmeaabaqaciaacaGaaeqa baqabeGadaaakeaaqaaaaaaaaaWdbiaadseapaWaaSbaaSqaa8qacq aHXoqycqaHYoGya8aabeaaaaa@358E@  принимало нулевое значение при определенных R и K. Обозначим это собственное значение H(R,K). Во-вторых, будем считать, что в рассматриваемой задаче отсутствует поляризационное вырождение, то есть для всех R и K выделенному собственному значению Н отвечает ровно один собственный вектор e R,K MathType@MTEF@5@5@+= feaahGart1ev3aqatCvAUfeBSjuyZL2yd9gzLbvyNv2Caerbov2D09 MBdbqedmvETj2BSbqeeuuDJXwAKbsr4rNCHbGeaGqik8fkY=xipgYl h9vqqj=hEeeu0xXdi9arFj0xirFj0dXdbba91qpK0=yr0RYxfr=Jbb f9q8aq0=yq=He9q8qqQ8frFve9Fve9Ff0dmeaabaqaciaacaGaaeqa baqabeGadaaakeaaqaaaaaaaaaWdbiaahwgadaqadaWdaeaapeGaaC OuaiaacYcacaWHlbaacaGLOaGaayzkaaaaaa@3620@  с компонентами e α MathType@MTEF@5@5@+= feaahGart1ev3aqatCvAUfeBSjuyZL2yd9gzLbvyNv2Caerbov2D09 MBdbqedmvETj2BSbqeeuuDJXwAKbsr4rNCHbGeaGqik8fkY=xipgYl h9vqqj=hEeeu0xXdi9arFj0xirFj0dXdbba91qpK0=yr0RYxfr=Jbb f9q8aq0=yq=He9q8qqQ8frFve9Fve9Ff0dmeaabaqaciaacaGaaeqa baqabeGadaaakeaaqaaaaaaaaaWdbiaadwgapaWaaSbaaSqaa8qacq aHXoqya8aabeaaaaa@340E@  

  β D αβ   e β =H  e α . MathType@MTEF@5@5@+= feaahGart1ev3aqatCvAUfeBSjuyZL2yd9gzLbvyNv2Caerbov2D09 MBdbqedmvETj2BSbqeeuuDJXwAKbsr4rNCHbGeaGqik8fkY=xipgYl h9vqqj=hEeeu0xXdi9arFj0xirFj0dXdbba91qpK0=yr0RYxfr=Jbb f9q8aq0=yq=He9q8qqQ8frFve9Fve9Ff0dmeaabaqaciaacaGaaeqa baqabeGadaaakeaaqaaaaaaaaaWdbmaawafabeWcpaqaa8qacqaHYo Gyaeqan8aabaWdbiabggHiLdaakiaaK3aicaWGebWdamaaBaaaleaa peGaeqySdeMaeqOSdigapaqabaGcpeGaaqoOaiaadwgapaWaaSbaaS qaa8qacqaHYoGya8aabeaak8qacqGH9aqpcaWGibGaaqoOaiaadwga paWaaSbaaSqaa8qacqaHXoqya8aabeaak8qacaGGUaaaaa@465C@                      (16)

Физически это означает, что мы не рассматриваем изотропные среды и исключаем специальный случай линейного взаимодействия нормальных волн, которое реализуется в окрестности точки поляризационного вырождения уравнений Максвелла в анизотропных и гиротропных средах с глобально снятым поляризационным вырождением [39]. Вектор e R,K MathType@MTEF@5@5@+= feaahGart1ev3aqatCvAUfeBSjuyZL2yd9gzLbvyNv2Caerbov2D09 MBdbqedmvETj2BSbqeeuuDJXwAKbsr4rNCHbGeaGqik8fkY=xipgYl h9vqqj=hEeeu0xXdi9arFj0xirFj0dXdbba91qpK0=yr0RYxfr=Jbb f9q8aq0=yq=He9q8qqQ8frFve9Fve9Ff0dmeaabaqaciaacaGaaeqa baqabeGadaaakeaaqaaaaaaaaaWdbiaahwgadaqadaWdaeaapeGaaC OuaiaacYcacaWHlbaacaGLOaGaayzkaaaaaa@3620@  можно трактовать как вектор поляризации электрического поля для нормальной моды среды, а выполняющееся на нетривиальных решениях условие H R,K =0 MathType@MTEF@5@5@+= feaahGart1ev3aqatCvAUfeBSjuyZL2yd9gzLbvyNv2Caerbov2D09 MBdbqedmvETj2BSbqeeuuDJXwAKbsr4rNCHbGeaGqik8fkY=xipgYl h9vqqj=hEeeu0xXdi9arFj0xirFj0dXdbba91qpK0=yr0RYxfr=Jbb f9q8aq0=yq=He9q8qqQ8frFve9Fve9Ff0dmeaabaqaciaacaGaaeqa baqabeGadaaakeaaqaaaaaaaaaWdbiaadIeadaqadaWdaeaapeGaaC OuaiaacYcacaWHlbaacaGLOaGaayzkaaGaeyypa0JaaGimaaaa@37BF@   MathType@MTEF@5@5@+= feaahGart1ev3aqatCvAUfeBSjuyZL2yd9gzLbvyNv2CaerbuLwBLn hiov2DGi1BTfMBaeXatLxBI9gBaerbd9wDYLwzYbItLDharqqtubsr 4rNCHbGeaGqiVu0Je9sqqrpepC0xbbL8F4rqqrFfpeea0xe9Lq=Jc9 vqaqpepm0xbba9pwe9Q8fs0=yqaqpepae9pg0FirpepeKkFr0xfr=x fr=xb9adbaqaaeGaciGaaiaabeqaamaabaabaaGcbaacbaqcLbwaqa aaaaaaaaWdbiaa=nbiaaa@37A4@  как соответствующее геометрооптическое дисперсионное соотношение, с учетом сделанных замечаний полностью эквивалентное условию разрешимости волнового уравнения det D αβ =0 MathType@MTEF@5@5@+= feaahGart1ev3aqatCvAUfeBSjuyZL2yd9gzLbvyNv2Caerbov2D09 MBdbqedmvETj2BSbqeeuuDJXwAKbsr4rNCHbGeaGqik8fkY=xipgYl h9vqqj=hEeeu0xXdi9arFj0xirFj0dXdbba91qpK0=yr0RYxfr=Jbb f9q8aq0=yq=He9q8qqQ8frFve9Fve9Ff0dmeaabaqaciaacaGaaeqa baqabeGadaaakeaaqaaaaaaaaaWdbiaabsgacaqGLbGaaeiDamaabm aapaqaa8qacaWGebWdamaaBaaaleaapeGaeqySdeMaeqOSdigapaqa baaak8qacaGLOaGaayzkaaGaeyypa0JaaGimaaaa@3BD6@ . Из (16) следует очевидное равенство

  H R,K = α,β e α *   e β   D αβ , MathType@MTEF@5@5@+= feaahGart1ev3aqatCvAUfeBSjuyZL2yd9gzLbvyNv2Caerbov2D09 MBdbqedmvETj2BSbqeeuuDJXwAKbsr4rNCHbGeaGqik8fkY=xipgYl h9vqqj=hEeeu0xXdi9arFj0xirFj0dXdbba91qpK0=yr0RYxfr=Jbb f9q8aq0=yq=He9q8qqQ8frFve9Fve9Ff0dmeaabaqaciaacaGaaeqa baqabeGadaaakeaaqaaaaaaaaaWdbiaadIeadaqadaWdaeaapeGaaC OuaiaacYcacaWHlbaacaGLOaGaayzkaaGaeyypa0Zaaybuaeqal8aa baWdbiabeg7aHjaacYcacqaHYoGyaeqan8aabaWdbiabggHiLdaaki aaK3aicaWGLbWdamaaDaaaleaapeGaeqySdegapaqaa8qacaqGQaaa aOGaaqoOaiaadwgapaWaaSbaaSqaa8qacqaHYoGya8aabeaak8qaca a5GcGaamira8aadaWgaaWcbaWdbiabeg7aHjabek7aIbWdaeqaaOWd biaacYcaaaa@4D5E@           (17)

справедливое, если вектор поляризации нормирован на единицу, e e * =1 MathType@MTEF@5@5@+= feaahGart1ev3aqatCvAUfeBSjuyZL2yd9gzLbvyNv2Caerbov2D09 MBdbqedmvETj2BSbqeeuuDJXwAKbsr4rNCHbGeaGqik8fkY=xipgYl h9vqqj=hEeeu0xXdi9arFj0xirFj0dXdbba91qpK0=yr0RYxfr=Jbb f9q8aq0=yq=He9q8qqQ8frFve9Fve9Ff0dmeaabaqaciaacaGaaeqa baqabeGadaaakeaaqaaaaaaaaaWdbiaahwgacaWHLbWdamaaCaaale qabaWdbiaabQcaaaGccqGH9aqpcaaIXaaaaa@35CB@ .

С формально математической точки зрения приведенные выше условия означают, что размерность ядра волнового оператора D αβ MathType@MTEF@5@5@+= feaahGart1ev3aqatCvAUfeBSjuyZL2yd9gzLbvyNv2Caerbov2D09 MBdbqedmvETj2BSbqeeuuDJXwAKbsr4rNCHbGeaGqik8fkY=xipgYl h9vqqj=hEeeu0xXdi9arFj0xirFj0dXdbba91qpK0=yr0RYxfr=Jbb f9q8aq0=yq=He9q8qqQ8frFve9Fve9Ff0dmeaabaqaciaacaGaaeqa baqabeGadaaakeaaqaaaaaaaaaWdbiaadseapaWaaSbaaSqaa8qacq aHXoqycqaHYoGya8aabeaaaaa@358E@  не может быть больше единицы и в точности равна ей в решениях (15). Поэтому образ оператора W βγ MathType@MTEF@5@5@+= feaahGart1ev3aqatCvAUfeBSjuyZL2yd9gzLbvyNv2Caerbov2D09 MBdbqedmvETj2BSbqeeuuDJXwAKbsr4rNCHbGeaGqik8fkY=xipgYl h9vqqj=hEeeu0xXdi9arFj0xirFj0dXdbba91qpK0=yr0RYxfr=Jbb f9q8aq0=yq=He9q8qqQ8frFve9Fve9Ff0dmeaabaqaciaacaGaaeqa baqabeGadaaakeaaqaaaaaaaaaWdbiaadEfapaWaaSbaaSqaa8qacq aHYoGycqaHZoWza8aabeaaaaa@35A9@ , отвечающего решению (15), должен состоять из одного (с точностью до растяжений) элемента e R,K MathType@MTEF@5@5@+= feaahGart1ev3aqatCvAUfeBSjuyZL2yd9gzLbvyNv2Caerbov2D09 MBdbqedmvETj2BSbqeeuuDJXwAKbsr4rNCHbGeaGqik8fkY=xipgYl h9vqqj=hEeeu0xXdi9arFj0xirFj0dXdbba91qpK0=yr0RYxfr=Jbb f9q8aq0=yq=He9q8qqQ8frFve9Fve9Ff0dmeaabaqaciaacaGaaeqa baqabeGadaaakeaaqaaaaaaaaaWdbiaahwgadaqadaWdaeaapeGaaC OuaiaacYcacaWHlbaacaGLOaGaayzkaaaaaa@3620@ . Другими словами, W βγ MathType@MTEF@5@5@+= feaahGart1ev3aqatCvAUfeBSjuyZL2yd9gzLbvyNv2Caerbov2D09 MBdbqedmvETj2BSbqeeuuDJXwAKbsr4rNCHbGeaGqik8fkY=xipgYl h9vqqj=hEeeu0xXdi9arFj0xirFj0dXdbba91qpK0=yr0RYxfr=Jbb f9q8aq0=yq=He9q8qqQ8frFve9Fve9Ff0dmeaabaqaciaacaGaaeqa baqabeGadaaakeaaqaaaaaaaaaWdbiaadEfapaWaaSbaaSqaa8qacq aHYoGycqaHZoWza8aabeaaaaa@35A9@  должен проектировать любой вектор на вектор поляризации e MathType@MTEF@5@5@+= feaahGart1ev3aqatCvAUfeBSjuyZL2yd9gzLbvyNv2Caerbov2D09 MBdbqedmvETj2BSbqeeuuDJXwAKbsr4rNCHbGeaGqik8fkY=xipgYl h9vqqj=hEeeu0xXdi9arFj0xirFj0dXdbba91qpK0=yr0RYxfr=Jbb f9q8aq0=yq=He9q8qqQ8frFve9Fve9Ff0dmeaabaqaciaacaGaaeqa baqabeGadaaakeaaqaaaaaaaaaWdbiaahwgaaaa@3219@ :

γ W βγ   x γ =μ  e β      x γ . MathType@MTEF@5@5@+= feaahGart1ev3aqatCvAUfeBSjuyZL2yd9gzLbvyNv2Caerbov2D09 MBdbqedmvETj2BSbqeeuuDJXwAKbsr4rNCHbGeaGqik8fkY=xipgYl h9vqqj=hEeeu0xXdi9arFj0xirFj0dXdbba91qpK0=yr0RYxfr=Jbb f9q8aq0=yq=He9q8qqQ8frFve9Fve9Ff0dmeaabaqaciaacaGaaeqa baqabeGadaaakeaaqaaaaaaaaaWdbmaawafabeWcpaqaa8qacqaHZo Wzaeqan8aabaWdbiabggHiLdaakiaaK3aicaWGxbWdamaaBaaaleaa peGaeqOSdiMaeq4SdCgapaqabaGcpeGaaqoOaiaadIhapaWaaSbaaS qaa8qacqaHZoWza8aabeaak8qacqGH9aqpcqaH8oqBcaa5GcGaamyz a8aadaWgaaWcbaWdbiabek7aIbWdaeqaaOWdbiaaKdkacaa5GcGaaq oOaiaaKdkadaqadaWdaeaapeGaeyiaIiIaamiEa8aadaWgaaWcbaWd biabeo7aNbWdaeqaaaGcpeGaayjkaiaawMcaaiaac6caaaa@5329@

Эрмитов оператор, удовлетворяющий этому свойству, имеет общий вид

W βγ R,K = e β R,K   e γ * R,K  W R,K . MathType@MTEF@5@5@+= feaahGart1ev3aqatCvAUfeBSjuyZL2yd9gzLbvyNv2Caerbov2D09 MBdbqedmvETj2BSbqeeuuDJXwAKbsr4rNCHbGeaGqik8fkY=xipgYl h9vqqj=hEeeu0xXdi9arFj0xirFj0dXdbba91qpK0=yr0RYxfr=Jbb f9q8aq0=yq=He9q8qqQ8frFve9Fve9Ff0dmeaabaqaciaacaGaaeqa baqabeGadaaakeaaqaaaaaaaaaWdbiaadEfapaWaaSbaaSqaa8qacq aHYoGycqaHZoWza8aabeaak8qadaqadaWdaeaapeGaaCOuaiaacYca caWHlbaacaGLOaGaayzkaaGaeyypa0Jaamyza8aadaWgaaWcbaWdbi abek7aIbWdaeqaaOWdbmaabmaapaqaa8qacaWHsbGaaiilaiaahUea aiaawIcacaGLPaaacaa5GcGaamyza8aadaqhaaWcbaWdbiabeo7aNb WdaeaapeGaaeOkaaaakmaabmaapaqaa8qacaWHsbGaaiilaiaahUea aiaawIcacaGLPaaacaa5GcGaam4vamaabmaapaqaa8qacaWHsbGaai ilaiaahUeaaiaawIcacaGLPaaacaGGUaaaaa@5231@  (18)

Чтобы показать это достаточно перейти в базис, первым из векторов которого является вектор поляризации e MathType@MTEF@5@5@+= feaahGart1ev3aqatCvAUfeBSjuyZL2yd9gzLbvyNv2Caerbov2D09 MBdbqedmvETj2BSbqeeuuDJXwAKbsr4rNCHbGeaGqik8fkY=xipgYl h9vqqj=hEeeu0xXdi9arFj0xirFj0dXdbba91qpK0=yr0RYxfr=Jbb f9q8aq0=yq=He9q8qqQ8frFve9Fve9Ff0dmeaabaqaciaacaGaaeqa baqabeGadaaakeaaqaaaaaaaaaWdbiaahwgaaaa@3219@ . В этом базисе матрица W βγ MathType@MTEF@5@5@+= feaahGart1ev3aqatCvAUfeBSjuyZL2yd9gzLbvyNv2Caerbov2D09 MBdbqedmvETj2BSbqeeuuDJXwAKbsr4rNCHbGeaGqik8fkY=xipgYl h9vqqj=hEeeu0xXdi9arFj0xirFj0dXdbba91qpK0=yr0RYxfr=Jbb f9q8aq0=yq=He9q8qqQ8frFve9Fve9Ff0dmeaabaqaciaacaGaaeqa baqabeGadaaakeaaqaaaaaaaaaWdbiaadEfapaWaaSbaaSqaa8qacq aHYoGycqaHZoWza8aabeaaaaa@35A9@  имеет единственный ненулевой элемент W 11 =W MathType@MTEF@5@5@+= feaahGart1ev3aqatCvAUfeBSjuyZL2yd9gzLbvyNv2Caerbov2D09 MBdbqedmvETj2BSbqeeuuDJXwAKbsr4rNCHbGeaGqik8fkY=xipgYl h9vqqj=hEeeu0xXdi9arFj0xirFj0dXdbba91qpK0=yr0RYxfr=Jbb f9q8aq0=yq=He9q8qqQ8frFve9Fve9Ff0dmeaabaqaciaacaGaaeqa baqabeGadaaakeaaqaaaaaaaaaWdbiaadEfapaWaaSbaaSqaa8qaca aIXaGaaGymaaWdaeqaaOWdbiabg2da9iaadEfaaaa@35D3@ .

Заметим, что тензорное представление (18) описывает электрическое поле вида

  E r = e ^ r u r , MathType@MTEF@5@5@+= feaahGart1ev3aqatCvAUfeBSjuyZL2yd9gzLbvyNv2Caerbov2D09 MBdbqedmvETj2BSbqeeuuDJXwAKbsr4rNCHbGeaGqik8fkY=xipgYl h9vqqj=hEeeu0xXdi9arFj0xirFj0dXdbba91qpK0=yr0RYxfr=Jbb f9q8aq0=yq=He9q8qqQ8frFve9Fve9Ff0dmeaabaqaciaacaGaaeqa baqabeGadaaakeaaqaaaaaaaaaWdbiaahweadaqadaWdaeaapeGaaC OCaaGaayjkaiaawMcaaiabg2da9maaHaaabaGaaKyzaaGaayPadaWa aeWaa8aabaWdbiaahkhaaiaawIcacaGLPaaacaWG1bWaaeWaa8aaba WdbiaahkhaaiaawIcacaGLPaaacaGGSaaaaa@3E44@                            (19)

где e ^ MathType@MTEF@5@5@+= feaahGart1ev3aqatCvAUfeBSjuyZL2yd9gzLbvyNv2Caerbov2D09 MBdbqedmvETj2BSbqeeuuDJXwAKbsr4rNCHbGeaGqik8fkY=xipgYl h9vqqj=hEeeu0xXdi9arFj0xirFj0dXdbba91qpK0=yr0RYxfr=Jbb f9q8aq0=yq=He9q8qqQ8frFve9Fve9Ff0dmeaabaqaciaacaGaaeqa baqabeGadaaakeaaqaaaaaaaaaWdbmaaHaaabaGaaKyzaaGaayPada aaaa@32DD@  есть оператор поляризации, однозначно определяемый по своему вейлевскому представлению e R,K MathType@MTEF@5@5@+= feaahGart1ev3aqatCvAUfeBSjuyZL2yd9gzLbvyNv2Caerbov2D09 MBdbqedmvETj2BSbqeeuuDJXwAKbsr4rNCHbGeaGqik8fkY=xipgYl h9vqqj=hEeeu0xXdi9arFj0xirFj0dXdbba91qpK0=yr0RYxfr=Jbb f9q8aq0=yq=He9q8qqQ8frFve9Fve9Ff0dmeaabaqaciaacaGaaeqa baqabeGadaaakeaaqaaaaaaaaaWdbiaahwgadaqadaWdaeaapeGaaC OuaiaacYcacaWHlbaacaGLOaGaayzkaaaaaa@3620@ , а u r MathType@MTEF@5@5@+= feaahGart1ev3aqatCvAUfeBSjuyZL2yd9gzLbvyNv2Caerbov2D09 MBdbqedmvETj2BSbqeeuuDJXwAKbsr4rNCHbGeaGqik8fkY=xipgYl h9vqqj=hEeeu0xXdi9arFj0xirFj0dXdbba91qpK0=yr0RYxfr=Jbb f9q8aq0=yq=He9q8qqQ8frFve9Fve9Ff0dmeaabaqaciaacaGaaeqa baqabeGadaaakeaaqaaaaaaaaaWdbiaadwhadaqadaWdaeaapeGaaC OCaaGaayjkaiaawMcaaaaa@34C8@  есть скалярная комплексная амплитуда волнового поля. Функция W R,K MathType@MTEF@5@5@+= feaahGart1ev3aqatCvAUfeBSjuyZL2yd9gzLbvyNv2Caerbov2D09 MBdbqedmvETj2BSbqeeuuDJXwAKbsr4rNCHbGeaGqik8fkY=xipgYl h9vqqj=hEeeu0xXdi9arFj0xirFj0dXdbba91qpK0=yr0RYxfr=Jbb f9q8aq0=yq=He9q8qqQ8frFve9Fve9Ff0dmeaabaqaciaacaGaaeqa baqabeGadaaakeaaqaaaaaaaaaWdbiaadEfadaqadaWdaeaapeGaaC OuaiaacYcacaWHlbaacaGLOaGaayzkaaaaaa@360E@  в точности соответствует функции Вигнера, отвечающей распределению скалярной комплексной амплитуды u r MathType@MTEF@5@5@+= feaahGart1ev3aqatCvAUfeBSjuyZL2yd9gzLbvyNv2Caerbov2D09 MBdbqedmvETj2BSbqeeuuDJXwAKbsr4rNCHbGeaGqik8fkY=xipgYl h9vqqj=hEeeu0xXdi9arFj0xirFj0dXdbba91qpK0=yr0RYxfr=Jbb f9q8aq0=yq=He9q8qqQ8frFve9Fve9Ff0dmeaabaqaciaacaGaaeqa baqabeGadaaakeaaqaaaaaaaaaWdbiaadwhadaqadaWdaeaapeGaaC OCaaGaayjkaiaawMcaaaaa@34C8@  в соответствии с (6), поэтому будем называть эту величину скалярной функцией Вигнера. Эта функция принимает только действительные значения.

Напомним, что формула (18) определяет решение уравнения (15) только если e MathType@MTEF@5@5@+= feaahGart1ev3aqatCvAUfeBSjuyZL2yd9gzLbvyNv2Caerbov2D09 MBdbqedmvETj2BSbqeeuuDJXwAKbsr4rNCHbGeaGqik8fkY=xipgYl h9vqqj=hEeeu0xXdi9arFj0xirFj0dXdbba91qpK0=yr0RYxfr=Jbb f9q8aq0=yq=He9q8qqQ8frFve9Fve9Ff0dmeaabaqaciaacaGaaeqa baqabeGadaaakeaaqaaaaaaaaaWdbiaahwgaaaa@3219@  отвечает ядру волнового оператора, поэтому

  W R,K = W ˜ R,K  δ H R,K , MathType@MTEF@5@5@+= feaahGart1ev3aqatCvAUfeBSjuyZL2yd9gzLbvyNv2Caerbov2D09 MBdbqedmvETj2BSbqeeuuDJXwAKbsr4rNCHbGeaGqik8fkY=xipgYl h9vqqj=hEeeu0xXdi9arFj0xirFj0dXdbba91qpK0=yr0RYxfr=Jbb f9q8aq0=yq=He9q8qqQ8frFve9Fve9Ff0dmeaabaqaciaacaGaaeqa baqabeGadaaakeaaqaaaaaaaaaWdbiaadEfadaqadaWdaeaapeGaaC OuaiaacYcacaWHlbaacaGLOaGaayzkaaGaeyypa0ZaaacaaeaacaWG xbaacaGLdmaadaqadaWdaeaapeGaaCOuaiaacYcacaWHlbaacaGLOa GaayzkaaGaaqoOaiabes7aKnaabmaapaqaa8qacaWGibWaaeWaa8aa baWdbiaahkfacaGGSaGaaC4saaGaayjkaiaawMcaaaGaayjkaiaawM caaiaacYcaaaa@4710@             (20)

где W ˜ R,K MathType@MTEF@5@5@+= feaahGart1ev3aqatCvAUfeBSjuyZL2yd9gzLbvyNv2Caerbov2D09 MBdbqedmvETj2BSbqeeuuDJXwAKbsr4rNCHbGeaGqik8fkY=xipgYl h9vqqj=hEeeu0xXdi9arFj0xirFj0dXdbba91qpK0=yr0RYxfr=Jbb f9q8aq0=yq=He9q8qqQ8frFve9Fve9Ff0dmeaabaqaciaacaGaaeqa baqabeGadaaakeaaqaaaaaaaaaWdbmaaGaaabaGaam4vaaGaay5ada WaaeWaa8aabaWdbiaahkfacaGGSaGaaC4saaGaayjkaiaawMcaaaaa @36D0@   MathType@MTEF@5@5@+= feaahGart1ev3aqatCvAUfeBSjuyZL2yd9gzLbvyNv2CaerbuLwBLn hiov2DGi1BTfMBaeXatLxBI9gBaerbd9wDYLwzYbItLDharqqtubsr 4rNCHbGeaGqiVu0Je9sqqrpepC0xbbL8F4rqqrFfpeea0xe9Lq=Jc9 vqaqpepm0xbba9pwe9Q8fs0=yqaqpepae9pg0FirpepeKkFr0xfr=x fr=xb9adbaqaaeGaciGaaiaabeqaamaabaabaaGcbaacbaqcLbwaqa aaaaaaaaWdbiaa=nbiaaa@37A4@  произвольная действительная функция, δ MathType@MTEF@5@5@+= feaahGart1ev3aqatCvAUfeBSjuyZL2yd9gzLbvyNv2Caerbov2D09 MBdbqedmvETj2BSbqeeuuDJXwAKbsr4rNCHbGeaGqik8fkY=xipgYl h9vqqj=hEeeu0xXdi9arFj0xirFj0dXdbba91qpK0=yr0RYxfr=Jbb f9q8aq0=yq=He9q8qqQ8frFve9Fve9Ff0dmeaabaqaciaacaGaaeqa baqabeGadaaakeaaqaaaaaaaaaWdbiabes7aKnaabmaapaqaa8qacq GHMacVaiaawIcacaGLPaaaaaa@3606@   MathType@MTEF@5@5@+= feaahGart1ev3aqatCvAUfeBSjuyZL2yd9gzLbvyNv2CaerbuLwBLn hiov2DGi1BTfMBaeXatLxBI9gBaerbd9wDYLwzYbItLDharqqtubsr 4rNCHbGeaGqiVu0Je9sqqrpepC0xbbL8F4rqqrFfpeea0xe9Lq=Jc9 vqaqpepm0xbba9pwe9Q8fs0=yqaqpepae9pg0FirpepeKkFr0xfr=x fr=xb9adbaqaaeGaciGaaiaabeqaamaabaabaaGcbaacbaqcLbwaqa aaaaaaaaWdbiaa=nbiaaa@37A4@  дельта-функция Дирака, отвечающаа за выполнение дисперсионного соотношения. Таким образом, мы построили точное решение кинетического уравнения для тензора Вигнера в нулевом порядке теории возмущений.

5. Связь с квазиоптическим приближением

С методической точки зрения полезно представить матричные уравнения (13) как одно уравнение на скалярную функцию Вигнера, заданную в виде в виде (18)

  exp i 2 H R W K i 2 W R H K H R,K W R,K =0. MathType@MTEF@5@5@+= feaahGart1ev3aqatCvAUfeBSjuyZL2yd9gzLbvyNv2Caerbov2D09 MBdbqedmvETj2BSbqeeuuDJXwAKbsr4rNCHbGeaGqik8fkY=xipgYl h9vqqj=hEeeu0xXdi9arFj0xirFj0dXdbba91qpK0=yr0RYxfr=Jbb f9q8aq0=yq=He9q8qqQ8frFve9Fve9Ff0dmeaabaqaciaacaGaaeqa baqabeGadaaakeaaqaaaaaaaaaWdbiaabwgacaqG4bGaaeiCamaabm aapaqaa8qadaWcaaWdaeaapeGaamyAaaWdaeaapeGaaGOmaaaadaWc aaWdaeaapeGaeyOaIy7damaaBaaaleaapeGaamisaaWdaeqaaaGcba WdbiabgkGi2kaahkfaaaWaaSaaa8aabaWdbiabgkGi2+aadaWgaaWc baWdbiaadEfaa8aabeaaaOqaa8qacqGHciITcaWHlbaaaiabgkHiTm aalaaapaqaa8qacaWGPbaapaqaa8qacaaIYaaaamaalaaapaqaa8qa cqGHciITpaWaaSbaaSqaa8qacaWGxbaapaqabaaakeaapeGaeyOaIy RaaCOuaaaadaWcaaWdaeaapeGaeyOaIy7damaaBaaaleaapeGaamis aaWdaeqaaaGcbaWdbiabgkGi2kaahUeaaaaacaGLOaGaayzkaaGaam isamaabmaapaqaa8qacaWHsbGaaiilaiaahUeaaiaawIcacaGLPaaa caWGxbWaaeWaa8aabaWdbiaahkfacaGGSaGaaC4saaGaayjkaiaawM caaiabg2da9iaaicdacaGGUaaaaa@5B1B@  (21)

Уравнениям нулевого порядка (15) соответствует

H R,K W R,K =0. MathType@MTEF@5@5@+= feaahGart1ev3aqatCvAUfeBSjuyZL2yd9gzLbvyNv2Caerbov2D09 MBdbqedmvETj2BSbqeeuuDJXwAKbsr4rNCHbGeaGqik8fkY=xipgYl h9vqqj=hEeeu0xXdi9arFj0xirFj0dXdbba91qpK0=yr0RYxfr=Jbb f9q8aq0=yq=He9q8qqQ8frFve9Fve9Ff0dmeaabaqaciaacaGaaeqa baqabeGadaaakeaaqaaaaaaaaaWdbiaadIeadaqadaWdaeaapeGaaC OuaiaacYcacaWHlbaacaGLOaGaayzkaaGaam4vamaabmaapaqaa8qa caWHsbGaaiilaiaahUeaaiaawIcacaGLPaaacqGH9aqpcaaIWaGaai Olaaaa@3D54@

Эквивалентное (21) уравнение на электрическое поле, действующее в исходном (не вигнеровском) пространстве, есть

   H ^ u =0, MathType@MTEF@5@5@+= feaahGart1ev3aqatCvAUfeBSjuyZL2yd9gzLbvyNv2Caerbov2D09 MBdbqedmvETj2BSbqeeuuDJXwAKbsr4rNCHbGeaGqik8fkY=xipgYl h9vqqj=hEeeu0xXdi9arFj0xirFj0dXdbba91qpK0=yr0RYxfr=Jbb f9q8aq0=yq=He9q8qqQ8frFve9Fve9Ff0dmeaabaqaciaacaGaaeqa baqabeGadaaakeaaqaaaaaaaaaWdbmaaHaaabaWefv3ySLgznfgDOf daryqr1ngBPrginfgDObYtUvgaiqaacqWFlecsaiaawkWaamaadmaa paqaa8qacaWG1baacaGLBbGaayzxaaGaeyypa0JaaGimaiaacYcaaa a@41EA@                         (22)

где H ^ MathType@MTEF@5@5@+= feaahGart1ev3aqatCvAUfeBSjuyZL2yd9gzLbvyNv2Caerbov2D09 MBdbqedmvETj2BSbqeeuuDJXwAKbsr4rNCHbGeaGqik8fkY=xipgYl h9vqqj=hEeeu0xXdi9arFj0xirFj0dXdbba91qpK0=yr0RYxfr=Jbb f9q8aq0=yq=He9q8qqQ8frFve9Fve9Ff0dmeaabaqaciaacaGaaeqa baqabeGadaaakeaaqaaaaaaaaaWdbmaaHaaabaWefv3ySLgznfgDOf daryqr1ngBPrginfgDObYtUvgaiqaacqWFlecsaiaawkWaaaaa@3C6F@   MathType@MTEF@5@5@+= feaahGart1ev3aqatCvAUfeBSjuyZL2yd9gzLbvyNv2CaerbuLwBLn hiov2DGi1BTfMBaeXatLxBI9gBaerbd9wDYLwzYbItLDharqqtubsr 4rNCHbGeaGqiVu0Je9sqqrpepC0xbbL8F4rqqrFfpeea0xe9Lq=Jc9 vqaqpepm0xbba9pwe9Q8fs0=yqaqpepae9pg0FirpepeKkFr0xfr=x fr=xb9adbaqaaeGaciGaaiaabeqaamaabaabaaGcbaacbaqcLbwaqa aaaaaaaaWdbiaa=nbiaaa@37A4@  оператор, заданный вейлевским представлением (17), которое в свою очередь определяется как собственное число вейлевского представления исходного волнового оператора D αβ MathType@MTEF@5@5@+= feaahGart1ev3aqatCvAUfeBSjuyZL2yd9gzLbvyNv2Caerbov2D09 MBdbqedmvETj2BSbqeeuuDJXwAKbsr4rNCHbGeaGqik8fkY=xipgYl h9vqqj=hEeeu0xXdi9arFj0xirFj0dXdbba91qpK0=yr0RYxfr=Jbb f9q8aq0=yq=He9q8qqQ8frFve9Fve9Ff0dmeaabaqaciaacaGaaeqa baqabeGadaaakeaaqaaaaaaaaaWdbiaadseapaWaaSbaaSqaa8qacq aHXoqycqaHYoGya8aabeaaaaa@358E@ . Оператор H ^ MathType@MTEF@5@5@+= feaahGart1ev3aqatCvAUfeBSjuyZL2yd9gzLbvyNv2Caerbov2D09 MBdbqedmvETj2BSbqeeuuDJXwAKbsr4rNCHbGeaGqik8fkY=xipgYl h9vqqj=hEeeu0xXdi9arFj0xirFj0dXdbba91qpK0=yr0RYxfr=Jbb f9q8aq0=yq=He9q8qqQ8frFve9Fve9Ff0dmeaabaqaciaacaGaaeqa baqabeGadaaakeaaqaaaaaaaaaWdbmaaHaaabaWefv3ySLgznfgDOf daryqr1ngBPrginfgDObYtUvgaiqaacqWFlecsaiaawkWaaaaa@3C6F@  будем называть оператором Гамильтона уравнения на скалярную амплитуду. Это определение несколько условно, поскольку наш оператор не обязательно эрмитов. Как обычно, эрмитова часть оператора H ^ MathType@MTEF@5@5@+= feaahGart1ev3aqatCvAUfeBSjuyZL2yd9gzLbvyNv2Caerbov2D09 MBdbqedmvETj2BSbqeeuuDJXwAKbsr4rNCHbGeaGqik8fkY=xipgYl h9vqqj=hEeeu0xXdi9arFj0xirFj0dXdbba91qpK0=yr0RYxfr=Jbb f9q8aq0=yq=He9q8qqQ8frFve9Fve9Ff0dmeaabaqaciaacaGaaeqa baqabeGadaaakeaaqaaaaaaaaaWdbmaaHaaabaWefv3ySLgznfgDOf daryqr1ngBPrginfgDObYtUvgaiqaacqWFlecsaiaawkWaaaaa@3C6F@  отвечает заобратимыйдиэлектрический отклик и, как мы увидим ниже, порождает гамильнонову динамику в консервативной среде, а антиэрмитова часть отвечает за необратимые процессы MathType@MTEF@5@5@+= feaahGart1ev3aqatCvAUfeBSjuyZL2yd9gzLbvyNv2CaerbuLwBLn hiov2DGi1BTfMBaeXatLxBI9gBaerbd9wDYLwzYbItLDharqqtubsr 4rNCHbGeaGqiVu0Je9sqqrpepC0xbbL8F4rqqrFfpeea0xe9Lq=Jc9 vqaqpepm0xbba9pwe9Q8fs0=yqaqpepae9pg0FirpepeKkFr0xfr=x fr=xb9adbaqaaeGaciGaaiaabeqaamaabaabaaGcbaacbaqcLbwaqa aaaaaaaaWdbiaa=nbiaaa@37A4@  диссипацию электромагнитного поля или его усиление в неравновесной среде.

Представление поля в плавнонеоднородной среде в виде невзаимодействующих мод вида (19) с фиксированными поляризациями и неизвестными скалярными амплитудами, определяемые уравнением (22), соответствует идеям аберрационного квазиоптического приближения, развитого в работах [15–19, 40]. Обсуждая связь нашего подхода с последовательной квазиоптической теорией, необходимо отметить два обстоятельства.

Во-первых, уравнение (22), которое в цитируемых выше работах рассматривается как исходное, вводится хотя и естественно, но в значительной степени феноменологически. Строгий вывод этого уравнения в рамках квазиоптики возможен лишь в простейших частных случаях. В неоднородных средах с пространственной дисперсией и диссипацией остается определенный произвол в определении как волнового гамильтониана H ^ MathType@MTEF@5@5@+= feaahGart1ev3aqatCvAUfeBSjuyZL2yd9gzLbvyNv2Caerbov2D09 MBdbqedmvETj2BSbqeeuuDJXwAKbsr4rNCHbGeaGqik8fkY=xipgYl h9vqqj=hEeeu0xXdi9arFj0xirFj0dXdbba91qpK0=yr0RYxfr=Jbb f9q8aq0=yq=He9q8qqQ8frFve9Fve9Ff0dmeaabaqaciaacaGaaeqa baqabeGadaaakeaaqaaaaaaaaaWdbmaaHaaabaWefv3ySLgznfgDOf daryqr1ngBPrginfgDObYtUvgaiqaacqWFlecsaiaawkWaaaaa@3C6F@ , так и скалярной амплитуды u MathType@MTEF@5@5@+= feaahGart1ev3aqatCvAUfeBSjuyZL2yd9gzLbvyNv2Caerbov2D09 MBdbqedmvETj2BSbqeeuuDJXwAKbsr4rNCHbGeaGqik8fkY=xipgYl h9vqqj=hEeeu0xXdi9arFj0xirFj0dXdbba91qpK0=yr0RYxfr=Jbb f9q8aq0=yq=He9q8qqQ8frFve9Fve9Ff0dmeaabaqaciaacaGaaeqa baqabeGadaaakeaaqaaaaaaaaaWdbiaadwhaaaa@3225@  (ее связи с вектором электрического поля) даже при условии, что все физические критерии применимости квазиоптического приближения выполнены. Как было показано выше, метод функций Вигнера открывает возможность формального определения этих величин. Подчеркнем, что связь с квазиоптикой следует прежде всего из соотношения (16) и следующего из неготочногодисперсионного соотношения H R,K =0 MathType@MTEF@5@5@+= feaahGart1ev3aqatCvAUfeBSjuyZL2yd9gzLbvyNv2Caerbov2D09 MBdbqedmvETj2BSbqeeuuDJXwAKbsr4rNCHbGeaGqik8fkY=xipgYl h9vqqj=hEeeu0xXdi9arFj0xirFj0dXdbba91qpK0=yr0RYxfr=Jbb f9q8aq0=yq=He9q8qqQ8frFve9Fve9Ff0dmeaabaqaciaacaGaaeqa baqabeGadaaakeaaqaaaaaaaaaWdbiaadIeadaqadaWdaeaapeGaaC OuaiaacYcacaWHlbaacaGLOaGaayzkaaGaeyypa0JaaGimaaaa@37BF@ . С другой стороны, вектора поляризации нормальных волн в стандартном геометрооптическом приближении определяются как собственные векторы матрицы D αβ MathType@MTEF@5@5@+= feaahGart1ev3aqatCvAUfeBSjuyZL2yd9gzLbvyNv2Caerbov2D09 MBdbqedmvETj2BSbqeeuuDJXwAKbsr4rNCHbGeaGqik8fkY=xipgYl h9vqqj=hEeeu0xXdi9arFj0xirFj0dXdbba91qpK0=yr0RYxfr=Jbb f9q8aq0=yq=He9q8qqQ8frFve9Fve9Ff0dmeaabaqaciaacaGaaeqa baqabeGadaaakeaaqaaaaaaaaaWdbiaadseapaWaaSbaaSqaa8qacq aHXoqycqaHYoGya8aabeaaaaa@358E@ , отвечающие нулевому собственному значению. Отсюда можно сделать нетривиальное и отсутствующее в цитируемых работах по квазиоптике утверждение о том, что вейлевское представление оператора e ^ MathType@MTEF@5@5@+= feaahGart1ev3aqatCvAUfeBSjuyZL2yd9gzLbvyNv2Caerbov2D09 MBdbqedmvETj2BSbqeeuuDJXwAKbsr4rNCHbGeaGqik8fkY=xipgYl h9vqqj=hEeeu0xXdi9arFj0xirFj0dXdbba91qpK0=yr0RYxfr=Jbb f9q8aq0=yq=He9q8qqQ8frFve9Fve9Ff0dmeaabaqaciaacaGaaeqa baqabeGadaaakeaaqaaaaaaaaaWdbmaaHaaabaGaaKyzaaGaayPada aaaa@32DD@ , фигурирующего в (19), на самом деле является вектором поляризации одной из нормальных волн в геометрооптическом приближении. В анизотропной или гиротропной среде без пространственной дисперсии каждому направлению K MathType@MTEF@5@5@+= feaahGart1ev3aqatCvAUfeBSjuyZL2yd9gzLbvyNv2Caerbov2D09 MBdbqedmvETj2BSbqeeuuDJXwAKbsr4rNCHbGeaGqik8fkY=xipgYl h9vqqj=hEeeu0xXdi9arFj0xirFj0dXdbba91qpK0=yr0RYxfr=Jbb f9q8aq0=yq=He9q8qqQ8frFve9Fve9Ff0dmeaabaqaciaacaGaaeqa baqabeGadaaakeaaqaaaaaaaaaWdbiaahUeaaaa@31FF@  отвечает ровно два решения дисперсионного уравнения MathType@MTEF@5@5@+= feaahGart1ev3aqatCvAUfeBSjuyZL2yd9gzLbvyNv2CaerbuLwBLn hiov2DGi1BTfMBaeXatLxBI9gBaerbd9wDYLwzYbItLDharqqtubsr 4rNCHbGeaGqiVu0Je9sqqrpepC0xbbL8F4rqqrFfpeea0xe9Lq=Jc9 vqaqpepm0xbba9pwe9Q8fs0=yqaqpepae9pg0FirpepeKkFr0xfr=x fr=xb9adbaqaaeGaciGaaiaabeqaamaabaabaaGcbaacbaqcLbwaqa aaaaaaaaWdbiaa=nbiaaa@37A4@  обыкновенная и необыкновенная электромагнитная волна. В среде с пространственной дисперсией общее число нормальных мод определяется количеством веток дисперсионного уравнения, при этом, если исключить линейное взаимодействие, каждому отдельному корню дисперсионного уравнения H=0 MathType@MTEF@5@5@+= feaahGart1ev3aqatCvAUfeBSjuyZL2yd9gzLbvyNv2Caerbov2D09 MBdbqedmvETj2BSbqeeuuDJXwAKbsr4rNCHbGeaGqik8fkY=xipgYl h9vqqj=hEeeu0xXdi9arFj0xirFj0dXdbba91qpK0=yr0RYxfr=Jbb f9q8aq0=yq=He9q8qqQ8frFve9Fve9Ff0dmeaabaqaciaacaGaaeqa baqabeGadaaakeaaqaaaaaaaaaWdbiaadIeacqGH9aqpcaaIWaaaaa@33B8@  отвечает отдельный вектор поляризации (отдельная мода).

Второе обстоятельство связано с различным подходом к решению уравнения (22). Квазиоптический подход основан на разложении решения в окрестности некоторого опорного луча, вдоль которого происходит быстрая вариация фазы волнового поля. При этом вместо (22) рассматриваетсяукороченноеэволюционное уравнение для медленной огибающей поля вдоль луча

  H ^ u ¯   e i k τ dτ =0     u ¯ τ i H ^ QO u ¯ . MathType@MTEF@5@5@+= feaahGart1ev3aqatCvAUfeBSjuyZL2yd9gzLbvyNv2Caerbov2D09 MBdbqedmvETj2BSbqeeuuDJXwAKbsr4rNCHbGeaGqik8fkY=xipgYl h9vqqj=hEeeu0xXdi9arFj0xirFj0dXdbba91qpK0=yr0RYxfr=Jbb f9q8aq0=yq=He9q8qqQ8frFve9Fve9Ff0dmeaabaqaciaacaGaaeqa baqabeGadaaakeaaqaaaaaaaaaWdbmaaHaaabaWefv3ySLgznfgDOf daryqr1ngBPrginfgDObYtUvgaiqaacqWFlecsaiaawkWaamaadmaa paqaa8qaceWG1bWdayaaraWdbiaaKdkacaqGLbWdamaaCaaaleqaba WdbiabgUIiYlaaK3aicaWGPbGaam4Aa8aadaWgaaadbaWdbiabes8a 0bWdaeqaaSWdbiaadsgacqaHepaDaaGcdaqcJaWdaeaapeGaeyypa0 JaaGimaiaaKdkacaa5GcGaeyO0H4TaaqoOaiaaKdkadaWcaaWdaeaa peGaeyOaIyRabmyDa8aagaqeaaqaa8qacqGHciITcqaHepaDaaGaey isISRaamyAamaaHaaabaGae83cHGeacaGLcmaapaWaaSbaaSqaa8qa caqGrbGaae4taaWdaeqaaaGcpeGaayzxaiaawUfaaiqadwhapaGbae baa8qacaGLBbGaayzxaaGaaiOlaaaa@66CE@   (23)

При этом возникают естественные ограничения на максимальную кривизну опорного луча, которые могут ограничить применение метода, например, при расчете распространения квазистатических сильнозамедленных мод в теплой плазме. Кроме того, в процессе укорочения волнового гамильтониана возникают дополнительные формальные сложности с определением антиэрмитовой части H ^ QO MathType@MTEF@5@5@+= feaahGart1ev3aqatCvAUfeBSjuyZL2yd9gzLbvyNv2Caerbov2D09 MBdbqedmvETj2BSbqeeuuDJXwAKbsr4rNCHbGeaGqik8fkY=xipgYl h9vqqj=hEeeu0xXdi9arFj0xirFj0dXdbba91qpK0=yr0RYxfr=Jbb f9q8aq0=yq=He9q8qqQ8frFve9Fve9Ff0dmeaabaqaciaacaGaaeqa baqabeGadaaakeaaqaaaaaaaaaWdbmaaHaaabaWefv3ySLgznfgDOf daryqr1ngBPrginfgDObYtUvgaiqaacqWFlecsaiaawkWaa8aadaWg aaWcbaWdbiaabgfacaqGpbaapaqabaaaaa@3E6F@ , ответственной за резонансную диссипацию, которые приходится преодолевать феноменологическими приемами [17–19]. Как будет показано ниже, асимптотическая теория, основанная на кинетическом уравнении для функции Вигнера, позволят обойти эти трудности, при этом опираясь только на лучевую оптику и уравнение переноса интенсивности вдоль луча. Однако за это приходится “расплачиваться” тем, что этот метод дает информацию только о квадратичных по электрическому полю усредненных величинах.

6. Первый порядок. Кинетический лучевой подход

Мы пришли к квазиоптическому уравнению для скалярной амплитуды, опираясь на нулевое приближение в строгом кинетическом уравнении для тензора Вигнера. Следующее приближение мы будем строить так, чтобы сохранить квазиоптическое представление поля, которое уже показало свою применимость для широкого круга задач. С физической точки зрения это означает, что мы по прежнему пренебрегаем линейным взаимодействием мод, а также рассеянием во встречную волну для заданной моды e MathType@MTEF@5@5@+= feaahGart1ev3aqatCvAUfeBSjuyZL2yd9gzLbvyNv2Caerbov2D09 MBdbqedmvETj2BSbqeeuuDJXwAKbsr4rNCHbGeaGqik8fkY=xipgYl h9vqqj=hEeeu0xXdi9arFj0xirFj0dXdbba91qpK0=yr0RYxfr=Jbb f9q8aq0=yq=He9q8qqQ8frFve9Fve9Ff0dmeaabaqaciaacaGaaeqa baqabeGadaaakeaaqaaaaaaaaaWdbiaahwgaaaa@3219@ . C формально-математической точки зрения это означает, что мы “навязываем” диагональную форму для тензора Вигнера (18). То есть мы будем учитывать только поправки к диагональным членам, возникающие при разложении матричного кинетического уравнения (13) по малому параметру λ/L MathType@MTEF@5@5@+= feaahGart1ev3aqatCvAUfeBSjuyZL2yd9gzLbvyNv2Caerbov2D09 MBdbqedmvETj2BSbqeeuuDJXwAKbsr4rNCHbGeaGqik8fkY=xipgYl h9vqqj=hEeeu0xXdi9arFj0xirFj0dXdbba91qpK0=yr0RYxfr=Jbb f9q8aq0=yq=He9q8qqQ8frFve9Fve9Ff0dmeaabaqaciaacaGaaeqa baqabeGadaaakeaaqaaaaaaaaaWdbiabeU7aSjaac+cacaWGmbaaaa@3463@ , при этом потребуется последовательно избавляться не только от старших порядков, но и от всех членов, приводящих к возникновению внедиагональных компонент W ij 0 MathType@MTEF@5@5@+= feaahGart1ev3aqatCvAUfeBSjuyZL2yd9gzLbvyNv2Caerbov2D09 MBdbqedmvETj2BSbqeeuuDJXwAKbsr4rNCHbGeaGqik8fkY=xipgYl h9vqqj=hEeeu0xXdi9arFj0xirFj0dXdbba91qpK0=yr0RYxfr=Jbb f9q8aq0=yq=He9q8qqQ8frFve9Fve9Ff0dmeaabaqaciaacaGaaeqa baqabeGadaaakeaaqaaaaaaaaaWdbiaadEfapaWaa0baaSqaa8qaca WGPbGaamOAaaWdaeaapeGaaGimaaaaaaa@3509@  и связи разных диагональных элементов W ii MathType@MTEF@5@5@+= feaahGart1ev3aqatCvAUfeBSjuyZL2yd9gzLbvyNv2Caerbov2D09 MBdbqedmvETj2BSbqeeuuDJXwAKbsr4rNCHbGeaGqik8fkY=xipgYl h9vqqj=hEeeu0xXdi9arFj0xirFj0dXdbba91qpK0=yr0RYxfr=Jbb f9q8aq0=yq=He9q8qqQ8frFve9Fve9Ff0dmeaabaqaciaacaGaaeqa baqabeGadaaakeaaqaaaaaaaaaWdbiaadEfapaWaaSbaaSqaa8qaca WGPbGaamyAaaWdaeqaaaaa@343D@ .

Для этого будем сразу искать решение уравнений (13) в виде (18). Получим скалярное кинетическое уравнение (21), которое будем рассматривать как исходное уравнение для построения асимптотической теории для скалярной функции Вигнера W MathType@MTEF@5@5@+= feaahGart1ev3aqatCvAUfeBSjuyZL2yd9gzLbvyNv2Caerbov2D09 MBdbqedmvETj2BSbqeeuuDJXwAKbsr4rNCHbGeaGqik8fkY=xipgYl h9vqqj=hEeeu0xXdi9arFj0xirFj0dXdbba91qpK0=yr0RYxfr=Jbb f9q8aq0=yq=He9q8qqQ8frFve9Fve9Ff0dmeaabaqaciaacaGaaeqa baqabeGadaaakeaaqaaaaaaaaaWdbiaadEfaaaa@3207@ .

Разложим операторную экспоненту в (21) в ряд Тейлора до первого порядка по λ/L MathType@MTEF@5@5@+= feaahGart1ev3aqatCvAUfeBSjuyZL2yd9gzLbvyNv2Caerbov2D09 MBdbqedmvETj2BSbqeeuuDJXwAKbsr4rNCHbGeaGqik8fkY=xipgYl h9vqqj=hEeeu0xXdi9arFj0xirFj0dXdbba91qpK0=yr0RYxfr=Jbb f9q8aq0=yq=He9q8qqQ8frFve9Fve9Ff0dmeaabaqaciaacaGaaeqa baqabeGadaaakeaaqaaaaaaaaaWdbiabeU7aSjaac+cacaWGmbaaaa@3463@ . Кроме того, дополнительно мы будем считать среду слабодиссипативной, т.е. полагать малой мнимую часть представления Вейля для оператора Гамильтона (17)

   H < ˜ λ/L   H . MathType@MTEF@5@5@+= feaahGart1ev3aaatCvAUfeBSjuyZL2yd9gzLbvyNv2Caerbov2D09 MBdbqedmvETj2BSbqeeuuDJXwAKbsr4rNCHbGeaGqik8fkY=xipgYl h9vqqj=hEeeu0xXdi9arFj0xirFj0dXdbba91qpK0=yr0RYxfr=Jbb f9q8aq0=yq=He9q8qqQ8frFve9Fve9Ff0dmeaabaqaciaacaGaaeqa baqabeGadaaakeaaqaaaaaaaaaWdbmaaemaapaqaa8qaceWGibGbay aaaiaawEa7caGLiWoacuGH8aapgaGhamaabmaapaqaa8qadaWcgaqa aiabeU7aSbqaaiaadYeaaaaacaGLOaGaayzkaaGaaqoOamaaemaapa qaa8qaceWGibGbauaaaiaawEa7caGLiWoacaGGUaaaaa@4103@                          (24)

В результате получим комплексное уравнение на действительную функцию W MathType@MTEF@5@5@+= feaahGart1ev3aqatCvAUfeBSjuyZL2yd9gzLbvyNv2Caerbov2D09 MBdbqedmvETj2BSbqeeuuDJXwAKbsr4rNCHbGeaGqik8fkY=xipgYl h9vqqj=hEeeu0xXdi9arFj0xirFj0dXdbba91qpK0=yr0RYxfr=Jbb f9q8aq0=yq=He9q8qqQ8frFve9Fve9Ff0dmeaabaqaciaacaGaaeqa baqabeGadaaakeaaqaaaaaaaaaWdbiaadEfaaaa@3207@ , которое может быть разделено на действительную и мнимую части, после чего приходим к следующим двум уравнениям:

  H W=0, MathType@MTEF@5@5@+= feaahGart1ev3aqatCvAUfeBSjuyZL2yd9gzLbvyNv2Caerbov2D09 MBdbqedmvETj2BSbqeeuuDJXwAKbsr4rNCHbGeaGqik8fkY=xipgYl h9vqqj=hEeeu0xXdi9arFj0xirFj0dXdbba91qpK0=yr0RYxfr=Jbb f9q8aq0=yq=He9q8qqQ8frFve9Fve9Ff0dmeaabaqaciaacaGaaeqa baqabeGadaaakeaaqaaaaaaaaaWdbiqadIeagaqbaiaadEfacqGH9a qpcaaIWaGaaiilaaaa@3550@                          (25)

  H K W R H R W K =2 H W. MathType@MTEF@5@5@+= feaahGart1ev3aaatCvAUfeBSjuyZL2yd9gzLbvyNv2Caerbov2D09 MBdbqedmvETj2BSbqeeuuDJXwAKbsr4rNCHbGeaGqik8fkY=xipgYl h9vqqj=hEeeu0xXdi9arFj0xirFj0dXdbba91qpK0=yr0RYxfr=Jbb f9q8aq0=yq=He9q8qqQ8frFve9Fve9Ff0dmeaabaqaciaacaGaaeqa baqabeGadaaakeaaqaaaaaaaaaWdbmaalaaapaqaa8qacqGHciITce WGibGbauaaa8aabaWdbiabgkGi2kaahUeaaaWaaSaaa8aabaWdbiab gkGi2kaadEfaa8aabaWdbiabgkGi2kaahkfaaaGaeyOeI0YaaSaaa8 aabaWdbiabgkGi2kaadIeaa8aabaWdbiabgkGi2kaahkfaaaWaaSaa a8aabaWdbiabgkGi2kaadEfaa8aabaWdbiabgkGi2kaahUeaaaGaey ypa0JaaGOmaiqadIeagaGbaiaadEfacaGGUaaaaa@4965@  (26)

Первое уравнения соответствует приближению нулевого порядка, в котором отброшены диссипативные члены. Его решение аналогично (20):

  W= W ˜ R,K  δ H R,K , MathType@MTEF@5@5@+= feaahGart1ev3aqatCvAUfeBSjuyZL2yd9gzLbvyNv2Caerbov2D09 MBdbqedmvETj2BSbqeeuuDJXwAKbsr4rNCHbGeaGqik8fkY=xipgYl h9vqqj=hEeeu0xXdi9arFj0xirFj0dXdbba91qpK0=yr0RYxfr=Jbb f9q8aq0=yq=He9q8qqQ8frFve9Fve9Ff0dmeaabaqaciaacaGaaeqa baqabeGadaaakeaaqaaaaaaaaaWdbiaadEfacqGH9aqpceWGxbWday aaiaWdbmaabmaapaqaa8qacaWHsbGaaiilaiaahUeaaiaawIcacaGL Paaacaa5GcGaeqiTdq2aaeWaa8aabaWdbiqadIeagaqbamaabmaapa qaa8qacaWHsbGaaiilaiaahUeaaiaawIcacaGLPaaaaiaawIcacaGL PaaacaGGSaaaaa@4281@        (27)

где W ˜ R,K MathType@MTEF@5@5@+= feaahGart1ev3aqatCvAUfeBSjuyZL2yd9gzLbvyNv2Caerbov2D09 MBdbqedmvETj2BSbqeeuuDJXwAKbsr4rNCHbGeaGqik8fkY=xipgYl h9vqqj=hEeeu0xXdi9arFj0xirFj0dXdbba91qpK0=yr0RYxfr=Jbb f9q8aq0=yq=He9q8qqQ8frFve9Fve9Ff0dmeaabaqaciaacaGaaeqa baqabeGadaaakeaaqaaaaaaaaaWdbiqadEfapaGbaGaapeWaaeWaa8 aabaWdbiaahkfacaGGSaGaaC4saaGaayjkaiaawMcaaaaa@363C@   MathType@MTEF@5@5@+= feaahGart1ev3aqatCvAUfeBSjuyZL2yd9gzLbvyNv2CaerbuLwBLn hiov2DGi1BTfMBaeXatLxBI9gBaerbd9wDYLwzYbItLDharqqtubsr 4rNCHbGeaGqiVu0Je9sqqrpepC0xbbL8F4rqqrFfpeea0xe9Lq=Jc9 vqaqpepm0xbba9pwe9Q8fs0=yqaqpepae9pg0FirpepeKkFr0xfr=x fr=xb9adbaqaaeGaciGaaiaabeqaamaabaabaaGcbaacbaqcLbwaqa aaaaaaaaWdbiaa=nbiaaa@37A4@  произвольная действительная функция, которая должна уточняться из второго уравнения, а выполняющееся на решениях (25) условие

   H R,K =0 MathType@MTEF@5@5@+= feaahGart1ev3aqatCvAUfeBSjuyZL2yd9gzLbvyNv2Caerbov2D09 MBdbqedmvETj2BSbqeeuuDJXwAKbsr4rNCHbGeaGqik8fkY=xipgYl h9vqqj=hEeeu0xXdi9arFj0xirFj0dXdbba91qpK0=yr0RYxfr=Jbb f9q8aq0=yq=He9q8qqQ8frFve9Fve9Ff0dmeaabaqaciaacaGaaeqa baqabeGadaaakeaaqaaaaaaaaaWdbiqadIeagaqbamaabmaapaqaa8 qacaWHsbGaaiilaiaahUeaaiaawIcacaGLPaaacqGH9aqpcaaIWaaa aa@37CB@    (28)

воспроизводит геометрооптическое дисперсионное соотношение в слабодиссипативной среде.

Уравнение Больцмана (26) решается методом характеристик. Рассмотрим функции R(t) и K() R τ MathType@MTEF@5@5@+= feaahGart1ev3aqatCvAUfeBSjuyZL2yd9gzLbvyNv2Caerbov2D09 MBdbqedmvETj2BSbqeeuuDJXwAKbsr4rNCHbGeaGqik8fkY=xipgYl h9vqqj=hEeeu0xXdi9arFj0xirFj0dXdbba91qpK0=yr0RYxfr=Jbb f9q8aq0=yq=He9q8qqQ8frFve9Fve9Ff0dmeaabaqaciaacaGaaeqa baqabeGadaaakeaaqaaaaaaaaaWdbiaahkfadaqadaWdaeaapeGaeq iXdqhacaGLOaGaayzkaaaaaa@3573@  и K τ MathType@MTEF@5@5@+= feaahGart1ev3aqatCvAUfeBSjuyZL2yd9gzLbvyNv2Caerbov2D09 MBdbqedmvETj2BSbqeeuuDJXwAKbsr4rNCHbGeaGqik8fkY=xipgYl h9vqqj=hEeeu0xXdi9arFj0xirFj0dXdbba91qpK0=yr0RYxfr=Jbb f9q8aq0=yq=He9q8qqQ8frFve9Fve9Ff0dmeaabaqaciaacaGaaeqa baqabeGadaaakeaaqaaaaaaaaaWdbiaahUeadaqadaWdaeaapeGaeq iXdqhacaGLOaGaayzkaaaaaa@356C@ , удовлетворяющие уравнениям Гамильтона

  dR dτ = H K ,     dK dτ = H R . MathType@MTEF@5@5@+= feaahGart1ev3aaatCvAUfeBSjuyZL2yd9gzLbvyNv2Caerbov2D09 MBdbqedmvETj2BSbqeeuuDJXwAKbsr4rNCHbGeaGqik8fkY=xipgYl h9vqqj=hEeeu0xXdi9arFj0xirFj0dXdbba91qpK0=yr0RYxfr=Jbb f9q8aq0=yq=He9q8qqQ8frFve9Fve9Ff0dmeaabaqaciaacaGaaeqa baqabeGadaaakeaaqaaaaaaaaaWdbmaalaaapaqaa8qacaWGKbGaaC OuaaWdaeaapeGaamizaiabes8a0baacqGH9aqpdaWcaaWdaeaapeGa eyOaIyRabmisayaafaaapaqaa8qacqGHciITcaWHlbaaaiaacYcaca a5GcGaaqoOaiaaKdkacaa5GcWaaSaaa8aabaWdbiaadsgacaWHlbaa paqaa8qacaWGKbGaeqiXdqhaaiabg2da9iabgkHiTmaalaaapaqaa8 qacqGHciITceWGibGbauaaa8aabaWdbiabgkGi2kaahkfaaaGaaiOl aaaa@4EAB@           (29)

Волновой вектор K здесь играет роль канонического импульса, сопряженного координате R. Для величины

W τ = W R,K  δ RR τ  δ KK τ  dRdK MathType@MTEF@5@5@+= feaahGart1ev3aqatCvAUfeBSjuyZL2yd9gzLbvyNv2Caerbov2D09 MBdbqedmvETj2BSbqeeuuDJXwAKbsr4rNCHbGeaGqik8fkY=xipgYl h9vqqj=hEeeu0xXdi9arFj0xirFj0dXdbba91qpK0=yr0RYxfr=Jbb f9q8aq0=yq=He9q8qqQ8frFve9Fve9Ff0dmeaabaqaciaacaGaaeqa baqabeGadaaakeaaqaaaaaaaaaWdbiaadEfadaqadaWdaeaapeGaeq iXdqhacaGLOaGaayzkaaGaeyypa0Zaa8qaaeaacaWGxbWaaeWaa8aa baWdbiaahkfacaGGSaGaaC4saaGaayjkaiaawMcaaiaaKdkacqaH0o azdaqadaWdaeaapeGaaCOuaiabgkHiTiaahkfadaqadaWdaeaapeGa eqiXdqhacaGLOaGaayzkaaaacaGLOaGaayzkaaGaaqoOaiabes7aKn aabmaapaqaa8qacaWHlbGaeyOeI0IaaC4samaabmaapaqaa8qacqaH epaDaiaawIcacaGLPaaaaiaawIcacaGLPaaacaa5GcGaamizaiaahk facaWGKbGaaC4saaWcbeqab0Gaey4kIipaaaa@5817@

получаем уравнение

   dW dτ =2 H W. MathType@MTEF@5@5@+= feaahGart1ev3aqatCvAUfeBSjuyZL2yd9gzLbvyNv2Caerbov2D09 MBdbqedmvETj2BSbqeeuuDJXwAKbsr4rNCHbGeaGqik8fkY=xipgYl h9vqqj=hEeeu0xXdi9arFj0xirFj0dXdbba91qpK0=yr0RYxfr=Jbb f9q8aq0=yq=He9q8qqQ8frFve9Fve9Ff0dmeaabaqaciaacaGaaeqa baqabeGadaaakeaaqaaaaaaaaaWdbmaalaaapaqaa8qacaWGKbGaam 4vaaWdaeaapeGaamizaiabes8a0baacqGH9aqpcaaIYaGabmisayaa gaGaam4vaiaac6caaaa@3A16@                               (30)

Его решение вдоль характеристики имеет вид

W τ = W 0 exp 0 τ 2 H τ  d τ . MathType@MTEF@5@5@+= feaahGart1ev3aqatCvAUfeBSjuyZL2yd9gzLbvyNv2Caerbov2D09 MBdbqedmvETj2BSbqeeuuDJXwAKbsr4rNCHbGeaGqik8fkY=xipgYl h9vqqj=hEeeu0xXdi9arFj0xirFj0dXdbba91qpK0=yr0RYxfr=Jbb f9q8aq0=yq=He9q8qqQ8frFve9Fve9Ff0dmeaabaqaciaacaGaaeqa baqabeGadaaakeaaqaaaaaaaaaWdbiaadEfadaqadaWdaeaapeGaeq iXdqhacaGLOaGaayzkaaGaeyypa0Jaam4va8aadaWgaaWcbaWdbiaa icdaa8aabeaak8qacaqGLbGaaeiEaiaabchadaqadaWdaeaapeWaau bmaeqal8aabaWdbiaaicdaa8aabaWdbiabes8a0bqdpaqaa8qacqGH RiI8aaGccaa5naIaaGOmaiqadIeagaGbamaabmaapaqaa8qacuaHep aDgaqbaaGaayjkaiaawMcaaiaaKdkacaWGKbGafqiXdqNbauaaaiaa wIcacaGLPaaacaGGUaaaaa@4D2C@          (31)

W 0 MathType@MTEF@5@5@+= feaahGart1ev3aqatCvAUfeBSjuyZL2yd9gzLbvyNv2Caerbov2D09 MBdbqedmvETj2BSbqeeuuDJXwAKbsr4rNCHbGeaGqik8fkY=xipgYl h9vqqj=hEeeu0xXdi9arFj0xirFj0dXdbba91qpK0=yr0RYxfr=Jbb f9q8aq0=yq=He9q8qqQ8frFve9Fve9Ff0dmeaabaqaciaacaGaaeqa baqabeGadaaakeaaqaaaaaaaaaWdbiaadEfapaWaaSbaaSqaa8qaca aIWaaapaqabaaaaa@331B@  определяется начальными условиями при τ=0 MathType@MTEF@5@5@+= feaahGart1ev3aqatCvAUfeBSjuyZL2yd9gzLbvyNv2Caerbov2D09 MBdbqedmvETj2BSbqeeuuDJXwAKbsr4rNCHbGeaGqik8fkY=xipgYl h9vqqj=hEeeu0xXdi9arFj0xirFj0dXdbba91qpK0=yr0RYxfr=Jbb f9q8aq0=yq=He9q8qqQ8frFve9Fve9Ff0dmeaabaqaciaacaGaaeqa baqabeGadaaakeaaqaaaaaaaaaWdbiabes8a0jabg2da9iaaicdaaa a@34B0@ , которые задаются на некоторой поверхности Г0 в шестимерном фазовом пространстве. Области с H <0 MathType@MTEF@5@5@+= feaahGart1ev3aqatCvAUfeBSjuyZL2yd9gzLbvyNv2Caerbov2D09 MBdbqedmvETj2BSbqeeuuDJXwAKbsr4rNCHbGeaGqik8fkY=xipgYl h9vqqj=hEeeu0xXdi9arFj0xirFj0dXdbba91qpK0=yr0RYxfr=Jbb f9q8aq0=yq=He9q8qqQ8frFve9Fve9Ff0dmeaabaqaciaacaGaaeqa baqabeGadaaakeaaqaaaaaaaaaWdbiqadIeagaGbaiabgYda8iaaic daaaa@33C3@  отвечают за диссипацию поля, области с H >0 MathType@MTEF@5@5@+= feaahGart1ev3aqatCvAUfeBSjuyZL2yd9gzLbvyNv2Caerbov2D09 MBdbqedmvETj2BSbqeeuuDJXwAKbsr4rNCHbGeaGqik8fkY=xipgYl h9vqqj=hEeeu0xXdi9arFj0xirFj0dXdbba91qpK0=yr0RYxfr=Jbb f9q8aq0=yq=He9q8qqQ8frFve9Fve9Ff0dmeaabaqaciaacaGaaeqa baqabeGadaaakeaaqaaaaaaaaaWdbiqadIeagaGbaiabg6da+iaaic daaaa@33C7@  отвечают за усиление в неравновесных средах.

Чтобы восстановить значение W R,K =W τ * MathType@MTEF@5@5@+= feaahGart1ev3aqatCvAUfeBSjuyZL2yd9gzLbvyNv2Caerbov2D09 MBdbqedmvETj2BSbqeeuuDJXwAKbsr4rNCHbGeaGqik8fkY=xipgYl h9vqqj=hEeeu0xXdi9arFj0xirFj0dXdbba91qpK0=yr0RYxfr=Jbb f9q8aq0=yq=He9q8qqQ8frFve9Fve9Ff0dmeaabaqaciaacaGaaeqa baqabeGadaaakeaaqaaaaaaaaaWdbiaadEfadaqadaWdaeaapeGaaC OuaiaacYcacaWHlbaacaGLOaGaayzkaaGaeyypa0Jaam4vamaabmaa paqaa8qacqaHepaDpaWaaWbaaSqabeaapeGaaeOkaaaaaOGaayjkai aawMcaaaaa@3C60@  в некоторой заданной точке фазового пространства, достаточно посчитатьлучевое расстояние τ * R,K MathType@MTEF@5@5@+= feaahGart1ev3aqatCvAUfeBSjuyZL2yd9gzLbvyNv2Caerbov2D09 MBdbqedmvETj2BSbqeeuuDJXwAKbsr4rNCHbGeaGqik8fkY=xipgYl h9vqqj=hEeeu0xXdi9arFj0xirFj0dXdbba91qpK0=yr0RYxfr=Jbb f9q8aq0=yq=He9q8qqQ8frFve9Fve9Ff0dmeaabaqaciaacaGaaeqa baqabeGadaaakeaaqaaaaaaaaaWdbiabes8a09aadaahaaWcbeqaa8 qacaqGQaaaaOWaaeWaa8aabaWdbiaahkfacaGGSaGaaC4saaGaayjk aiaawMcaaaaa@37FA@  от этой точки до поверхности Г0. Для этого нужно просчитать решения уравнений (29) с начальными условиями R,K MathType@MTEF@5@5@+= feaahGart1ev3aqatCvAUfeBSjuyZL2yd9gzLbvyNv2Caerbov2D09 MBdbqedmvETj2BSbqeeuuDJXwAKbsr4rNCHbGeaGqik8fkY=xipgYl h9vqqj=hEeeu0xXdi9arFj0xirFj0dXdbba91qpK0=yr0RYxfr=Jbb f9q8aq0=yq=He9q8qqQ8frFve9Fve9Ff0dmeaabaqaciaacaGaaeqa baqabeGadaaakeaaqaaaaaaaaaWdbmaabmaapaqaa8qacaWHsbGaai ilaiaahUeaaiaawIcacaGLPaaaaaa@3532@  в обратном направлении вплоть до момента, когда характеристика достигнет Г0 , т.е. надо найти решение R τ ,K τ MathType@MTEF@5@5@+= feaahGart1ev3aqatCvAUfeBSjuyZL2yd9gzLbvyNv2Caerbov2D09 MBdbqedmvETj2BSbqeeuuDJXwAKbsr4rNCHbGeaGqik8fkY=xipgYl h9vqqj=hEeeu0xXdi9arFj0xirFj0dXdbba91qpK0=yr0RYxfr=Jbb f9q8aq0=yq=He9q8qqQ8frFve9Fve9Ff0dmeaabaqaciaacaGaaeqa baqabeGadaaakeaaqaaaaaaaaaWdbiaahkfadaqadaWdaeaapeGaeq iXdqhacaGLOaGaayzkaaGaaiilaiaahUeadaqadaWdaeaapeGaeqiX dqhacaGLOaGaayzkaaaaaa@3A64@  такое, что

  R 0 =R,    K 0 =K,     R τ * ,K τ * MathType@MTEF@5@5@+= feaahGart1ev3aqatCvAUfeBSjuyZL2yd9gzLbvyNv2Caerbov2D09 MBdbqedmvETj2BSbqeeuuDJXwAKbsr4rNCHbGeaGqik8fkY=xipgYl h9vqqj=hEeeu0xXdi9arFj0xirFj0dXdbba91qpK0=yr0RYxfr=Jbb f9q8aq0=yq=He9q8qqQ8frFve9Fve9Ff0dmeaabaqaciaacaGaaeqa baqabeGadaaakeaaqaaaaaaaaaWdbiaahkfadaqadaWdaeaapeGaaG imaaGaayjkaiaawMcaaiabg2da9iaahkfacaGGSaGaaqoOaiaaKdka caa5GcGaaqoOaiaahUeadaqadaWdaeaapeGaaGimaaGaayjkaiaawM caaiabg2da9iaahUeacaGGSaGaaqoOaiaaKdkacaa5GcGaaqoOamaa bmaapaqaa8qacaWHsbWaaeWaa8aabaWdbiabgkHiTiabes8a09aada ahaaWcbeqaa8qacaqGQaaaaaGccaGLOaGaayzkaaGaaiilaiaahUea daqadaWdaeaapeGaeyOeI0IaeqiXdq3damaaCaaaleqabaWdbiaabQ caaaaakiaawIcacaGLPaaaaiaawIcacaGLPaaacqGHiiIZaaa@592E@  Г0.

Заметим, что в практических расчетах обычно требуется вычислить сразу все поле W R,K MathType@MTEF@5@5@+= feaahGart1ev3aqatCvAUfeBSjuyZL2yd9gzLbvyNv2Caerbov2D09 MBdbqedmvETj2BSbqeeuuDJXwAKbsr4rNCHbGeaGqik8fkY=xipgYl h9vqqj=hEeeu0xXdi9arFj0xirFj0dXdbba91qpK0=yr0RYxfr=Jbb f9q8aq0=yq=He9q8qqQ8frFve9Fve9Ff0dmeaabaqaciaacaGaaeqa baqabeGadaaakeaaqaaaaaaaaaWdbiaadEfadaqadaWdaeaapeGaaC OuaiaacYcacaWHlbaacaGLOaGaayzkaaaaaa@360E@  или его интегральные характеристики, поэтому обратная трассировка лучей не эффективна. Вместо этого можно выпустить набор лучей с поверхности начальных условий Г0 и некоторым образом фиксировать прохождение лучей с учетом набираемого веса W τ MathType@MTEF@5@5@+= feaahGart1ev3aqatCvAUfeBSjuyZL2yd9gzLbvyNv2Caerbov2D09 MBdbqedmvETj2BSbqeeuuDJXwAKbsr4rNCHbGeaGqik8fkY=xipgYl h9vqqj=hEeeu0xXdi9arFj0xirFj0dXdbba91qpK0=yr0RYxfr=Jbb f9q8aq0=yq=He9q8qqQ8frFve9Fve9Ff0dmeaabaqaciaacaGaaeqa baqabeGadaaakeaaqaaaaaaaaaWdbiaadEfadaqadaWdaeaapeGaeq iXdqhacaGLOaGaayzkaaaaaa@3574@  через разбитое на ячейки фазовое пространство.

Уравнения характеристик сохраняют гамильтониан H' MathType@MTEF@5@5@+= feaahGart1ev3aqatCvAUfeBSjuyZL2yd9gzLbvyNv2Caerbov2D09 MBdbqedmvETj2BSbqeeuuDJXwAKbsr4rNCHbGeaGqik8fkY=xipgYl h9vqqj=hEeeu0xXdi9arFj0xirFj0dXdbba91qpK0=yr0RYxfr=Jbb f9q8aq0=yq=He9q8qqQ8frFve9Fve9Ff0dmeaabaqaciaacaGaaeqa baqabeGadaaakeaaqaaaaaaaaaWdbiaadIeacaqGNaaaaa@32A2@ . Поэтому, уравнение (30) и его решение применимы как к W MathType@MTEF@5@5@+= feaahGart1ev3aqatCvAUfeBSjuyZL2yd9gzLbvyNv2Caerbov2D09 MBdbqedmvETj2BSbqeeuuDJXwAKbsr4rNCHbGeaGqik8fkY=xipgYl h9vqqj=hEeeu0xXdi9arFj0xirFj0dXdbba91qpK0=yr0RYxfr=Jbb f9q8aq0=yq=He9q8qqQ8frFve9Fve9Ff0dmeaabaqaciaacaGaaeqa baqabeGadaaakeaaqaaaaaaaaaWdbiaadEfaaaa@3207@ , так и к введенной в (27) функции W ˜ MathType@MTEF@5@5@+= feaahGart1ev3aqatCvAUfeBSjuyZL2yd9gzLbvyNv2Caerbov2D09 MBdbqedmvETj2BSbqeeuuDJXwAKbsr4rNCHbGeaGqik8fkY=xipgYl h9vqqj=hEeeu0xXdi9arFj0xirFj0dXdbba91qpK0=yr0RYxfr=Jbb f9q8aq0=yq=He9q8qqQ8frFve9Fve9Ff0dmeaabaqaciaacaGaaeqa baqabeGadaaakeaadaaiaaqaaiaadEfaaiaawoWaaaaa@32A9@  (при этом меняется смысл и размерность W 0 MathType@MTEF@5@5@+= feaahGart1ev3aqatCvAUfeBSjuyZL2yd9gzLbvyNv2Caerbov2D09 MBdbqedmvETj2BSbqeeuuDJXwAKbsr4rNCHbGeaGqik8fkY=xipgYl h9vqqj=hEeeu0xXdi9arFj0xirFj0dXdbba91qpK0=yr0RYxfr=Jbb f9q8aq0=yq=He9q8qqQ8frFve9Fve9Ff0dmeaabaqaciaacaGaaeqa baqabeGadaaakeaaqaaaaaaaaaWdbiaadEfapaWaaSbaaSqaa8qaca aIWaaapaqabaaaaa@331B@  ). Первый случай реализуется, если для начальных условий выполнено дисперсионное соотношение (28), при этом W τ MathType@MTEF@5@5@+= feaahGart1ev3aqatCvAUfeBSjuyZL2yd9gzLbvyNv2Caerbov2D09 MBdbqedmvETj2BSbqeeuuDJXwAKbsr4rNCHbGeaGqik8fkY=xipgYl h9vqqj=hEeeu0xXdi9arFj0xirFj0dXdbba91qpK0=yr0RYxfr=Jbb f9q8aq0=yq=He9q8qqQ8frFve9Fve9Ff0dmeaabaqaciaacaGaaeqa baqabeGadaaakeaaqaaaaaaaaaWdbiaadEfadaqadaWdaeaapeGaeq iXdqhacaGLOaGaayzkaaaaaa@3574@  определяет решение обоих уравнений (25), (26). Однако с технической точки зрения нам будет удобнее оставить δ H' MathType@MTEF@5@5@+= feaahGart1ev3aqatCvAUfeBSjuyZL2yd9gzLbvyNv2Caerbov2D09 MBdbqedmvETj2BSbqeeuuDJXwAKbsr4rNCHbGeaGqik8fkY=xipgYl h9vqqj=hEeeu0xXdi9arFj0xirFj0dXdbba91qpK0=yr0RYxfr=Jbb f9q8aq0=yq=He9q8qqQ8frFve9Fve9Ff0dmeaabaqaciaacaGaaeqa baqabeGadaaakeaaqaaaaaaaaaWdbiabes7aKnaabmaapaqaa8qaca WGibGaae4jaaGaayjkaiaawMcaaaaa@35EF@  в явном виде, поэтому решение системы уравнений (25), (26) представим в виде

  W R,K =W τ * R,K  δ H' R,K , MathType@MTEF@5@5@+= feaahGart1ev3aqatCvAUfeBSjuyZL2yd9gzLbvyNv2Caerbov2D09 MBdbqedmvETj2BSbqeeuuDJXwAKbsr4rNCHbGeaGqik8fkY=xipgYl h9vqqj=hEeeu0xXdi9arFj0xirFj0dXdbba91qpK0=yr0RYxfr=Jbb f9q8aq0=yq=He9q8qqQ8frFve9Fve9Ff0dmeaabaqaciaacaGaaeqa baqabeGadaaakeaaqaaaaaaaaaWdbiaadEfadaqadaWdaeaapeGaaC OuaiaacYcacaWHlbaacaGLOaGaayzkaaGaeyypa0Jaam4vamaabmaa paqaa8qacqaHepaDpaWaaWbaaSqabeaapeGaaeOkaaaakmaabmaapa qaa8qacaWHsbGaaiilaiaahUeaaiaawIcacaGLPaaaaiaawIcacaGL Paaacaa5GcGaeqiTdq2aaeWaa8aabaWdbiaadIeacaqGNaWaaeWaa8 aabaWdbiaahkfacaGGSaGaaC4saaGaayjkaiaawMcaaaGaayjkaiaa wMcaaiaacYcaaaa@4B68@      (32)

где W τ MathType@MTEF@5@5@+= feaahGart1ev3aqatCvAUfeBSjuyZL2yd9gzLbvyNv2Caerbov2D09 MBdbqedmvETj2BSbqeeuuDJXwAKbsr4rNCHbGeaGqik8fkY=xipgYl h9vqqj=hEeeu0xXdi9arFj0xirFj0dXdbba91qpK0=yr0RYxfr=Jbb f9q8aq0=yq=He9q8qqQ8frFve9Fve9Ff0dmeaabaqaciaacaGaaeqa baqabeGadaaakeaaqaaaaaaaaaWdbiaadEfadaqadaWdaeaapeGaeq iXdqhacaGLOaGaayzkaaaaaa@3574@  определяется (31). Способ задания W 0 MathType@MTEF@5@5@+= feaahGart1ev3aqatCvAUfeBSjuyZL2yd9gzLbvyNv2Caerbov2D09 MBdbqedmvETj2BSbqeeuuDJXwAKbsr4rNCHbGeaGqik8fkY=xipgYl h9vqqj=hEeeu0xXdi9arFj0xirFj0dXdbba91qpK0=yr0RYxfr=Jbb f9q8aq0=yq=He9q8qqQ8frFve9Fve9Ff0dmeaabaqaciaacaGaaeqa baqabeGadaaakeaaqaaaaaaaaaWdbiaadEfapaWaaSbaaSqaa8qaca aIWaaapaqabaaaaa@331B@  мы обсудим в разд. 8.

Покажем, что полученное решение не зависит от нормировки гамильтониана. Рассмотрим новую функцию Гамильтона H ˜ =CH MathType@MTEF@5@5@+= feaahGart1ev3aqatCvAUfeBSjuyZL2yd9gzLbvyNv2Caerbov2D09 MBdbqedmvETj2BSbqeeuuDJXwAKbsr4rNCHbGeaGqik8fkY=xipgYl h9vqqj=hEeeu0xXdi9arFj0xirFj0dXdbba91qpK0=yr0RYxfr=Jbb f9q8aq0=yq=He9q8qqQ8frFve9Fve9Ff0dmeaabaqaciaacaGaaeqa baqabeGadaaakeaaqaaaaaaaaaWdbiqadIeapaGbaGaapeGaeyypa0 Jaam4qaiaadIeaaaa@34C1@ , полученную умножением исходной на произвольную положительную функцию C R,K MathType@MTEF@5@5@+= feaahGart1ev3aqatCvAUfeBSjuyZL2yd9gzLbvyNv2Caerbov2D09 MBdbqedmvETj2BSbqeeuuDJXwAKbsr4rNCHbGeaGqik8fkY=xipgYl h9vqqj=hEeeu0xXdi9arFj0xirFj0dXdbba91qpK0=yr0RYxfr=Jbb f9q8aq0=yq=He9q8qqQ8frFve9Fve9Ff0dmeaabaqaciaacaGaaeqa baqabeGadaaakeaaqaaaaaaaaaWdbiaadoeadaqadaWdaeaapeGaaC OuaiaacYcacaWHlbaacaGLOaGaayzkaaaaaa@35FA@ . Очевидно, такое умножение не влияет на выполнение условия (28), а в уравнениях на характеристики (29) может быть скомпенсировано переопределением эволюционной координаты d τ ˜ =Cdτ MathType@MTEF@5@5@+= feaahGart1ev3aqatCvAUfeBSjuyZL2yd9gzLbvyNv2Caerbov2D09 MBdbqedmvETj2BSbqeeuuDJXwAKbsr4rNCHbGeaGqik8fkY=xipgYl h9vqqj=hEeeu0xXdi9arFj0xirFj0dXdbba91qpK0=yr0RYxfr=Jbb f9q8aq0=yq=He9q8qqQ8frFve9Fve9Ff0dmeaabaqaciaacaGaaeqa baqabeGadaaakeaaqaaaaaaaaaWdbiaadsgacuaHepaDpaGbaGaape Gaeyypa0Jaam4qaiaadsgacqaHepaDaaa@3883@ . Поэтому H ˜ d τ ˜ = H dτ MathType@MTEF@5@5@+= feaahGart1ev3aqatCvAUfeBSjuyZL2yd9gzLbvyNv2Caerbov2D09 MBdbqedmvETj2BSbqeeuuDJXwAKbsr4rNCHbGeaGqik8fkY=xipgYl h9vqqj=hEeeu0xXdi9arFj0xirFj0dXdbba91qpK0=yr0RYxfr=Jbb f9q8aq0=yq=He9q8qqQ8frFve9Fve9Ff0dmeaabaqaciaacaGaaeqa baqabeGadaaakeaaqaaaaaaaaaWdbiqadIeapaGbaGWdbyaagaGaam izaiqbes8a09aagaaca8qacqGH9aqpceWGibGbayaacaWGKbGaeqiX dqhaaa@399C@ , то есть аргумент экспоненты в (31) является инвариантом нашего преобразования, а ослабление или усиление поля вдоль луча не зависит от нормировки H MathType@MTEF@5@5@+= feaahGart1ev3aqatCvAUfeBSjuyZL2yd9gzLbvyNv2Caerbov2D09 MBdbqedmvETj2BSbqeeuuDJXwAKbsr4rNCHbGeaGqik8fkY=xipgYl h9vqqj=hEeeu0xXdi9arFj0xirFj0dXdbba91qpK0=yr0RYxfr=Jbb f9q8aq0=yq=He9q8qqQ8frFve9Fve9Ff0dmeaabaqaciaacaGaaeqa baqabeGadaaakeaaqaaaaaaaaaWdbiaadIeaaaa@31F8@ .

Уравнения (29) в совокупности с решением (32) принято называть кинетическим лучевым подходом. Отметим отличия описываемого подхода от метода уравнения эйконала в геометрической оптике [41]. Во-первых, уравнение эйконала действует в трехмерном пространстве r, а уравнения на функцию Вигнера в шестимерном пространстве R,K MathType@MTEF@5@5@+= feaahGart1ev3aqatCvAUfeBSjuyZL2yd9gzLbvyNv2Caerbov2D09 MBdbqedmvETj2BSbqeeuuDJXwAKbsr4rNCHbGeaGqik8fkY=xipgYl h9vqqj=hEeeu0xXdi9arFj0xirFj0dXdbba91qpK0=yr0RYxfr=Jbb f9q8aq0=yq=He9q8qqQ8frFve9Fve9Ff0dmeaabaqaciaacaGaaeqa baqabeGadaaakeaaqaaaaaaaaaWdbmaabmaapaqaa8qacaWHsbGaai ilaiaahUeaaiaawIcacaGLPaaaaaa@3532@ . В отличие от трехмерного пространства, в шестимерном пространстве для стационарного гамильтониана фазовые траектории не пересекаются. Поэтому в кинетическом подходе нет проблемы “схлопывания силовой трубки” и связанной с ней неоднозначности решения. В рамках метода уравнения эйконала эта проблема также может решаться переходом к другой трехмерной проекции шестимерного фазового пространства [42, 43]. Во-вторых, не возникает необходимости интегрирования фазы вдоль луча. В-третьих, уравнение переноса сводится к тривиальному, но в определенном смысле строгому виду (30) в отличие от приближения геометрической оптики, в котором уравнение переноса излучения вдоль луча либо феноменологическое, либо должно обосновываться достаточно сложными внешними способами [44].

7. Второй порядок. Диффузионное приближение

Учет следующего порядка по малому параметру λ/L MathType@MTEF@5@5@+= feaahGart1ev3aqatCvAUfeBSjuyZL2yd9gzLbvyNv2Caerbov2D09 MBdbqedmvETj2BSbqeeuuDJXwAKbsr4rNCHbGeaGqik8fkY=xipgYl h9vqqj=hEeeu0xXdi9arFj0xirFj0dXdbba91qpK0=yr0RYxfr=Jbb f9q8aq0=yq=He9q8qqQ8frFve9Fve9Ff0dmeaabaqaciaacaGaaeqa baqabeGadaaakeaaqaaaaaaaaaWdbiabeU7aSjaac+cacaWGmbaaaa@3463@  в уравнении (21) приводит к поправке диффузионного типа. Вместо уравнения (26) мы получаем

  H P W Q =2 H W+ m,n F mn 2 W Q m Q n , MathType@MTEF@5@5@+= feaahGart1ev3aaatCvAUfeBSjuyZL2yd9gzLbvyNv2Caerbov2D09 MBdbqedmvETj2BSbqeeuuDJXwAKbsr4rNCHbGeaGqik8fkY=xipgYl h9vqqj=hEeeu0xXdi9arFj0xirFj0dXdbba91qpK0=yr0RYxfr=Jbb f9q8aq0=yq=He9q8qqQ8frFve9Fve9Ff0dmeaabaqaciaacaGaaeqa baqabeGadaaakeaaqaaaaaaaaaWdbmaalaaapaqaa8qacqGHciITce WGibGbauaaa8aabaWdbiabgkGi2kaahcfaaaWaaSaaa8aabaWdbiab gkGi2kaadEfaa8aabaWdbiabgkGi2kaahgfaaaGaeyypa0JaaGOmai qadIeagaGbaiaadEfacqGHRaWkdaGfqbqabSWdaeaapeGaamyBaiaa cYcacaWGUbaabeqdpaqaa8qacqGHris5aaGccaa5naIaamOra8aada WgaaWcbaWdbiaad2gacaWGUbaapaqabaGcpeWaaSaaa8aabaWdbiab gkGi2+aadaahaaWcbeqaa8qacaaIYaaaaOGaam4vaaWdaeaapeGaey OaIyRaamyua8aadaWgaaWcbaWdbiaad2gaa8aabeaak8qacqGHciIT caWGrbWdamaaBaaaleaapeGaamOBaaWdaeqaaaaak8qacaGGSaaaaa@53F6@              (33)

F mn = 1 4 2 H P m P n . MathType@MTEF@5@5@+= feaahGart1ev3aqatCvAUfeBSjuyZL2yd9gzLbvyNv2Caerbov2D09 MBdbqedmvETj2BSbqeeuuDJXwAKbsr4rNCHbGeaGqik8fkY=xipgYl h9vqqj=hEeeu0xXdi9arFj0xirFj0dXdbba91qpK0=yr0RYxfr=Jbb f9q8aq0=yq=He9q8qqQ8frFve9Fve9Ff0dmeaabaqaciaacaGaaeqa baqabeGadaaakeaaqaaaaaaaaaWdbiaadAeapaWaaSbaaSqaa8qaca WGTbGaamOBaaWdaeqaaOWdbiabg2da9iabgkHiTmaalaaapaqaa8qa caaIXaaapaqaa8qacaaI0aaaamaalaaapaqaa8qacqGHciITpaWaaW baaSqabeaapeGaaGOmaaaakiqadIeagaGbaaWdaeaapeGaeyOaIyRa amiua8aadaWgaaWcbaWdbiaad2gaa8aabeaak8qacqGHciITcaWGqb WdamaaBaaaleaapeGaamOBaaWdaeqaaaaak8qacaGGUaaaaa@439E@

Здесь для сокращения записи введены 6-компонентные векторы

Q= R x , R y , R z , K x , K y , K z , MathType@MTEF@5@5@+= feaahGart1ev3aqatCvAUfeBSjuyZL2yd9gzLbvyNv2Caerbov2D09 MBdbqedmvETj2BSbqeeuuDJXwAKbsr4rNCHbGeaGqik8fkY=xipgYl h9vqqj=hEeeu0xXdi9arFj0xirFj0dXdbba91qpK0=yr0RYxfr=Jbb f9q8aq0=yq=He9q8qqQ8frFve9Fve9Ff0dmeaabaqaciaacaGaaeqa baqabeGadaaakeaaqaaaaaaaaaWdbiaahgfacqGH9aqpdaqadaWdae aapeGaamOua8aadaWgaaWcbaWdbiaadIhaa8aabeaak8qacaGGSaGa amOua8aadaWgaaWcbaWdbiaadMhaa8aabeaak8qacaGGSaGaamOua8 aadaWgaaWcbaWdbiaadQhaa8aabeaak8qacaGGSaGaam4sa8aadaWg aaWcbaWdbiaadIhaa8aabeaak8qacaGGSaGaam4sa8aadaWgaaWcba WdbiaadMhaa8aabeaak8qacaGGSaGaam4sa8aadaWgaaWcbaWdbiaa dQhaa8aabeaaaOWdbiaawIcacaGLPaaacaGGSaaaaa@4674@

P= K x , K y , K z , R x , R y , R z . MathType@MTEF@5@5@+= feaahGart1ev3aqatCvAUfeBSjuyZL2yd9gzLbvyNv2Caerbov2D09 MBdbqedmvETj2BSbqeeuuDJXwAKbsr4rNCHbGeaGqik8fkY=xipgYl h9vqqj=hEeeu0xXdi9arFj0xirFj0dXdbba91qpK0=yr0RYxfr=Jbb f9q8aq0=yq=He9q8qqQ8frFve9Fve9Ff0dmeaabaqaciaacaGaaeqa baqabeGadaaakeaaqaaaaaaaaaWdbiaahcfacqGH9aqpdaqadaWdae aapeGaam4sa8aadaWgaaWcbaWdbiaadIhaa8aabeaak8qacaGGSaGa am4sa8aadaWgaaWcbaWdbiaadMhaa8aabeaak8qacaGGSaGaam4sa8 aadaWgaaWcbaWdbiaadQhaa8aabeaak8qacaGGSaGaeyOeI0IaamOu a8aadaWgaaWcbaWdbiaadIhaa8aabeaak8qacaGGSaGaeyOeI0Iaam Oua8aadaWgaaWcbaWdbiaadMhaa8aabeaak8qacaGGSaGaeyOeI0Ia amOua8aadaWgaaWcbaWdbiaadQhaa8aabeaaaOWdbiaawIcacaGLPa aacaGGUaaaaa@493C@

Левая часть уравнения (33) совпадает с (26). Член со вторыми производными функции W MathType@MTEF@5@5@+= feaahGart1ev3aqatCvAUfeBSjuyZL2yd9gzLbvyNv2Caerbov2D09 MBdbqedmvETj2BSbqeeuuDJXwAKbsr4rNCHbGeaGqik8fkY=xipgYl h9vqqj=hEeeu0xXdi9arFj0xirFj0dXdbba91qpK0=yr0RYxfr=Jbb f9q8aq0=yq=He9q8qqQ8frFve9Fve9Ff0dmeaabaqaciaacaGaaeqa baqabeGadaaakeaaqaaaaaaaaaWdbiaadEfaaaa@3207@  в правой части описывает диффузию в импульсном пространстве, если поглощение неоднородно, и в координатном пространстве, если присутствует пространственная дисперсия поглощения.

Для физической корректности уравнения (33) в диссипативных средах наряду с знакоопределенностью мнимой части гамильтониана (H˝ < 0) необходимо также потребовать положительной определенности квадратичной формы F mn MathType@MTEF@5@5@+= feaahGart1ev3aqatCvAUfeBSjuyZL2yd9gzLbvyNv2Caerbov2D09 MBdbqedmvETj2BSbqeeuuDJXwAKbsr4rNCHbGeaGqik8fkY=xipgYl h9vqqj=hEeeu0xXdi9arFj0xirFj0dXdbba91qpK0=yr0RYxfr=Jbb f9q8aq0=yq=He9q8qqQ8frFve9Fve9Ff0dmeaabaqaciaacaGaaeqa baqabeGadaaakeaaqaaaaaaaaaWdbiaadAeapaWaaSbaaSqaa8qaca WGTbGaamOBaaWdaeqaaaaa@3435@ . Следует также отметить, что малость поглощения в условии (24) не всегда гарантирует малость пространственных производных H'' MathType@MTEF@5@5@+= feaahGart1ev3aqatCvAUfeBSjuyZL2yd9gzLbvyNv2Caerbov2D09 MBdbqedmvETj2BSbqeeuuDJXwAKbsr4rNCHbGeaGqik8fkY=xipgYl h9vqqj=hEeeu0xXdi9arFj0xirFj0dXdbba91qpK0=yr0RYxfr=Jbb f9q8aq0=yq=He9q8qqQ8frFve9Fve9Ff0dmeaabaqaciaacaGaaeqa baqabeGadaaakeaaqaaaaaaaaaWdbiaadIeacaqGNaGaae4jaaaa@334C@  в F mn MathType@MTEF@5@5@+= feaahGart1ev3aqatCvAUfeBSjuyZL2yd9gzLbvyNv2Caerbov2D09 MBdbqedmvETj2BSbqeeuuDJXwAKbsr4rNCHbGeaGqik8fkY=xipgYl h9vqqj=hEeeu0xXdi9arFj0xirFj0dXdbba91qpK0=yr0RYxfr=Jbb f9q8aq0=yq=He9q8qqQ8frFve9Fve9Ff0dmeaabaqaciaacaGaaeqa baqabeGadaaakeaaqaaaaaaaaaWdbiaadAeapaWaaSbaaSqaa8qaca WGTbGaamOBaaWdaeqaaaaa@3435@ , которые при резонансном характере поглощения могут быть весьма значительными [45–47]. Кроме того, на длинных трассах распространения эффект диффузии функции Вигнера будет “накапливаться”, что может приводить к качественно новым эффектам. Особенно ярко это проявляется в случаях распространения вдоль резонансных поверхностей [7, 13, 14].

Формально появление диффузионных членов лишает кинетический лучевой подход главного численного преимущества MathType@MTEF@5@5@+= feaahGart1ev3aqatCvAUfeBSjuyZL2yd9gzLbvyNv2CaerbuLwBLn hiov2DGi1BTfMBaeXatLxBI9gBaerbd9wDYLwzYbItLDharqqtubsr 4rNCHbGeaGqiVu0Je9sqqrpepC0xbbL8F4rqqrFfpeea0xe9Lq=Jc9 vqaqpepm0xbba9pwe9Q8fs0=yqaqpepae9pg0FirpepeKkFr0xfr=x fr=xb9adbaqaaeGaciGaaiaabeqaamaabaabaaGcbaacbaqcLbwaqa aaaaaaaaWdbiaa=nbiaaa@37A4@  возможности независимого расчета характеристик и эволюции функции Вигнера вдоль них. В этом случае численное решение уравнения (33) становится едва ли не сложнее, чем прямое полноволновое моделирование. Однако если рассматривать уравнение (33) как аналог кинетического уравнения на некоторую функцию распределения, то члены, отвечающие за учет неоднородности поглощения, могут интерпретироваться как переход от уравнения Больцмана к уравнению Фоккера MathType@MTEF@5@5@+= feaahGart1ev3aqatCvAUfeBSjuyZL2yd9gzLbvyNv2CaerbuLwBLn hiov2DGi1BTfMBaeXatLxBI9gBaerbd9wDYLwzYbItLDharqqtubsr 4rNCHbGeaGqiVu0Je9sqqrpepC0xbbL8F4rqqrFfpeea0xe9Lq=Jc9 vqaqpepm0xbba9pwe9Q8fs0=yqaqpepae9pg0FirpepeKkFr0xfr=x fr=xb9adbaqaaeGaciGaaiaabeqaamaabaabaaGcbaacbaqcLbwaqa aaaaaaaaWdbiaa=nbiaaa@37A4@ Планка. Поэтому напрашивающимся эффективным численным методом решения обозначенной выше проблемы является переход к стохастическому описанию динамики отдельных лучей, приводящей к диффузии после усреднения по статистическому ансамблю [48, 49].

Для этого рассмотрим семейство лучей, подчиняющегося уравнениям Ланжевена,

dQ dτ = H P +G,     G m =0,     G m G n = F mn , MathType@MTEF@5@5@+= feaahGart1ev3aaatCvAUfeBSjuyZL2yd9gzLbvyNv2Caerbov2D09 MBdbqedmvETj2BSbqeeuuDJXwAKbsr4rNCHbGeaGqik8fkY=xipgYl h9vqqj=hEeeu0xXdi9arFj0xirFj0dXdbba91qpK0=yr0RYxfr=Jbb f9q8aq0=yq=He9q8qqQ8frFve9Fve9Ff0dmeaabaqaciaacaGaaeqa baqabeGadaaakeaaqaaaaaaaaaWdbmaalaaapaqaa8qacaWGKbGaaC yuaaWdaeaapeGaamizaiabes8a0baacqGH9aqpdaWcaaWdaeaapeGa eyOaIyRabmisayaafaaapaqaa8qacqGHciITcaWHqbaaaiabgUcaRi aahEeacaGGSaGaaqoOaiaaKdkacaa5GcGaaqoOaiabgMYiHlaadEea paWaaSbaaSqaa8qacaWGTbaapaqabaGcpeGaeyOkJeVaeyypa0JaaG imaiaacYcacaa5GcGaaqoOaiaaKdkacaa5GcGaeyykJeUaam4ra8aa daWgaaWcbaWdbiaad2gaa8aabeaak8qacaWGhbWdamaaBaaaleaape GaamOBaaWdaeqaaOWdbiabgQYiXlabg2da9iaadAeapaWaaSbaaSqa a8qacaWGTbGaamOBaaWdaeqaaOWdbiaacYcaaaa@5F34@

где G MathType@MTEF@5@5@+= feaahGart1ev3aqatCvAUfeBSjuyZL2yd9gzLbvyNv2Caerbov2D09 MBdbqedmvETj2BSbqeeuuDJXwAKbsr4rNCHbGeaGqik8fkY=xipgYl h9vqqj=hEeeu0xXdi9arFj0xirFj0dXdbba91qpK0=yr0RYxfr=Jbb f9q8aq0=yq=He9q8qqQ8frFve9Fve9Ff0dmeaabaqaciaacaGaaeqa baqabeGadaaakeaaqaaaaaaaaaWdbiaahEeaaaa@31FB@   MathType@MTEF@5@5@+= feaahGart1ev3aqatCvAUfeBSjuyZL2yd9gzLbvyNv2CaerbuLwBLn hiov2DGi1BTfMBaeXatLxBI9gBaerbd9wDYLwzYbItLDharqqtubsr 4rNCHbGeaGqiVu0Je9sqqrpepC0xbbL8F4rqqrFfpeea0xe9Lq=Jc9 vqaqpepm0xbba9pwe9Q8fs0=yqaqpepae9pg0FirpepeKkFr0xfr=x fr=xb9adbaqaaeGaciGaaiaabeqaamaabaabaaGcbaacbaqcLbwaqa aaaaaaaaWdbiaa=nbiaaa@37A4@  стохастическая сила в 6-ти мерном пространстве, обладающая нулевым средним и тензором дисперсии F mn MathType@MTEF@5@5@+= feaahGart1ev3aqatCvAUfeBSjuyZL2yd9gzLbvyNv2Caerbov2D09 MBdbqedmvETj2BSbqeeuuDJXwAKbsr4rNCHbGeaGqik8fkY=xipgYl h9vqqj=hEeeu0xXdi9arFj0xirFj0dXdbba91qpK0=yr0RYxfr=Jbb f9q8aq0=yq=He9q8qqQ8frFve9Fve9Ff0dmeaabaqaciaacaGaaeqa baqabeGadaaakeaaqaaaaaaaaaWdbiaadAeapaWaaSbaaSqaa8qaca WGTbGaamOBaaWdaeqaaaaa@3435@ . Эффективный способ генерации псевдослучайной последовательности, обладающей указанными свойствами, изложен в Приложении 1. Выделяя координаты и импульсы по отдельности, получаем лучевые уравнения в привычной форме Гамильтона

dR dτ = H K + G R ,     dK dτ = H R + G K , MathType@MTEF@5@5@+= feaahGart1ev3aaatCvAUfeBSjuyZL2yd9gzLbvyNv2Caerbov2D09 MBdbqedmvETj2BSbqeeuuDJXwAKbsr4rNCHbGeaGqik8fkY=xipgYl h9vqqj=hEeeu0xXdi9arFj0xbrFj0dXdbba91qpK0=yr0RYxfr=Jbb f9q8aq0=yq=He9q8qqQ8frFve9Fve9Ff0dmeaabaqaciaacaGaaeqa baqabeGadaaakeaaqaaaaaaaaaWdbmaalaaapaqaa8qacaWGKbGaaC OuaaWdaeaapeGaamizaiabes8a0baacqGH9aqpdaWcaaWdaeaapeGa eyOaIyRabmisayaafaaapaqaa8qacqGHciITcaWHlbaaaiabgUcaRi aahEeapaWaaSbaaSqaa8qacaWGsbaapaqabaGcpeGaaiilaiaaKdka caa5GcGaaqoOaiaaKdkadaWcaaWdaeaapeGaamizaiaahUeaa8aaba WdbiaadsgacqaHepaDaaGaeyypa0JaeyOeI0YaaSaaa8aabaWdbiab gkGi2kqadIeagaqbaaWdaeaapeGaeyOaIyRaaCOuaaaacqGHRaWkca WHhbWdamaaBaaaleaapeGaam4saaWdaeqaaOWdbiaacYcaaaa@5495@     (34)

но с добавочным ланжевеновскими источниками GR и GK, представляющими, соответственно, первые три и последние три компоненты случайного вектора G MathType@MTEF@5@5@+= feaahGart1ev3aqatCvAUfeBSjuyZL2yd9gzLbvyNv2Caerbov2D09 MBdbqedmvETj2BSbqeeuuDJXwAKbsr4rNCHbGeaGqik8fkY=xipgYl h9vqqj=hEeeu0xXdi9arFj0xirFj0dXdbba91qpK0=yr0RYxfr=Jbb f9q8aq0=yq=He9q8qqQ8frFve9Fve9Ff0dmeaabaqaciaacaGaaeqa baqabeGadaaakeaaqaaaaaaaaaWdbiaahEeaaaa@31FB@ . Если интенсивность W MathType@MTEF@5@5@+= feaahGart1ev3aqatCvAUfeBSjuyZL2yd9gzLbvyNv2Caerbov2D09 MBdbqedmvETj2BSbqeeuuDJXwAKbsr4rNCHbGeaGqik8fkY=xipgYl h9vqqj=hEeeu0xXdi9arFj0xirFj0dXdbba91qpK0=yr0RYxfr=Jbb f9q8aq0=yq=He9q8qqQ8frFve9Fve9Ff0dmeaabaqaciaacaGaaeqa baqabeGadaaakeaaqaaaaaaaaaWdbiaadEfaaaa@3207@  вдоль луча меняется по закону (31), то в приближении Фоккера MathType@MTEF@5@5@+= feaahGart1ev3aqatCvAUfeBSjuyZL2yd9gzLbvyNv2CaerbuLwBLn hiov2DGi1BTfMBaeXatLxBI9gBaerbd9wDYLwzYbItLDharqqtubsr 4rNCHbGeaGqiVu0Je9sqqrpepC0xbbL8F4rqqrFfpeea0xe9Lq=Jc9 vqaqpepm0xbba9pwe9Q8fs0=yqaqpepae9pg0FirpepeKkFr0xfr=x fr=xb9adbaqaaeGaciGaaiaabeqaamaabaabaaGcbaacbaqcLbwaqa aaaaaaaaWdbiaa=nbiaaa@37A4@ Планка функция распределения для такого семейства лучей

W R,K = W 0  exp 0 τ * R,K 2 H τ  d τ MathType@MTEF@5@5@+= feaahGart1ev3aqatCvAUfeBSjuyZL2yd9gzLbvyNv2Caerbov2D09 MBdbqedmvETj2BSbqeeuuDJXwAKbsr4rNCHbGeaGqik8fkY=xipgYl h9vqqj=hEeeu0xXdi9arFj0xirFj0dXdbba91qpK0=yr0RYxfr=Jbb f9q8aq0=yq=He9q8qqQ8frFve9Fve9Ff0dmeaabaqaciaacaGaaeqa baqabeGadaaakeaaqaaaaaaaaaWdbiaadEfadaqadaWdaeaapeGaaC OuaiaacYcacaWHlbaacaGLOaGaayzkaaGaeyypa0ZaaaWaaeaacaWG xbWdamaaBaaaleaapeGaaGimaaWdaeqaaOWdbiaaKdkacaqGLbGaae iEaiaabchadaqadaWdaeaapeWaaubmaeqal8aabaWdbiaaicdaa8aa baWdbiabes8a09aadaahaaadbeqaa8qacaqGQaaaaSWaaeWaa8aaba WdbiaahkfacaGGSaGaaC4saaGaayjkaiaawMcaaaqdpaqaa8qacqGH RiI8aaGccaa5naIaaGOmaiqadIeagaGbamaabmaapaqaa8qacuaHep aDgaqbaaGaayjkaiaawMcaaiaaKdkacaWGKbGafqiXdqNbauaaaiaa wIcacaGLPaaaaiaawMYicaGLQmcaaaa@5576@

описывается диффузионным уравнением (33). Таким образом, моделируя случайные реализации семейства лучей (34), отвечающие одинаковым начальным условиям, и усредняя по ансамблю, содержащему достаточное число реализаций, можно найти решение искомого уравнения с заданной точностью.

Здесь необходимо вспомнить, что кроме диффузионного кинетического уравнения, нам необходимо обеспечить выполнение уравнения (25) и следующего из него дисперсионного соотношения (28). Для этого стохастическая сила G должна обеспечивать сохранение гамильтониана, что возможно только если диффузия происходит в пространстве меньшей размерности. Возможность понизить размерность пространства, в котором происходит диффузия, связана с тем, что функция Вигнера насоседнихлучах может меняться заметно вследствие накопления эффектов диффузии на трассе, в то время как неоднородность функции Вигнера вдоль луча определяется только локальной диссипацией. Поэтому вдоль луча функция Вигнера меняется плавно. Наиболее простой способ учесть подобные соображения MathType@MTEF@5@5@+= feaahGart1ev3aqatCvAUfeBSjuyZL2yd9gzLbvyNv2CaerbuLwBLn hiov2DGi1BTfMBaeXatLxBI9gBaerbd9wDYLwzYbItLDharqqtubsr 4rNCHbGeaGqiVu0Je9sqqrpepC0xbbL8F4rqqrFfpeea0xe9Lq=Jc9 vqaqpepm0xbba9pwe9Q8fs0=yqaqpepae9pg0FirpepeKkFr0xfr=x fr=xb9adbaqaaeGaciGaaiaabeqaamaabaabaaGcbaacbaqcLbwaqa aaaaaaaaWdbiaa=nbiaaa@37A4@  это полностью запретить стохастическую диффузию вдоль луча. Этого можно добиться модификацией случайной силы в уравнениях (34):

G ˜ R = G R G R ,l l, MathType@MTEF@5@5@+= feaahGart1ev3aqatCvAUfeBSjuyZL2yd9gzLbvyNv2Caerbov2D09 MBdbqedmvETj2BSbqeeuuDJXwAKbsr4rNCHbGeaGqik8fkY=xipgYl h9vqqj=hEeeu0xXdi9arFj0xirFj0dXdbba91qpK0=yr0RYxfr=Jbb f9q8aq0=yq=He9q8qqQ8frFve9Fve9Ff0dmeaabaqaciaacaGaaeqa baqabeGadaaakeaaqaaaaaaaaaWdbiqahEeapaGbaGaadaWgaaWcba Wdbiaahkfaa8aabeaak8qacqGH9aqpcaWHhbWdamaaBaaaleaapeGa aCOuaaWdaeqaaOWdbiabgkHiTmaabmaapaqaa8qacaWHhbWdamaaBa aaleaapeGaaCOuaaWdaeqaaOWdbiaacYcacqWItecBaiaawIcacaGL PaaacqWItecBcaGGSaaaaa@3EF4@  

  G ˜ K = G K G K ,l + H K 1 G ˜ R , H R l, MathType@MTEF@5@5@+= feaahGart1ev3aaatCvAUfeBSjuyZL2yd9gzLbvyNv2Caerbov2D09 MBdbqedmvETj2BSbqeeuuDJXwAKbsr4rNCHbGeaGqik8fkY=xipgYl h9vqqj=hEeeu0xXdi9arFj0xirFj0dXdbba91qpK0=yr0RYxfr=Jbb f9q8aq0=yq=He9q8qqQ8frFve9Fve9Ff0dmeaabaqaciaacaGaaeqa baqabeGadaaakeaaqaaaaaaaaaWdbiqahEeapaGbaGaadaWgaaWcba WdbiaahUeaa8aabeaak8qacqGH9aqpcaWHhbWdamaaBaaaleaapeGa aC4saaWdaeqaaOWdbiabgkHiTmaabmaabaWaaeWaa8aabaWdbiaahE eapaWaaSbaaSqaa8qacaWHlbaapaqabaGcpeGaaiilaiabloriSbGa ayjkaiaawMcaaiabgUcaRmaaemaabaWaaSaaa8aabaWdbiabgkGi2k qadIeagaqbaaWdaeaapeGaeyOaIyRaaC4saaaaaiaawEa7caGLiWoa paWaaWbaaSqabeaapeGaeyOeI0IaaGymaaaakmaabmaapaqaa8qace WHhbWdayaaiaWaaSbaaSqaa8qacaWHsbaapaqabaGcpeGaaiilamaa laaapaqaa8qacqGHciITceWGibGbauaaa8aabaWdbiabgkGi2kaahk faaaaacaGLOaGaayzkaaaacaGLOaGaayzkaaGaeS4eHWMaaiilaaaa @5484@     

где l= H /K / H /K MathType@MTEF@5@5@+= feaahGart1ev3aqatCvAUfeBSjuyZL2yd9gzLbvyNv2Caerbov2D09 MBdbqedmvETj2BSbqeeuuDJXwAKbsr4rNCHbGeaGqik8fkY=xipgYl h9vqqj=hEeeu0xXdi9arFj0xirFj0dXdbba91qpK0=yr0RYxfr=Jbb f9q8aq0=yq=He9q8qqQ8frFve9Fve9Ff0dmeaabaqaciaacaGaaeqa baqabeGadaaakeaaqaaaaaaaaaWdbiabloriSjabg2da9maabmaapa qaa8qacqGHciITceWGibGbauaacaGGVaGaeyOaIyRaaC4saaGaayjk aiaawMcaaiaac+cadaabdaWdaeaapeGaeyOaIyRabmisayaafaGaai 4laiabgkGi2kaahUeaaiaawEa7caGLiWoaaaa@4356@   MathType@MTEF@5@5@+= feaahGart1ev3aqatCvAUfeBSjuyZL2yd9gzLbvyNv2CaerbuLwBLn hiov2DGi1BTfMBaeXatLxBI9gBaerbd9wDYLwzYbItLDharqqtubsr 4rNCHbGeaGqiVu0Je9sqqrpepC0xbbL8F4rqqrFfpeea0xe9Lq=Jc9 vqaqpepm0xbba9pwe9Q8fs0=yqaqpepae9pg0FirpepeKkFr0xfr=x fr=xb9adbaqaaeGaciGaaiaabeqaamaabaabaaGcbaacbaqcLbwaqa aaaaaaaaWdbiaa=nbiaaa@37A4@  единичный вектор вдоль траектории. При таком выборе силы стохастически возмущаются только величины, поперечные к лучу, изменение продольного импульса при этом подчиняется закону сохранения гамильтониана.

Формально такой переход может быть строго (но очень громоздко) осуществлен на основе теоремы о понижении порядка автономной гамильтоновой системы ([50], § MathType@MTEF@5@5@+= feaahGart1ev3aqatCvAUfeBSjuyZL2yd9gzLbvyNv2Caerbov2D09 MBdbqedmvETj2BSbqeeuuDJXwAKbsr4rNCHbGeaGqik8fkY=xipgYl h9vqqj=hEeeu0xXdi9arFj0xirFj0dXdbba91qpK0=yr0RYxfr=Jbb f9q8aq0=yq=He9q8qqQ8frFve9Fve9Ff0dmeaabaqaciaacaGaaeqa baqabeGadaaakeaaqaaaaaaaaaWdbiaabEkaaaa@3255@  141). Отметим также, что предложенное модельное описание “продольной” части диффузии в импульсном пространстве приводит к отказу от учета возможного отражения луча от области неоднородности (в частности, от резонанса среды), то есть перескоку с одной ветки решения уравнения H =0 MathType@MTEF@5@5@+= feaahGart1ev3aqatCvAUfeBSjuyZL2yd9gzLbvyNv2Caerbov2D09 MBdbqedmvETj2BSbqeeuuDJXwAKbsr4rNCHbGeaGqik8fkY=xipgYl h9vqqj=hEeeu0xXdi9arFj0xirFj0dXdbba91qpK0=yr0RYxfr=Jbb f9q8aq0=yq=He9q8qqQ8frFve9Fve9Ff0dmeaabaqaciaacaGaaeqa baqabeGadaaakeaaqaaaaaaaaaWdbiqadIeagaqbaiabg2da9iaaic daaaa@33C4@  на другую, отвечающую волне той же поляризации, но распространяющейся в обратном направлении [46, 47].

8. Начальные условия для кинетического уравнения

Для того, чтобы воспользоваться полученными решениями в практических расчетах, необходимо задать значение скалярной функции Вигнера при τ=0 MathType@MTEF@5@5@+= feaahGart1ev3aqatCvAUfeBSjuyZL2yd9gzLbvyNv2Caerbov2D09 MBdbqedmvETj2BSbqeeuuDJXwAKbsr4rNCHbGeaGqik8fkY=xipgYl h9vqqj=hEeeu0xXdi9arFj0xirFj0dXdbba91qpK0=yr0RYxfr=Jbb f9q8aq0=yq=He9q8qqQ8frFve9Fve9Ff0dmeaabaqaciaacaGaaeqa baqabeGadaaakeaaqaaaaaaaaaWdbiabes8a0jabg2da9iaaicdaaa a@34B0@  для всего пятимерного набора характеристик Г0 (поверхность в шестимерном пространстве). Поскольку лучевые уравнения (29), (30) и (34) не содержат переменную τ MathType@MTEF@5@5@+= feaahGart1ev3aqatCvAUfeBSjuyZL2yd9gzLbvyNv2Caerbov2D09 MBdbqedmvETj2BSbqeeuuDJXwAKbsr4rNCHbGeaGqik8fkY=xipgYl h9vqqj=hEeeu0xXdi9arFj0xirFj0dXdbba91qpK0=yr0RYxfr=Jbb f9q8aq0=yq=He9q8qqQ8frFve9Fve9Ff0dmeaabaqaciaacaGaaeqa baqabeGadaaakeaaqaaaaaaaaaWdbiabes8a0baa@32F0@  явным образом, мы имеем право выбирать поверхность Г0 как нам удобно.

Пусть распределение комплексной амплитуды поля задано на плоскости z=0 MathType@MTEF@5@5@+= feaahGart1ev3aqatCvAUfeBSjuyZL2yd9gzLbvyNv2Caerbov2D09 MBdbqedmvETj2BSbqeeuuDJXwAKbsr4rNCHbGeaGqik8fkY=xipgYl h9vqqj=hEeeu0xXdi9arFj0xirFj0dXdbba91qpK0=yr0RYxfr=Jbb f9q8aq0=yq=He9q8qqQ8frFve9Fve9Ff0dmeaabaqaciaacaGaaeqa baqabeGadaaakeaaqaaaaaaaaaWdbiaadQhacqGH9aqpcaaIWaaaaa@33EA@ , причем волна распространяется из полупространства z<0 MathType@MTEF@5@5@+= feaahGart1ev3aqatCvAUfeBSjuyZL2yd9gzLbvyNv2Caerbov2D09 MBdbqedmvETj2BSbqeeuuDJXwAKbsr4rNCHbGeaGqik8fkY=xipgYl h9vqqj=hEeeu0xXdi9arFj0xirFj0dXdbba91qpK0=yr0RYxfr=Jbb f9q8aq0=yq=He9q8qqQ8frFve9Fve9Ff0dmeaabaqaciaacaGaaeqa baqabeGadaaakeaaqaaaaaaaaaWdbiaadQhacqGH8aapcaaIWaaaaa@33E8@  в полупространство z>0 MathType@MTEF@5@5@+= feaahGart1ev3aqatCvAUfeBSjuyZL2yd9gzLbvyNv2Caerbov2D09 MBdbqedmvETj2BSbqeeuuDJXwAKbsr4rNCHbGeaGqik8fkY=xipgYl h9vqqj=hEeeu0xXdi9arFj0xirFj0dXdbba91qpK0=yr0RYxfr=Jbb f9q8aq0=yq=He9q8qqQ8frFve9Fve9Ff0dmeaabaqaciaacaGaaeqa baqabeGadaaakeaaqaaaaaaaaaWdbiaadQhacqGH+aGpcaaIWaaaaa@33EC@ . Будем отсчитывать момент τ=0 MathType@MTEF@5@5@+= feaahGart1ev3aqatCvAUfeBSjuyZL2yd9gzLbvyNv2Caerbov2D09 MBdbqedmvETj2BSbqeeuuDJXwAKbsr4rNCHbGeaGqik8fkY=xipgYl h9vqqj=hEeeu0xXdi9arFj0xirFj0dXdbba91qpK0=yr0RYxfr=Jbb f9q8aq0=yq=He9q8qqQ8frFve9Fve9Ff0dmeaabaqaciaacaGaaeqa baqabeGadaaakeaaqaaaaaaaaaWdbiabes8a0jabg2da9iaaicdaaa a@34B0@  для каждой характеристики от момента, когда она пересекает плоскость z=0 MathType@MTEF@5@5@+= feaahGart1ev3aqatCvAUfeBSjuyZL2yd9gzLbvyNv2Caerbov2D09 MBdbqedmvETj2BSbqeeuuDJXwAKbsr4rNCHbGeaGqik8fkY=xipgYl h9vqqj=hEeeu0xXdi9arFj0xirFj0dXdbba91qpK0=yr0RYxfr=Jbb f9q8aq0=yq=He9q8qqQ8frFve9Fve9Ff0dmeaabaqaciaacaGaaeqa baqabeGadaaakeaaqaaaaaaaaaWdbiaadQhacqGH9aqpcaaIWaaaaa@33EA@ . Координаты и волновыве вектора (импульсы) на этой плоскости задаются двумерными (поперечными) векторами R MathType@MTEF@5@5@+= feaahGart1ev3aqatCvAUfeBSjuyZL2yd9gzLbvyNv2Caerbov2D09 MBdbqedmvETj2BSbqeeuuDJXwAKbsr4rNCHbGeaGqik8fkY=xipgYl h9vqqj=hEeeu0xXdi9arFj0xirFj0dXdbba91qpK0=yr0RYxfr=Jbb f9q8aq0=yq=He9q8qqQ8frFve9Fve9Ff0dmeaabaqaciaacaGaaeqa baqabeGadaaakeaaqaaaaaaaaaWdbiaahkfapaWaaSbaaSqaa8qacq GHLkIxa8aabeaaaaa@3411@  и K MathType@MTEF@5@5@+= feaahGart1ev3aqatCvAUfeBSjuyZL2yd9gzLbvyNv2Caerbov2D09 MBdbqedmvETj2BSbqeeuuDJXwAKbsr4rNCHbGeaGqik8fkY=xipgYl h9vqqj=hEeeu0xXdi9arFj0xirFj0dXdbba91qpK0=yr0RYxfr=Jbb f9q8aq0=yq=He9q8qqQ8frFve9Fve9Ff0dmeaabaqaciaacaGaaeqa baqabeGadaaakeaaqaaaaaaaaaWdbiaahUeapaWaaSbaaSqaa8qacq GHLkIxa8aabeaaaaa@340A@ , которые являются свободными параметрами при выборе начальных условий для лучевых уравнений. Воспользовавшись дисперсионным уравнением (28), можно определить начальный импульс K z0 R , K MathType@MTEF@5@5@+= feaahGart1ev3aqatCvAUfeBSjuyZL2yd9gzLbvyNv2Caerbov2D09 MBdbqedmvETj2BSbqeeuuDJXwAKbsr4rNCHbGeaGqik8fkY=xipgYl h9vqqj=hEeeu0xXdi9arFj0xirFj0dXdbba91qpK0=yr0RYxfr=Jbb f9q8aq0=yq=He9q8qqQ8frFve9Fve9Ff0dmeaabaqaciaacaGaaeqa baqabeGadaaakeaaqaaaaaaaaaWdbiaadUeapaWaaSbaaSqaa8qaca WG6bGaaGimaaWdaeqaaOWdbmaabmaapaqaa8qacaWHsbWdamaaBaaa leaapeGaeyyPI4fapaqabaGcpeGaaiilaiaahUeapaWaaSbaaSqaa8 qacqGHLkIxa8aabeaaaOWdbiaawIcacaGLPaaaaaa@3C79@  при z=0 MathType@MTEF@5@5@+= feaahGart1ev3aqatCvAUfeBSjuyZL2yd9gzLbvyNv2Caerbov2D09 MBdbqedmvETj2BSbqeeuuDJXwAKbsr4rNCHbGeaGqik8fkY=xipgYl h9vqqj=hEeeu0xXdi9arFj0xirFj0dXdbba91qpK0=yr0RYxfr=Jbb f9q8aq0=yq=He9q8qqQ8frFve9Fve9Ff0dmeaabaqaciaacaGaaeqa baqabeGadaaakeaaqaaaaaaaaaWdbiaadQhacqGH9aqpcaaIWaaaaa@33EA@  и всех возможных значениях начальных поперечных координат и импульсов. Таким образом мы задаем полный набор начальных координат и импульсов в шестимерном пространстве, необходимый для расчета характеристик в соответствии с лучевыми уравнениями (29) или (34).

Очевидно, что начальная функция Вигнера W 0 R , K MathType@MTEF@5@5@+= feaahGart1ev3aqatCvAUfeBSjuyZL2yd9gzLbvyNv2Caerbov2D09 MBdbqedmvETj2BSbqeeuuDJXwAKbsr4rNCHbGeaGqik8fkY=xipgYl h9vqqj=hEeeu0xXdi9arFj0xirFj0dXdbba91qpK0=yr0RYxfr=Jbb f9q8aq0=yq=He9q8qqQ8frFve9Fve9Ff0dmeaabaqaciaacaGaaeqa baqabeGadaaakeaaqaaaaaaaaaWdbiaadEfapaWaaSbaaSqaa8qaca aIWaaapaqabaGcpeWaaeWaa8aabaWdbiaahkfapaWaaSbaaSqaa8qa cqGHLkIxa8aabeaak8qacaGGSaGaaC4sa8aadaWgaaWcbaWdbiabgw QiEbWdaeqaaaGcpeGaayjkaiaawMcaaaaa@3B86@  в (31) также зависит только от четырех свободных параметров – компонент поперечных координат и импульсов. При этом истинная функция Вигнера в шестимерном фазовом пространстве на плоскости z=0 MathType@MTEF@5@5@+= feaahGart1ev3aqatCvAUfeBSjuyZL2yd9gzLbvyNv2Caerbov2D09 MBdbqedmvETj2BSbqeeuuDJXwAKbsr4rNCHbGeaGqik8fkY=xipgYl h9vqqj=hEeeu0xXdi9arFj0xirFj0dXdbba91qpK0=yr0RYxfr=Jbb f9q8aq0=yq=He9q8qqQ8frFve9Fve9Ff0dmeaabaqaciaacaGaaeqa baqabeGadaaakeaaqaaaaaaaaaWdbiaadQhacqGH9aqpcaaIWaaaaa@33EA@  должна зависеть от пятого параметра MathType@MTEF@5@5@+= feaahGart1ev3aqatCvAUfeBSjuyZL2yd9gzLbvyNv2CaerbuLwBLn hiov2DGi1BTfMBaeXatLxBI9gBaerbd9wDYLwzYbItLDharqqtubsr 4rNCHbGeaGqiVu0Je9sqqrpepC0xbbL8F4rqqrFfpeea0xe9Lq=Jc9 vqaqpepm0xbba9pwe9Q8fs0=yqaqpepae9pg0FirpepeKkFr0xfr=x fr=xb9adbaqaaeGaciGaaiaabeqaamaabaabaaGcbaacbaqcLbwaqa aaaaaaaaWdbiaa=nbiaaa@37A4@  продольного импульса K z MathType@MTEF@5@5@+= feaahGart1ev3aqatCvAUfeBSjuyZL2yd9gzLbvyNv2Caerbov2D09 MBdbqedmvETj2BSbqeeuuDJXwAKbsr4rNCHbGeaGqik8fkY=xipgYl h9vqqj=hEeeu0xXdi9arFj0xirFj0dXdbba91qpK0=yr0RYxfr=Jbb f9q8aq0=yq=He9q8qqQ8frFve9Fve9Ff0dmeaabaqaciaacaGaaeqa baqabeGadaaakeaaqaaaaaaaaaWdbiaadUeapaWaaSbaaSqaa8qaca WG6baapaqabaaaaa@3354@ . Эта зависимость определяется дисперсионным соотношением, которое выражено в виде множителя δ H' MathType@MTEF@5@5@+= feaahGart1ev3aqatCvAUfeBSjuyZL2yd9gzLbvyNv2Caerbov2D09 MBdbqedmvETj2BSbqeeuuDJXwAKbsr4rNCHbGeaGqik8fkY=xipgYl h9vqqj=hEeeu0xXdi9arFj0xirFj0dXdbba91qpK0=yr0RYxfr=Jbb f9q8aq0=yq=He9q8qqQ8frFve9Fve9Ff0dmeaabaqaciaacaGaaeqa baqabeGadaaakeaaqaaaaaaaaaWdbiabes7aKnaabmaapaqaa8qaca WGibGaae4jaaGaayjkaiaawMcaaaaa@35EF@  в (32). В итоге функция Вигнера при z=0 MathType@MTEF@5@5@+= feaahGart1ev3aqatCvAUfeBSjuyZL2yd9gzLbvyNv2Caerbov2D09 MBdbqedmvETj2BSbqeeuuDJXwAKbsr4rNCHbGeaGqik8fkY=xipgYl h9vqqj=hEeeu0xXdi9arFj0xirFj0dXdbba91qpK0=yr0RYxfr=Jbb f9q8aq0=yq=He9q8qqQ8frFve9Fve9Ff0dmeaabaqaciaacaGaaeqa baqabeGadaaakeaaqaaaaaaaaaWdbiaadQhacqGH9aqpcaaIWaaaaa@33EA@  представляется в виде

W z=0 R ,K = H K z 1 δ K z K z0 R , K W 0 R , K . MathType@MTEF@5@5@+= feaahGart1ev3aaatCvAUfeBSjuyZL2yd9gzLbvyNv2Caerbov2D09 MBdbqedmvETj2BSbqeeuuDJXwAKbsr4rNCHbGeaGqik8fkY=xipgYl h9vqqj=hEeeu0xXdi9arFj0xirFj0dXdbba91qpK0=yr0RYxfr=Jbb f9q8aq0=yq=He9q8qqQ8frFve9Fve9Ff0dmeaabaqaciaacaGaaeqa baqabeGadaaakqaaceqaaabaaaaaaaaapeGaam4va8aadaahaaWcbe qaa8qadaqadaWdaeaapeGaamOEaiabg2da9iaaicdaaiaawIcacaGL PaaaaaGcdaqadaWdaeaapeGaaCOua8aadaWgaaWcbaWdbiabgwQiEb WdaeqaaOWdbiaacYcacaWHlbaacaGLOaGaayzkaaGaeyypa0ZaaqWa aeaadaWcaaWdaeaapeGaeyOaIyRabmisayaafaaapaqaa8qacqGHci ITcaWGlbWdamaaBaaaleaapeGaamOEaaWdaeqaaaaaaOWdbiaawEa7 caGLiWoapaWaaWbaaSqabeaapeGaeyOeI0IaaGymaaaaaOWdaeaape GaeqiTdq2aaeWaa8aabaWdbiaadUeapaWaaSbaaSqaa8qacaWG6baa paqabaGcpeGaeyOeI0Iaam4sa8aadaWgaaWcbaWdbiaadQhacaaIWa aapaqabaGcpeWaaeWaa8aabaWdbiaahkfapaWaaSbaaSqaa8qacqGH LkIxa8aabeaak8qacaGGSaGaaC4sa8aadaWgaaWcbaWdbiabgwQiEb WdaeqaaaGcpeGaayjkaiaawMcaaaGaayjkaiaawMcaaiaadEfapaWa aSbaaSqaa8qacaaIWaaapaqabaGcpeWaaeWaa8aabaWdbiaahkfapa WaaSbaaSqaa8qacqGHLkIxa8aabeaak8qacaGGSaGaaC4sa8aadaWg aaWcbaWdbiabgwQiEbWdaeqaaaGcpeGaayjkaiaawMcaaiaac6caaa aa@664A@          (35)

Для того, чтобы определить W 0 MathType@MTEF@5@5@+= feaahGart1ev3aqatCvAUfeBSjuyZL2yd9gzLbvyNv2Caerbov2D09 MBdbqedmvETj2BSbqeeuuDJXwAKbsr4rNCHbGeaGqik8fkY=xipgYl h9vqqj=hEeeu0xXdi9arFj0xirFj0dXdbba91qpK0=yr0RYxfr=Jbb f9q8aq0=yq=He9q8qqQ8frFve9Fve9Ff0dmeaabaqaciaacaGaaeqa baqabeGadaaakeaaqaaaaaaaaaWdbiaadEfapaWaaSbaaSqaa8qaca aIWaaapaqabaaaaa@331B@ , воспользуемся соотношением (7) для заданного при z=0 MathType@MTEF@5@5@+= feaahGart1ev3aqatCvAUfeBSjuyZL2yd9gzLbvyNv2Caerbov2D09 MBdbqedmvETj2BSbqeeuuDJXwAKbsr4rNCHbGeaGqik8fkY=xipgYl h9vqqj=hEeeu0xXdi9arFj0xirFj0dXdbba91qpK0=yr0RYxfr=Jbb f9q8aq0=yq=He9q8qqQ8frFve9Fve9Ff0dmeaabaqaciaacaGaaeqa baqabeGadaaakeaaqaaaaaaaaaWdbiaadQhacqGH9aqpcaaIWaaaaa@33EA@  распределения комплексной амплитуды E 0 =eu MathType@MTEF@5@5@+= feaahGart1ev3aqatCvAUfeBSjuyZL2yd9gzLbvyNv2Caerbov2D09 MBdbqedmvETj2BSbqeeuuDJXwAKbsr4rNCHbGeaGqik8fkY=xipgYl h9vqqj=hEeeu0xXdi9arFj0xirFj0dXdbba91qpK0=yr0RYxfr=Jbb f9q8aq0=yq=He9q8qqQ8frFve9Fve9Ff0dmeaabaqaciaacaGaaeqa baqabeGadaaakeaaqaaaaaaaaaWdbiaahweapaWaaSbaaSqaa8qaca aIWaaapaqabaGcpeGaeyypa0JaaCyzaiaadwhaaaa@3615@  или, эквивалентно, u= e * E 0 MathType@MTEF@5@5@+= feaahGart1ev3aqatCvAUfeBSjuyZL2yd9gzLbvyNv2Caerbov2D09 MBdbqedmvETj2BSbqeeuuDJXwAKbsr4rNCHbGeaGqik8fkY=xipgYl h9vqqj=hEeeu0xXdi9arFj0xirFj0dXdbba91qpK0=yr0RYxfr=Jbb f9q8aq0=yq=He9q8qqQ8frFve9Fve9Ff0dmeaabaqaciaacaGaaeqa baqabeGadaaakeaaqaaaaaaaaaWdbiaadwhacqGH9aqpcaWHLbWdam aaCaaaleqabaWdbiaabQcaaaGccaWHfbWdamaaBaaaleaapeGaaGim aaWdaeqaaaaa@36FE@ :

u r u * r ' = MathType@MTEF@5@5@+= feaahGart1ev3aqatCvAUfeBSjuyZL2yd9gzLbvyNv2Caerbov2D09 MBdbqedmvETj2BSbqeeuuDJXwAKbsr4rNCHbGeaGqik8fkY=xipgYl h9vqqj=hEeeu0xXdi9arFj0xirFj0dXdbba91qpK0=yr0RYxfr=Jbb f9q8aq0=yq=He9q8qqQ8frFve9Fve9Ff0dmeaabaqaciaacaGaaeqa baqabeGadaaakeaaqaaaaaaaaaWdbiaadwhadaqadaWdaeaapeGaaC OCa8aadaWgaaWcbaWdbiabgwQiEbWdaeqaaaGcpeGaayjkaiaawMca aiaadwhapaWaaWbaaSqabeaapeGaaeOkaaaakmaabmaapaqaa8qaca WHYbGaae4ja8aadaWgaaWcbaWdbiabgwQiEbWdaeqaaaGcpeGaayjk aiaawMcaaiabg2da9aaa@3F62@

= W z=0 r +r ' 2 ,K e i K r r ' dK=              MathType@MTEF@5@5@+= feaahGart1ev3aqatCvAUfeBSjuyZL2yd9gzLbvyNv2Caerbov2D09 MBdbqedmvETj2BSbqeeuuDJXwAKbsr4rNCHbGeaGqik8fkY=xipgYl h9vqqj=hEeeu0xXdi9arFj0xirFj0dXdbba91qpK0=yr0RYxfr=Jbb f9q8aq0=yq=He9q8qqQ8frFve9Fve9Ff0dmeaabaqaciaacaGaaeqa baqabeGadaaakeaaqaaaaaaaaaWdbiabg2da9iaaK3aidaWdbaqaai aadEfapaWaaWbaaSqabeaapeWaaeWaa8aabaWdbiaadQhacqGH9aqp caaIWaaacaGLOaGaayzkaaaaaOWaaeWaa8aabaWdbmaalaaapaqaa8 qacaWHYbWdamaaBaaaleaapeGaeyyPI4fapaqabaGcpeGaey4kaSIa aCOCaiaabEcapaWaaSbaaSqaa8qacqGHLkIxa8aabeaaaOqaa8qaca aIYaaaaiaacYcacaWHlbaacaGLOaGaayzkaaGaaeyza8aadaahaaWc beqaa8qacaWGPbGaaC4sa8aadaWgaaadbaWdbiabgwQiEbWdaeqaaS Wdbmaabmaapaqaa8qacaWHYbWdamaaBaaameaapeGaeyyPI4fapaqa baWcpeGaeyOeI0IaaCOCaiaabEcapaWaaSbaaWqaa8qacqGHLkIxa8 aabeaaaSWdbiaawIcacaGLPaaaaaGccaWGKbGaaC4saiabg2da9iaa Kdkacaa5GcaaleqabeqdcqGHRiI8aOGaaqoOaiaaKdkacaa5GcGaaq oOaiaaKdkacaa5GcGaaqoOaiaaKdkacaa5GcGaaqoOaaaa@6A7A@

= H' K z 1 W 0 r +r ' 2 , K e i K r r ' d K . MathType@MTEF@5@5@+= feaahGart1ev3aqatCvAUfeBSjuyZL2yd9gzLbvyNv2Caerbov2D09 MBdbqedmvETj2BSbqeeuuDJXwAKbsr4rNCHbGeaGqik8fkY=xipgYl h9vqqj=hEeeu0xXdi9arFj0xirFj0dXdbba91qpK0=yr0RYxfr=Jbb f9q8aq0=yq=He9q8qqQ8frFve9Fve9Ff0dmeaabaqaciaacaGaaeqa baqabeGadaaakeaaqaaaaaaaaaWdbiabg2da9iaaK3aidaWdbaqaam aaemaabaWaaSaaa8aabaWdbiabgkGi2kaadIeacaqGNaaapaqaa8qa cqGHciITcaWGlbWdamaaBaaaleaapeGaamOEaaWdaeqaaaaaaOWdbi aawEa7caGLiWoapaWaaWbaaSqabeaapeGaeyOeI0IaaGymaaaakiaa dEfapaWaaSbaaSqaa8qacaaIWaaapaqabaGcpeWaaeWaa8aabaWdbm aalaaapaqaa8qacaWHYbWdamaaBaaaleaapeGaeyyPI4fapaqabaGc peGaey4kaSIaaCOCaiaabEcapaWaaSbaaSqaa8qacqGHLkIxa8aabe aaaOqaa8qacaaIYaaaaiaacYcacaWHlbWdamaaBaaaleaapeGaeyyP I4fapaqabaaak8qacaGLOaGaayzkaaGaaeyza8aadaahaaWcbeqaa8 qacaWGPbGaaC4sa8aadaWgaaadbaWdbiabgwQiEbWdaeqaaSWdbmaa bmaapaqaa8qacaWHYbWdamaaBaaameaapeGaeyyPI4fapaqabaWcpe GaeyOeI0IaaCOCaiaabEcapaWaaSbaaWqaa8qacqGHLkIxa8aabeaa aSWdbiaawIcacaGLPaaaaaGccaWGKbGaaC4sa8aadaWgaaWcbaWdbi abgwQiEbWdaeqaaOWdbiaac6caaSqabeqaniabgUIiYdaaaa@6483@

Выполняя обратное преобразование Фурье, получаем

 

 

W 0 R , K = H R , K K z z=0 ×         MathType@MTEF@5@5@+= feaahGart1ev3aqatCvAUfeBSjuyZL2yd9gzLbvyNv2Caerbov2D09 MBdbqedmvETj2BSbqeeuuDJXwAKbsr4rNCHbGeaGqik8fkY=xipgYl h9vqqj=hEeeu0xXdi9arFj0xirFj0dXdbba91qpK0=yr0RYxfr=Jbb f9q8aq0=yq=He9q8qqQ8frFve9Fve9Ff0dmeaabaqaciaacaGaaeqa baqabeGadaaakeaaqaaaaaaaaaWdbiaadEfapaWaaSbaaSqaa8qaca aIWaaapaqabaGcpeWaaeWaa8aabaWdbiaahkfapaWaaSbaaSqaa8qa cqGHLkIxa8aabeaak8qacaGGSaGaaC4sa8aadaWgaaWcbaWdbiabgw QiEbWdaeqaaaGcpeGaayjkaiaawMcaaiabg2da9maaemaapaqaa8qa daWcaaWdaeaapeGaeyOaIyRabmisayaafaWaaeWaa8aabaWdbiaahk fapaWaaSbaaSqaa8qacqGHLkIxa8aabeaak8qacaGGSaGaaC4sa8aa daWgaaWcbaWdbiabgwQiEbWdaeqaaaGcpeGaayjkaiaawMcaaaWdae aapeGaeyOaIyRaam4sa8aadaWgaaWcbaWdbiaadQhaa8aabeaaaaaa k8qacaGLhWUaayjcSdWdamaaBaaaleaapeGaamOEaiabg2da9iaaic daa8aabeaak8qacqGHxdaTcaa5GcGaaqoOaiaaKdkacaa5GcGaaqoO aiaaKdkacaa5GcGaaqoOaaaa@5FCE@                 (36)

× u R + ξ 2 u * R ξ 2 e i K ξ d ξ (2π) 2 . MathType@MTEF@5@5@+= feaahGart1ev3aqatCvAUfeBSjuyZL2yd9gzLbvyNv2Caerbov2D09 MBdbqedmvETj2BSbqeeuuDJXwAKbsr4rNCHbGeaGqik8fkY=xipgYl h9vqqj=hEeeu0xXdi9arFj0xirFj0dXdbba91qpK0=yr0RYxfr=Jbb f9q8aq0=yq=He9q8qqQ8frFve9Fve9Ff0dmeaabaqaciaacaGaaeqa baqabeGadaaakeaaqaaaaaaaaaWdbiabgEna0kaaysW7daWdbaqaai aaK3aicaWG1bWaaeWaa8aabaWdbiaahkfapaWaaSbaaSqaa8qacqGH LkIxa8aabeaak8qacqGHRaWkdaWcaaWdaeaapeGaeqOVdG3damaaBa aaleaapeGaeyyPI4fapaqabaaakeaapeGaaGOmaaaaaiaawIcacaGL PaaacaWG1bWdamaaCaaaleqabaWdbiaabQcaaaGcdaqadaWdaeaape GaaCOua8aadaWgaaWcbaWdbiabgwQiEbWdaeqaaOWdbiabgkHiTmaa laaapaqaa8qacqaH+oaEpaWaaSbaaSqaa8qacqGHLkIxa8aabeaaaO qaa8qacaaIYaaaaaGaayjkaiaawMcaaiaabwgapaWaaWbaaSqabeaa peGaeyOeI0IaamyAaiaahUeapaWaaSbaaWqaa8qacqGHLkIxa8aabe aal8qacqaH+oaEpaWaaSbaaWqaa8qacqGHLkIxa8aabeaaaaGcpeWa aSaaa8aabaWdbiaadsgacqaH+oaEpaWaaSbaaSqaa8qacqGHLkIxa8 aabeaaaOqaa8qacaGGOaGaaGOmaiabec8aWjaacMcapaWaaWbaaSqa beaapeGaaGOmaaaaaaGccaGGUaaaleqabeqdcqGHRiI8aaaa@6422@

Итак, мы пришли к физически понятному результату – шестимерная функция Вигнера для полного поля (35) определяется через четырехмерную начальную функцию Вигнера (36), вычисленную по заданному двумерному распределению комплексной амплитуды на границе области моделирования.

В качестве важного практического примера рассмотрим волновое поле с обобщенным гауссовским распределением

u x,y = 1 π a x a y exp x 2 2 a x 2 y 2 2 a y 2 i k 0 x 2 2 R x i k 0 y 2 2 R x i k 0 xy R xy +i k x x+i k y y , MathType@MTEF@5@5@+= feaahGart1ev3aaatCvAUfeBSjuyZL2yd9gzLbvyNv2Caerbov2D09 MBdbqedmvETj2BSbqeeuuDJXwAKbsr4rNCHbGeaGqik8fkY=xipgYl h9vqqj=hEeeu0xXdi9arFj0xirFj0dXdbba91qpK0=yr0RYxfr=Jbb f9q8aq0=yq=He9q8qqQ8frFve9Fve9Ff0dmeaabaqaciaacaGaaeqa baqabeGadaaakqaaceqaaabaaaaaaaaapeGaamyDamaabmaapaqaa8 qacaWG4bGaaiilaiaadMhaaiaawIcacaGLPaaacqGH9aqpdaWcaaWd aeaapeGaaGymaaWdaeaapeWaaOaaa8aabaWdbiabec8aWjaadggapa WaaSbaaSqaa8qacaWG4baapaqabaGcpeGaamyya8aadaWgaaWcbaWd biaadMhaa8aabeaaa8qabeaaaaGccaqGLbGaaeiEaiaabchadaqaba qaaiabgkHiTmaalaaapaqaa8qacaWG4bWdamaaCaaaleqabaWdbiaa ikdaaaaak8aabaWdbiaaikdacaWGHbWdamaaDaaaleaapeGaamiEaa WdaeaapeGaaGOmaaaaaaGccqGHsisldaWcaaWdaeaapeGaamyEa8aa daahaaWcbeqaa8qacaaIYaaaaaGcpaqaa8qacaaIYaGaamyya8aada qhaaWcbaWdbiaadMhaa8aabaWdbiaaikdaaaaaaOGaeyOeI0YaaSaa a8aabaWdbiaadMgacaWGRbWdamaaBaaaleaapeGaaGimaaWdaeqaaO WdbiaadIhapaWaaWbaaSqabeaapeGaaGOmaaaaaOWdaeaapeGaaGOm aiaadkfapaWaaSbaaSqaa8qacaWG4baapaqabaaaaOWdbiabgkHiTa GaayjkaaaabaWaaeGaaeaacqGHsisldaWcaaWdaeaapeGaamyAaiaa dUgapaWaaSbaaSqaa8qacaaIWaaapaqabaGcpeGaamyEa8aadaahaa Wcbeqaa8qacaaIYaaaaaGcpaqaa8qacaaIYaGaamOua8aadaWgaaWc baWdbiaadIhaa8aabeaaaaGcpeGaeyOeI0YaaSaaa8aabaWdbiaadM gacaWGRbWdamaaBaaaleaapeGaaGimaaWdaeqaaOWdbiaadIhacaWG 5baapaqaa8qacaWGsbWdamaaBaaaleaapeGaamiEaiaadMhaa8aabe aaaaGcpeGaey4kaSIaamyAaiaadUgapaWaaSbaaSqaa8qacaWG4baa paqabaGcpeGaamiEaiabgUcaRiaadMgacaWGRbWdamaaBaaaleaape GaamyEaaWdaeqaaOWdbiaadMhaaiaawMcaaiaacYcaaaaa@79FB@

заданное в вакууме,

H'= K x 2 + K y 2 + K z 2 k 0 2 . MathType@MTEF@5@5@+= feaahGart1ev3aqatCvAUfeBSjuyZL2yd9gzLbvyNv2Caerbov2D09 MBdbqedmvETj2BSbqeeuuDJXwAKbsr4rNCHbGeaGqik8fkY=xipgYl h9vqqj=hEeeu0xXdi9arFj0xirFj0dXdbba91qpK0=yr0RYxfr=Jbb f9q8aq0=yq=He9q8qqQ8frFve9Fve9Ff0dmeaabaqaciaacaGaaeqa baqabeGadaaakeaaqaaaaaaaaaWdbiaadIeacaqGNaGaeyypa0Jaam 4sa8aadaqhaaWcbaWdbiaadIhaa8aabaWdbiaaikdaaaGccqGHRaWk caWGlbWdamaaDaaaleaapeGaamyEaaWdaeaapeGaaGOmaaaakiabgU caRiaadUeapaWaa0baaSqaa8qacaWG6baapaqaa8qacaaIYaaaaOGa eyOeI0Iaam4Aa8aadaqhaaWcbaWdbiaaicdaa8aabaWdbiaaikdaaa GccaGGUaaaaa@42E3@

Отвечающая этим условиям начальная функция Вигнера (35) есть

W z=0 X,Y, K x , K y , K z = MathType@MTEF@5@5@+= feaahGart1ev3aqatCvAUfeBSjuyZL2yd9gzLbvyNv2Caerbov2D09 MBdbqedmvETj2BSbqeeuuDJXwAKbsr4rNCHbGeaGqik8fkY=xipgYl h9vqqj=hEeeu0xXdi9arFj0xirFj0dXdbba91qpK0=yr0RYxfr=Jbb f9q8aq0=yq=He9q8qqQ8frFve9Fve9Ff0dmeaabaqaciaacaGaaeqa baqabeGadaaakeaaqaaaaaaaaaWdbiaadEfapaWaaWbaaSqabeaape WaaeWaa8aabaWdbiaadQhacqGH9aqpcaaIWaaacaGLOaGaayzkaaaa aOWaaeWaa8aabaWdbiaadIfacaGGSaGaamywaiaacYcacaWGlbWdam aaBaaaleaapeGaamiEaaWdaeqaaOWdbiaacYcacaWGlbWdamaaBaaa leaapeGaamyEaaWdaeqaaOWdbiaacYcacaWGlbWdamaaBaaaleaape GaamOEaaWdaeqaaaGcpeGaayjkaiaawMcaaiabg2da9aaa@44B3@

= 1 π 2  δ K z k 0 2 K x 2 K y 2   × MathType@MTEF@5@5@+= feaahGart1ev3aqatCvAUfeBSjuyZL2yd9gzLbvyNv2Caerbov2D09 MBdbqedmvETj2BSbqeeuuDJXwAKbsr4rNCHbGeaGqik8fkY=xipgYl h9vqqj=hEeeu0xXdi9arFj0xirFj0dXdbba91qpK0=yr0RYxfr=Jbb f9q8aq0=yq=He9q8qqQ8frFve9Fve9Ff0dmeaabaqaciaacaGaaeqa baqabeGadaaakeaaqaaaaaaaaaWdbiabg2da9maalaaapaqaa8qaca aIXaaapaqaa8qacqaHapaCpaWaaWbaaSqabeaapeGaaGOmaaaaaaGc caa5GcGaeqiTdq2aaeWaa8aabaWdbiaadUeapaWaaSbaaSqaa8qaca WG6baapaqabaGcpeGaeyOeI0YaaOaaa8aabaWdbiaadUgapaWaa0ba aSqaa8qacaaIWaaapaqaa8qacaaIYaaaaOGaeyOeI0Iaam4sa8aada qhaaWcbaWdbiaadIhaa8aabaWdbiaaikdaaaGccqGHsislcaWGlbWd amaaDaaaleaapeGaamyEaaWdaeaapeGaaGOmaaaaaeqaaOGaaqoOaa GaayjkaiaawMcaaiabgEna0caa@4C8A@

×exp X 2 a x 2 a x 2 K x k x + k 0 X R x + k 0 Y R xy 2 MathType@MTEF@5@5@+= feaahGart1ev3aqatCvAUfeBSjuyZL2yd9gzLbvyNv2Caerbov2D09 MBdbqedmvETj2BSbqeeuuDJXwAKbsr4rNCHbGeaGqik8fkY=xipgYl h9vqqj=hEeeu0xXdi9arFj0xirFj0dXdbba91qpK0=yr0RYxfr=Jbb f9q8aq0=yq=He9q8qqQ8frFve9Fve9Ff0dmeaabaqaciaacaGaaeqa baqabeGadaaakeaaqaaaaaaaaaWdbiabgEna0kaaysW7caqGLbGaae iEaiaabchadaWabaqaaiabgkHiTmaalaaapaqaa8qacaWGybWdamaa CaaaleqabaWdbiaaikdaaaaak8aabaWdbiaadggapaWaa0baaSqaa8 qacaWG4baapaqaa8qacaaIYaaaaaaakiabgkHiTiaadggapaWaa0ba aSqaa8qacaWG4baapaqaa8qacaaIYaaaaOWaaeWaa8aabaWdbiaadU eapaWaaSbaaSqaa8qacaWG4baapaqabaGcpeGaeyOeI0Iaam4Aa8aa daWgaaWcbaWdbiaadIhaa8aabeaak8qacqGHRaWkdaWcaaWdaeaape Gaam4Aa8aadaWgaaWcbaWdbiaaicdaa8aabeaak8qacaWGybaapaqa a8qacaWGsbWdamaaBaaaleaapeGaamiEaaWdaeqaaaaak8qacqGHRa WkdaWcaaWdaeaapeGaam4Aa8aadaWgaaWcbaWdbiaaicdaa8aabeaa k8qacaWGzbaapaqaa8qacaWGsbWdamaaBaaaleaapeGaamiEaiaadM haa8aabeaaaaaak8qacaGLOaGaayzkaaWdamaaCaaaleqabaWdbiaa ikdaaaGccqGHsislaiaawUfaaaaa@59FA@

Y 2 a y 2 a y 2 K y k y + k 0 Y R y + k 0 X R xy 2 .  MathType@MTEF@5@5@+= feaahGart1ev3aqatCvAUfeBSjuyZL2yd9gzLbvyNv2Caerbov2D09 MBdbqedmvETj2BSbqeeuuDJXwAKbsr4rNCHbGeaGqik8fkY=xipgYl h9vqqj=hEeeu0xXdi9arFj0xirFj0dXdbba91qpK0=yr0RYxfr=Jbb f9q8aq0=yq=He9q8qqQ8frFve9Fve9Ff0dmeaabaqaciaacaGaaeqa baqabeGadaaakeaaqaaaaaaaaaWdbmaadiaabaGaeyOeI0YaaSaaa8 aabaWdbiaadMfapaWaaWbaaSqabeaapeGaaGOmaaaaaOWdaeaapeGa amyya8aadaqhaaWcbaWdbiaadMhaa8aabaWdbiaaikdaaaaaaOGaey OeI0Iaamyya8aadaqhaaWcbaWdbiaadMhaa8aabaWdbiaaikdaaaGc daqadaWdaeaapeGaam4sa8aadaWgaaWcbaWdbiaadMhaa8aabeaak8 qacqGHsislcaWGRbWdamaaBaaaleaapeGaamyEaaWdaeqaaOWdbiab gUcaRmaalaaapaqaa8qacaWGRbWdamaaBaaaleaapeGaaGimaaWdae qaaOWdbiaadMfaa8aabaWdbiaadkfapaWaaSbaaSqaa8qacaWG5baa paqabaaaaOWdbiabgUcaRmaalaaapaqaa8qacaWGRbWdamaaBaaale aapeGaaGimaaWdaeqaaOWdbiaadIfaa8aabaWdbiaadkfapaWaaSba aSqaa8qacaWG4bGaamyEaaWdaeqaaaaaaOWdbiaawIcacaGLPaaapa WaaWbaaSqabeaapeGaaGOmaaaaaOGaayzxaaGaaiOlaiaaKdkaaaa@54D4@

9. Плотность потока энергии

Одновременно со скалярной функцией Вигнера, в квазиоптическом приближении может быть найдено выражение для плотности потока энергии монохроматического электромагнитного поля в плавнонеоднородной слабодиссипативной среде с пространственной дисперсией.

Рассмотрим сначала случай среды без пространственной дисперсии, в которой средняя плотность потока энергии равна вектору Пойнтинга, см., например, формулу (9.5) § 9 гл. 2 [37]:

S0=c8πReE×B*.

Учитывая связь между электрическим и магнитным полем, B*=ik01×E*, следующую из уравнений Максвелла для expiωt-процессов, получаем

S0γ=c8πk0αReiEαEα*xγiEαEγ*xα,

где S0γ – проекция вектора Пойнтинга на декартову ось γ. Воспользовавшись (12), можно выразить квадратичные по полю величины через тензор Вигнера:

S0γ=c16πk0α2KγWααKα Wαγ+WγαixαWγαWαγdK. (37)

Подынтегральную часть в квадратных скобках можно интерпретировать как суммирование по вкладам от всех плоских волн. Оставшееся слагаемое с производными от тензора Вигнера описывает дополнительный поток энергии, возникающий, например, в пучке циркулярно поляризованных волн из-за неоднородного распределения момента импульса поля или за счет линейного взаимодействия нормальных мод. Этот вклад важен для интерпретации тонких эффектов, таких как смещение Федорова–Имберта [51]. Однако в квазиоптическом приближении члены с производными от тензора Вигнера появляются в S0 в следующем порядке и ими можно пренебречь. С этой же точностью тензор ВигнераWγα  определяется по скалярной функции Вигнера W с помощью соотношения (18).

Известно, что в среде с пространственной дисперсией плотность потока энергии S=S0+T отличается от вектора Пойнтинга ([37], § 9 гл. 2). Связанный с пространственной дисперсией дополнительный член T в плотности потока энергии довольно изящным способом можно связать с тензорной функцией Вигнера. Этот вывод для случая плавнонеоднородной среды приведен в Приложении 2. Поправка к плотности потока энергии может быть выражена следующим образом:

Tγ=ω16πα,βε'αβKγWβαdK,     (38)

где ε'αβR,K – эрмитова часть тензора вейлевского представления диэлектрического оператора . Комбинируя (37), в котором отбросили последнее слагаемое, и (38), получаем плотность потока энергии в виде

Sγ=c16πk0α,β2KγWααKα Wαγ+Wγα

k02ε'αβKγWβαdK=c16πk0α,βD'αβKγWβαdK.

Выражение в фигурных скобках удалось упростить, используя соотношение (14) для эрмитовой части D'αβ вейлевского представления волнового оператора. Подставим под интеграл тензорную функцию Вигнера в виде (18), воспользуемся дисперсионным соотношением (28) и следующим из него соотношением βD'αβeβ=0 εαβ, получим

α,βD'αβKγ eβeα* W=α,βKγeα*eβD'αβ W=H'KγW,

где H' – действительная часть вейлевского представления оператора Гамильтона (17). В итоге получаем

Sγr=c16πk0H'r,KKγWr,KdK.   (39)

Таким образом, мы приходим к универсальному выражению, не зависящему от наличия или отсутствия пространственной дисперсии среды. Вычисление декартовой компоненты вектора плотности потока энергии сводится к вычислению свертки скалярной функции Вигнера с производной от действительной части гамильтониана по соответствующей компоненте волнового вектора. Очевидно, это равенство можно трактовать и как векторное, связывающее S и H'/K.

Подставим теперь в выражение (39) полученное ранее решение для функции Вигнера. Прежде чем переходить к общему случаю, рассмотрим поток энергии через плоскость z = 0, в которой задаются начальные условия. Функция Вигнера в этом случае определяется выражением (35), а нормальная компонента плотности потока энергии есть

   SzR=w dK,    w=c16πk0W0R,K.   (40)

При получении этой формулы производная от гамильтониана сократилась, при этом мы учли, что H'/Kz>0. Физически последнее условие означает, что все характеристики (лучи) выпускаются в “положительном” направлении оси z. Полный поток энергии через плоскость z=0 равен

P0=w dRdK.

К общему случаю можно перейти с помощью наглядных физических соображений. Для этого заметим, что величина wR,K имеет смысл доли полной мощности, приходящейся на один луч с начальными координатами R и импульсами 0 K. С другой стороны, диссипация этой мощности может быть описана как затухание  вдоль луча в соответствии с уравнением (30) и его решением (31). Поэтому полный поток энергии, протекающий через некоторую произвольную ориентированную поверхность Г с нормалью n, равен

   P=signH'Knexp0τ*2H''dτw dRdK.  (41)

Интеграл берется по всем начальным поперечным координатам и импульсам, для которых характеристика пересекает поверхность Г, функция начальных условий τ*R,K определяет значение эволюционной переменной, при котором луч пересекает поверхность Г, а экспонента определяет коэффициент ослабления интенсивности для каждого луча. В общем случае лучи могут пересекать поверхность с разных сторон – это учитывает дополнительный множитель signH'/Kn, который должен вычисляться в точке на поверхности; здесь Kn – компонента импульса вдоль нормали к поверхности.

К такому же результату можно прийти и более формальным и математически строгим путем. Для этого рассмотрим поток энергии через элементарную площадку dRГ = dR1dR2 поверхности Г с нормалью n. В рассматриваемой точке на поверхности разложим импульс на продольную и поперечную составляющие по отношению к нормали,

K = Knn + KГ,

где КГ = (К1, К2) есть двумерный волновой вектор, отвечающий локальным координатам RГ = (R1, R2). Поток энергии через элементарную площадку определяется из (39) как

SndRГ=c16πk0H'KnW(RГK)dKndKГdRГ.

Подставим сюда наше общее решение (32) для функции Вигнера. Интеграл по Kn можно взять за счет δH', при этом производные гамильтониана сокращаются (остается только знак), а оставшаяся часть функции Вигнера выражается через формулу (31). В итоге c учетом определения w (40) получаем

SndRГ=signH'Knexp0τ*2H''dτwdKГdRГ. (42)

Здесь τ* по прежнему есть значение эволюционной переменной, при котором луч пересекает поверхность.

Неудобство выражения (42) связано с тем, что интегрирование в нем подразумевается по конечным точкам пути RГ KГ, в то время как удельный вес w и точка остановки τ* лучей определяются начальными условиями R,K на плоскости z=0. Чтобы избежать необходимости решать обратную задачу вдоль характеристик, можно воспользоваться теорией интегральных инвариантов гамильтоновых систем ([50], § 122), позволяющей перейти к интегрированию по начальным условиям. Для этого воспользуемся теоремой о понижении порядка автономной системы уравнений Гамильтона, которая утверждает, что поскольку величина τ явно не входит в гамильтониан H, то эволюция величин RГ и KГ будет также описываться с помощью некоторой системы уравнений Гамильтона[1]. Для этой новой системы воспользуемся теоремой Лиувилля, утверждающей о сохранении фазового объема при эволюции во времени для любой гамильтоновой системы. В нашем случае это сохранение четырехмерного фазового объема

dRГdКГ=dRdК.

В результате в (42) можно перейти к интегрированию по начальным поперечным координатам и импульсам, после чего это выражение становится полностью эквивалентным (41).

Аналогичным образом может быть построена плотность мощности, поглощаемой в объеме dV в окрестности точки R. Для этого достаточно заметить, что эта мощность определяется правой частью (30) и заменить интегрирование по лучам, которые пересекают поверхность Г, на интегрирование по лучам, которые приходят в точку R. В результате можно получить

   dPrdV=02H''τexp0τ2H''τ'dτ'×

×δrRτ,R,K w dτ dRdK.   (43)

На практике численное вычисление интегралов такого вида удобно реализовать в виде подсчета гистограммы – фазовое пространство разбивается на ячейки, выпускается набор лучей с разными начальными условиями так, чтобы покрыть всю интересующую нас область фазового пространства, и подсчитывается количество попаданий лучей в каждую ячейку фазового пространства с учетом набранного веса. В данном случае весом выступает плотность мощности вдоль луча dW/dτ.

Указанные рассуждения сохраняют силу и для стохастических уравнений Гамильтона (34), если стохастическая сила сохраняет гамильтониан и все манипуляции с фазовыми объемами проводятся для одной “замороженной” реализации случайной силы G. Для этой реализации необходимо посчитать интегралы (41) и (43) по всем начальным условиям, и только потом переходить к следующей реализации для набора статистики.

В дополнение к сравнению метода функций Вигнера и метода эволюционного квазиоптического уравнения, приведенному в разделе 5, отметим, что первый метод значительно более экономичен к памяти компьютера. Действительно, при вычислении интегралов вида (41) или (43) методом гистограмм размер необходимой памяти определяется только размерностью левой части, у нас нет необходимости запоминать координаты лучей в шестимерном пространстве. Высокая размерность задачи проявляется только в пространстве начальных условий (четырехмерном), что сказывается на времени вычислений, но не на требованиях к памяти. При вычислении гистограмм начальные условия можно перебирать один за другим последовательно в любом порядке, кроме того, эта задача естественным образом распараллеливается. С другой стороны, при реализации квазиоптического расчета, основанного на уравнении (23), на каждом шаге по эволюционной координате t необходимо вычислять псевдодифференциальный оператор H^QO. В общем случае эта операция в четырехмерном пространстве, отвечающем двум координатам поперек опорного луча и сопряженным им каноническим импульсам. Поэтому, если для хранения u¯τ,r для заданного t использовать двумерный массив с числом элементов n×n, то для вычисления H^QOu¯ потребуется хранить в памяти четырехмерный массив с числом элементов On4.

10. Пример

В качестве иллюстрации применения описанной техники расчета рассмотрим схему ЭЦ нагрева плазмы в токамаке Т-15МД на третьей гармонике гирочастоты, предложенную в [9]. В этой схеме предполагается вертикальный ввод излучения с частотой 140 ГГц и поляризацией, отвечающей необыкновенной волне, через верхний порт токамака. Магнитное поле на оси токамака при этом составляет 1.67 Тл, что соответствует ЭЦ резонансу на третьей гармонике. В статье [9] были проведены довольно грубые оценки на основе геометрической оптики, показавшие, что при характерных ожидаемых параметрах разряда в токамаке Т-15МД и углах ввода изучения в районе 3 MathType@MTEF@5@5@+= feaahGart1ev3aqatCvAUfeBSjuyZL2yd9gzLbvyNv2CaerbuLwBLn hiov2DGi1BTfMBaeXatLxBI9gBaerbd9wDYLwzYbItLDharqqtubsr 4rNCHbGeaGqiVu0Je9sqqrpepC0xbbL8F4rqqrFfpeea0xe9Lq=Jc9 vqaqpepm0xbba9pwe9Q8fs0=yqaqpepae9pg0FirpepeKkFr0xfr=x fr=xb9adbaqaaeGaciGaaiaabeqaamaabaabaaGcbaacbaqcLbwaqa aaaaaaaaWdbiaa=nbiaaa@37A4@ 10° к вертикали можно добиться поглощения более 99% от вводимой мощности СВЧ-излучения. Приведенный ниже анализ приводит к более скромным оценкам поглощаемой мощности.

Для расчета ЭЦ поглощения методом кинетического уравнения использовался лучевой гамильтониан в слаборелятивистской плазме [12]. Для каждого из рассмотренных сценариев был проведен расчет:

·        пространственного распределения интенсивности поля, u r 2 =W r,K dK; MathType@MTEF@5@5@+= feaahGart1ev3aqatCvAUfeBSjuyZL2yd9gzLbvyNv2Caerbov2D09 MBdbqedmvETj2BSbqeeuuDJXwAKbsr4rNCHbGeaGqik8fkY=xipgYl h9vqqj=hEeeu0xXdi9arFj0xirFj0dXdbba91qpK0=yr0RYxfr=Jbb f9q8aq0=yq=He9q8qqQ8frFve9Fve9Ff0dmeaabaqaciaacaGaaeqa baqabeGadaaakeaaqaaaaaaaaaWdbmaaemaabaGaamyDamaabmaapa qaa8qacaWHYbaacaGLOaGaayzkaaaacaGLhWUaayjcSdWdamaaCaaa leqabaWdbiaaikdaaaGccqGH9aqpcqGHRiI8caa5naIaam4vamaabm aapaqaa8qacaWHYbGaaiilaiaahUeaaiaawIcacaGLPaaacaWGKbGa aC4saiaacUdaaaa@445F@

·        профиля поглощения СВЧ-мощности, определяемого аналогично (43), Π ρ = P 0 1 dP/dρ MathType@MTEF@5@5@+= feaahGart1ev3aqatCvAUfeBSjuyZL2yd9gzLbvyNv2Caerbov2D09 MBdbqedmvETj2BSbqeeuuDJXwAKbsr4rNCHbGeaGqik8fkY=xipgYl h9vqqj=hEeeu0xXdi9arFj0xirFj0dXdbba91qpK0=yr0RYxfr=Jbb f9q8aq0=yq=He9q8qqQ8frFve9Fve9Ff0dmeaabaqaciaacaGaaeqa baqabeGadaaakeaaqaaaaaaaaaWdbiaaKd6adaqadaWdaeaapeGaeq yWdihacaGLOaGaayzkaaGaeyypa0Jaamiua8aadaqhaaWcbaWdbiaa icdaa8aabaWdbiabgkHiTiaaigdaaaGccaWGKbGaamiuaiaac+caca WGKbGaeqyWdihaaa@3FE8@ ,

где

dP dρ = 0 2 H τ exp 0 τ 2 H τ d τ × MathType@MTEF@5@5@+= feaahGart1ev3aqatCvAUfeBSjuyZL2yd9gzLbvyNv2Caerbov2D09 MBdbqedmvETj2BSbqeeuuDJXwAKbsr4rNCHbGeaGqik8fkY=xipgYl h9vqqj=hEeeu0xXdi9arFj0xirFj0dXdbba91qpK0=yr0RYxfr=Jbb f9q8aq0=yq=He9q8qqQ8frFve9Fve9Ff0dmeaabaqaciaacaGaaeqa baqabeGadaaakeaaqaaaaaaaaaWdbmaalaaapaqaa8qacaWGKbGaam iuaaWdaeaapeGaamizaiabeg8aYbaacqGH9aqpcqGHsislcqGHRiI8 caa5naYaaubmaeqal8aabaWdbiaaicdaa8aabaWdbiabe6HiLcqdpa qaa8qacqGHRiI8aaGccaa5naIaaGOmaiqadIeagaGbamaabmaapaqa a8qacqaHepaDaiaawIcacaGLPaaacaqGLbGaaeiEaiaabchadaqada WdaeaapeWaaubmaeqal8aabaWdbiaaicdaa8aabaWdbiabes8a0bqd paqaa8qacqGHRiI8aaGccaa5naIaaGOmaiqadIeagaGbamaabmaapa qaa8qacuaHepaDgaqbaaGaayjkaiaawMcaaiaadsgacuaHepaDgaqb aaGaayjkaiaawMcaaiabgEna0caa@5A0E@

×δ ρρ R τ, R , K  w dτ d R d K ; MathType@MTEF@5@5@+= feaahGart1ev3aqatCvAUfeBSjuyZL2yd9gzLbvyNv2Caerbov2D09 MBdbqedmvETj2BSbqeeuuDJXwAKbsr4rNCHbGeaGqik8fkY=xipgYl h9vqqj=hEeeu0xXdi9arFj0xirFj0dXdbba91qpK0=yr0RYxfr=Jbb f9q8aq0=yq=He9q8qqQ8frFve9Fve9Ff0dmeaabaqaciaacaGaaeqa baqabeGadaaakeaaqaaaaaaaaaWdbiabgEna0kabes7aKnaabmaapa qaa8qacqaHbpGCcqGHsislcqaHbpGCdaqadaWdaeaapeGaaCOuamaa bmaapaqaa8qacqaHepaDcaGGSaGaaCOua8aadaWgaaWcbaWdbiabgw QiEbWdaeqaaOWdbiaacYcacaWHlbWdamaaBaaaleaapeGaeyyPI4fa paqabaaak8qacaGLOaGaayzkaaaacaGLOaGaayzkaaaacaGLOaGaay zkaaGaaqoOaiaadEhacaa5GcGaamizaiabes8a0jaaKdkacaWGKbGa aCOua8aadaWgaaWcbaWdbiabgwQiEbWdaeqaaOWdbiaadsgacaWHlb WdamaaBaaaleaapeGaeyyPI4fapaqabaGcpeGaai4oaaaa@590B@

·        доли поглощенной мощности, Q= Π ρ  dρ MathType@MTEF@5@5@+= feaahGart1ev3aqatCvAUfeBSjuyZL2yd9gzLbvyNv2Caerbov2D09 MBdbqedmvETj2BSbqeeuuDJXwAKbsr4rNCHbGeaGqik8fkY=xipgYl h9vqqj=hEeeu0xXdi9arFj0xirFj0dXdbba91qpK0=yr0RYxfr=Jbb f9q8aq0=yq=He9q8qqQ8frFve9Fve9Ff0dmeaabaqaciaacaGaaeqa baqabeGadaaakeaaqaaaaaaaaaWdbiaadgfacqGH9aqpcaa5naYaa8 qaaeaacqqHGoaudaqadaWdaeaapeGaeqyWdihacaGLOaGaayzkaaGa aqoOaiaadsgacqaHbpGCaSqabeqaniabgUIiYdaaaa@3F2A@ .

Для нахождения функции Вигнера в шестимерном фазовом пространстве были использованы 810 000 лучевых траекторий, отвечающей сетке 30×30×30×30 MathType@MTEF@5@5@+= feaahGart1ev3aqatCvAUfeBSjuyZL2yd9gzLbvyNv2Caerbov2D09 MBdbqedmvETj2BSbqeeuuDJXwAKbsr4rNCHbGeaGqik8fkY=xipgYl h9vqqj=hEeeu0xXdi9arFj0xirFj0dXdbba91qpK0=yr0RYxfr=Jbb f9q8aq0=yq=He9q8qqQ8frFve9Fve9Ff0dmeaabaqaciaacaGaaeqa baqabeGadaaakeaaqaaaaaaaaaWdbiaaiodacaaIWaGaey41aqRaaG 4maiaaicdacqGHxdaTcaaIZaGaaGimaiabgEna0kaaiodacaaIWaaa aa@3D4C@  в черырехмерном пространстве начальных условий. Расчеты были выполнены двумя способами MathType@MTEF@5@5@+= feaahGart1ev3aqatCvAUfeBSjuyZL2yd9gzLbvyNv2CaerbuLwBLn hiov2DGi1BTfMBaeXatLxBI9gBaerbd9wDYLwzYbItLDharqqtubsr 4rNCHbGeaGqiVu0Je9sqqrpepC0xbbL8F4rqqrFfpeea0xe9Lq=Jc9 vqaqpepm0xbba9pwe9Q8fs0=yqaqpepae9pg0FirpepeKkFr0xfr=x fr=xb9adbaqaaeGaciGaaiaabeqaamaabaabaaGcbaacbaqcLbwaqa aaaaaaaaWdbiaa=nbiaaa@37A4@  с помощью кинетического уравнения (33), учитывающего диффузионные поправки во втором приближении, и с помощью уравнения первого порядка (26) без учета диффузионных членов.

Для моделирования были выбраны следующие параметры на магнитной оси системы: электронная температура 3 кэВ, плотность плазмы 4 10 13 MathType@MTEF@5@5@+= feaahGart1ev3aqatCvAUfeBSjuyZL2yd9gzLbvyNv2Caerbov2D09 MBdbqedmvETj2BSbqeeuuDJXwAKbsr4rNCHbGeaGqik8fkY=xipgYl h9vqqj=hEeeu0xXdi9arFj0xirFj0dXdbba91qpK0=yr0RYxfr=Jbb f9q8aq0=yq=He9q8qqQ8frFve9Fve9Ff0dmeaabaqaciaacaGaaeqa baqabeGadaaakeaaqaaaaaaaaaWdbiaaisdacqGHflY1caaIXaGaaG ima8aadaahaaWcbeqaa8qacaaIXaGaaG4maaaaaaa@376C@  см–3, магнитное поле 1.67 Тл. Используемые в расчетах профили температуры и плотности плазмы приведены на рис. 1. Метки магнитной поверхности вычислялись как квадратный корень из нормированного полоидального магнитного потока ψ MathType@MTEF@5@5@+= feaahGart1ev3aqatCvAUfeBSjuyZL2yd9gzLbvyNv2Caerbov2D09 MBdbqedmvETj2BSbqeeuuDJXwAKbsr4rNCHbGeaGqik8fkY=xipgYl h9vqqj=hEeeu0xXdi9arFj0xirFj0dXdbba91qpK0=yr0RYxfr=Jbb f9q8aq0=yq=He9q8qqQ8frFve9Fve9Ff0dmeaabaqaciaacaGaaeqa baqabeGadaaakeaaqaaaaaaaaaWdbiabeI8a5baa@32F9@ :

ρ r = ψ ψ axis / ψ sep ψ axis . MathType@MTEF@5@5@+= feaahGart1ev3aqatCvAUfeBSjuyZL2yd9gzLbvyNv2Caerbov2D09 MBdbqedmvETj2BSbqeeuuDJXwAKbsr4rNCHbGeaGqik8fkY=xipgYl h9vqqj=hEeeu0xXdi9arFj0xirFj0dXdbba91qpK0=yr0RYxfr=Jbb f9q8aq0=yq=He9q8qqQ8frFve9Fve9Ff0dmeaabaqaciaacaGaaeqa baqabeGadaaakeaaqaaaaaaaaaWdbiabeg8aYnaabmaapaqaa8qaca WHYbaacaGLOaGaayzkaaGaeyypa0ZaaOaaa8aabaWdbmaabmaapaqa a8qacqaHipqEcqGHsislcqaHipqEpaWaaSbaaSqaa8qacaqGHbGaae iEaiaabMgacaqGZbaapaqabaaak8qacaGLOaGaayzkaaGaai4lamaa bmaapaqaa8qacqaHipqEpaWaaSbaaSqaa8qacaqGZbGaaeyzaiaabc haa8aabeaak8qacqGHsislcqaHipqEpaWaaSbaaSqaa8qacaqGHbGa aeiEaiaabMgacaqGZbaapaqabaaak8qacaGLOaGaayzkaaaaleqaaO GaaiOlaaaa@504E@

 

Рис. 1. Профили электронной температуры (а) и плотности плазмы (б), использованные в моделировании.

 

Магнитная конфигурация была аналогична [9]. Начальный СВЧ пучок соответствовал системе ввода излучения токамака Т-15МД. Его полуширина в области перетяжки в вакууме по уровню интенсивности 1/e MathType@MTEF@5@5@+= feaahGart1ev3aqatCvAUfeBSjuyZL2yd9gzLbvyNv2Caerbov2D09 MBdbqedmvETj2BSbqeeuuDJXwAKbsr4rNCHbGeaGqik8fkY=xipgYl h9vqqj=hEeeu0xXdi9arFj0xirFj0dXdbba91qpK0=yr0RYxfr=Jbb f9q8aq0=yq=He9q8qqQ8frFve9Fve9Ff0dmeaabaqaciaacaGaaeqa baqabeGadaaakeaaqaaaaaaaaaWdbiaaigdacaGGVaGaamyzaaaa@3383@  составляла 2.2 см, на входе она составляла 3.12 см при радиусе кривизны фазового фронта в 284 см. Точка ввода пучка (координаты центра пучка) задавалась на высоте 142 см от экваториальной плоскости.

Были рассчитаны два сценария ЭЦ-нагрева, в обоих случаях вводимый СВЧ-пучок в вакууме нацеливался на магнитную ось системы. В первом сценарии угол ввода пучка составлял 5° к вертикали, во втором MathType@MTEF@5@5@+= feaahGart1ev3aqatCvAUfeBSjuyZL2yd9gzLbvyNv2CaerbuLwBLn hiov2DGi1BTfMBaeXatLxBI9gBaerbd9wDYLwzYbItLDharqqtubsr 4rNCHbGeaGqiVu0Je9sqqrpepC0xbbL8F4rqqrFfpeea0xe9Lq=Jc9 vqaqpepm0xbba9pwe9Q8fs0=yqaqpepae9pg0FirpepeKkFr0xfr=x fr=xb9adbaqaaeGaciGaaiaabeqaamaabaabaaGcbaacbaqcLbwaqa aaaaaaaaWdbiaa=nbiaaa@37A4@  10° к вертикали, при этом мы смещали горизонтальную координату точки ввода излучения.

Результаты моделирования приведены на рис. 2. Эффективность поглощения для ввода СВЧ-пучка под углом 5° к вертикали составляет 32%, при этом энерговклад локализован в окрестности магнитной оси. Моделирование показало важность учета диффузионных членов в кинетическом уравнении MathType@MTEF@5@5@+= feaahGart1ev3aqatCvAUfeBSjuyZL2yd9gzLbvyNv2CaerbuLwBLn hiov2DGi1BTfMBaeXatLxBI9gBaerbd9wDYLwzYbItLDharqqtubsr 4rNCHbGeaGqiVu0Je9sqqrpepC0xbbL8F4rqqrFfpeea0xe9Lq=Jc9 vqaqpepm0xbba9pwe9Q8fs0=yqaqpepae9pg0FirpepeKkFr0xfr=x fr=xb9adbaqaaeGaciGaaiaabeqaamaabaabaaGcbaacbaqcLbwaqa aaaaaaaaWdbiaa=nbiaaa@37A4@  эффективность поглощения, рассчитанная без учета этих членов, составила 21%. Отметим, что эффективность поглощения в данном случае в основном ограничивается отражением от области резонанса. Для ввода под углом 10° к вертикали поглощение становится более эффективным, несмотря на то, что из-за рефракции точка резонанса для пучка смещается примерно на 60 см ниже магнитной оси системы. Доля поглощенной мощности при этом составляет 88%. Расчет без эффектов лучевой диффузии показал завышенную эффективность поглощения на уровне 93%

 

Рис. 2. Моделирование распространения и поглощения квазиоптических волновых пучков в плазме токамака: сценарий ЭЦ-нагрева на третьей гармонике с вводом излучения под углом 5° к вертикали (верхний ряд) и 10° к вертикали (нижний ряд). Приведены распределения интенсивности волнового поля | u | 2 в полоидальном сечении токамака, рассчитанные без учета диффузионных членов в первом порядке теории возмущений (а, г) и с учетом диффузионных членов во втором порядке теории возмущений (б, д). Сплошной красной линией выделена область поглощения СВЧ-мощности, определенная по уровню max (dP / dV) / 2 ; пунктирная линия обозначает границу плазмы. На графиках (в, е) приведены профили поглощенной мощности П(ρ) с учетом (2) и без учета (1) диффузионных членов.

 

Таким образом, диффузия, связанная с неоднородным поглощением, может приводить как к увеличению, так и к уменьшению поглощаемой мощности. В первом случае, который реализуется при вертикальном воде, волна отражается от области вариации действительной части гамильтониана в районе резонанса, в этом случае диффузия лучей помогает преодолеть потенциальный барьер отдельным случайным лучам. Во втором случае, который реализуется при более наклонном вводе излучения, большая часть лучей свободно проходит над барьером, связанным с вариацией действительной части гамильтониана. Роль диффузии при этом прямо противоположна MathType@MTEF@5@5@+= feaahGart1ev3aqatCvAUfeBSjuyZL2yd9gzLbvyNv2CaerbuLwBLn hiov2DGi1BTfMBaeXatLxBI9gBaerbd9wDYLwzYbItLDharqqtubsr 4rNCHbGeaGqiVu0Je9sqqrpepC0xbbL8F4rqqrFfpeea0xe9Lq=Jc9 vqaqpepm0xbba9pwe9Q8fs0=yqaqpepae9pg0FirpepeKkFr0xfr=x fr=xb9adbaqaaeGaciGaaiaabeqaamaabaabaaGcbaacbaqcLbwaqa aaaaaaaaWdbiaa=nbiaaa@37A4@  случайные возмущения приводят к тому, что отдельные лучи могут отразиться от потенциального барьера. Поэтому тонкие эффекты диффузии приводят к дополнительному отражению излучения от области ЭЦ-поглощения и уменьшению эффективности нагрева.

11. Заключение

В данной работе приведено систематическое изложение метода кинетического уравнения для функции Вигнера для моделированию распространения и поглощения электромагнитных волн в анизотропных и гиротропных диссипативных средах с пространственной дисперсией. Для случая плавнонеоднородных и слабодиссипативных сред, наиболее востребованного для практических приложений, построена асимптотическая теория. В первом порядке эта теория приводит к кинетическому уравнению Больцмана, решения которого можно строить в виде суперпозиции характеристик MathType@MTEF@5@5@+= feaahGart1ev3aqatCvAUfeBSjuyZL2yd9gzLbvyNv2CaerbuLwBLn hiov2DGi1BTfMBaeXatLxBI9gBaerbd9wDYLwzYbItLDharqqtubsr 4rNCHbGeaGqiVu0Je9sqqrpepC0xbbL8F4rqqrFfpeea0xe9Lq=Jc9 vqaqpepm0xbba9pwe9Q8fs0=yqaqpepae9pg0FirpepeKkFr0xfr=x fr=xb9adbaqaaeGaciGaaiaabeqaamaabaabaaGcbaacbaqcLbwaqa aaaaaaaaWdbiaa=nbiaaa@37A4@  невзаимодействующих лучей в шестимерном фазовом пространстве. Кинетическое уравнение для лучей (формализм Вейля) было известно и раньше, однако в нашей работе мы предложили физическое обоснование ввода скалярной функции Вигнера для описания векторной волновой задачи. Во втором порядке кинетическое уравнение Больцмана переходит к уравнению типа Фоккера MathType@MTEF@5@5@+= feaahGart1ev3aqatCvAUfeBSjuyZL2yd9gzLbvyNv2CaerbuLwBLn hiov2DGi1BTfMBaeXatLxBI9gBaerbd9wDYLwzYbItLDharqqtubsr 4rNCHbGeaGqiVu0Je9sqqrpepC0xbbL8F4rqqrFfpeea0xe9Lq=Jc9 vqaqpepm0xbba9pwe9Q8fs0=yqaqpepae9pg0FirpepeKkFr0xfr=x fr=xb9adbaqaaeGaciGaaiaabeqaamaabaabaaGcbaacbaqcLbwaqa aaaaaaaaWdbiaa=nbiaaa@37A4@ Планка, причем диффузионные члены появляются за счет неоднородного поглощения. Это означает, что между лучами возникаетдиффузияинтенсивности, которая, в свою очередь, может быть эффективно смоделирована с помощью стохастических членов в уравнениях Гамильтона для отдельных лучей. Это позволяет учесть диффузионные эффекты непосредственно в кинетическом лучевом уравнении без заметного усложнения численной схемы его решения.

Авторы пришли к данному методу при попытке дать формальное обоснование последовательному (аберрационному) квазиоптическому подходу и, в более широком смысле, процедуре восстановления диэлектрического отклика неоднородной диспергирующей среды по его геометрооптическому пределу. Метод кинетического уравнения позволил продвинуться в данном направлении. Кроме того, он обладает некоторыми дополнительными преимуществами по сравнению с квазиоптическим подходом, основанным на укорачивании волнового уравнения на комплексную амплитуду геометрооптической моды, такими как более прозрачный учет неоднородной диссипации, отсутствие ограничений на кривизну лучей, очень экономное использование памяти при численном решении. В работе этот вопрос не рассматривается, но представляется вполне очевидным, что дальнейшее обобщение для учета линейного взаимодействия мод в рамках кинетического подхода проводится более просто и строго, чем в рамках обычного квазиоптического подхода. Действительно, уравнения (13) эквивалентны уравнениям Максвелла, поэтому описывают полное векторное поле; переход к взаимодействующим модам соответствует диагонализации W βγ MathType@MTEF@5@5@+= feaahGart1ev3aqatCvAUfeBSjuyZL2yd9gzLbvyNv2Caerbov2D09 MBdbqedmvETj2BSbqeeuuDJXwAKbsr4rNCHbGeaGqik8fkY=xipgYl h9vqqj=hEeeu0xXdi9arFj0xirFj0dXdbba91qpK0=yr0RYxfr=Jbb f9q8aq0=yq=He9q8qqQ8frFve9Fve9Ff0dmeaabaqaciaacaGaaeqa baqabeGadaaakeaaqaaaaaaaaaWdbiaadEfapaWaaSbaaSqaa8qacq aHYoGycqaHZoWza8aabeaaaaa@35A9@  в этих уравнениях, которая может быть выполнена приближенно. Тем не менее оба подхода, кинетический и квазиоптический, активно развиваются, какой из них лучше подходит для решения актуальных задач электродинамики высокотемпературной плазмы, покажет время.

Приведенный пример расчета сценария ЭЦ нагрева в большом токамаке показал, что неоднородность поглощения поперек квазиоптического волнового пучка может приводить к систематической ошибке при использовании кинетического уравнения первого порядка (для невзаимодействующих лучей) по сравнению с результатами использования кинетического уравнения второго порядка (диффузионное приближение). В этом предварительном примере мы хотели проиллюстрировать новые эффекты, связанные с неоднородным поглощением, которые не описываются обычным кинетическим уравнением для лучей первого порядка, как, впрочем, и остальными стандартными методами, упомянутыми во введении. Более детальное описание созданного для этой демонстрации нового кода, его верификация и результаты моделирования сценариев ЭЦ-нагрева плазмы в перспективных установках будут опубликованы отдельно. Заметим только, что вклад, связанный с поперечной неоднородностью поглощения, может оказаться заметным для тангенциальной или вертикальной инжекции волновых пучков в тороидальную ловушку [7, 13, 14], а также поперечного ввода излучения в аксиально-симметричную магнитную ловушку [11].

Работа выполнена в рамках государственного задания ИПФ РАН (тема FFUF-2023-0002) и ФТИ РАН (по договору между ФТИ РАН и ИПФ РАН MathType@MTEF@5@5@+= feaahGart1ev3aqatCvAUfeBSjuyZL2yd9gzLbvyNv2CaerbuLwBLn hiov2DGi1BTfMBaeXatLxBI9gBaerbd9wDYLwzYbItLDharqqtubsr 4rNCHbGeaGqiVu0Je9sqqrpepC0xbbL8F4rqqrFfpeea0xe9Lq=Jc9 vqaqpepm0xbba9pwe9Q8fs0=yqaqpepae9pg0FirpepeKkFr0xfr=x fr=xb9adbaqaaeGaciGaaiaabeqaamaabaabaaGcbaacbaqcLbwaqa aaaaaaaaWdbiaa=zriaaa@37A8@  44-6-24 от 29.07.2024).

 

Приложение 1. Генерация случайного вектора с заданной ковариацией компонент

Для получения случайных величин G i MathType@MTEF@5@5@+= feaahGart1ev3aqatCvAUfeBSjuyZL2yd9gzLbvyNv2Caerbov2D09 MBdbqedmvETj2BSbqeeuuDJXwAKbsr4rNCHbGeaGqik8fkY=xipgYl h9vqqj=hEeeu0xXdi9arFj0xirFj0dXdbba91qpK0=yr0RYxfr=Jbb f9q8aq0=yq=He9q8qqQ8frFve9Fve9Ff0dmeaabaqaciaacaGaaeqa baqabeGadaaakeaaqaaaaaaaaaWdbiaadEeapaWaaSbaaSqaa8qaca WGPbaapaqabaaaaa@333F@  с заданным тензором дисперсии можно адаптировать метод Якоби диагонализации квадратичной формы [52]. При этом для реализации Монте-Карло алгоритма нам не важна конкретная функция распределения случайных величин, нам нужны только первые два момента и ограниченность высших моментов. Приведенная ниже процедура приводит набор из N MathType@MTEF@5@5@+= feaahGart1ev3aqatCvAUfeBSjuyZL2yd9gzLbvyNv2Caerbov2D09 MBdbqedmvETj2BSbqeeuuDJXwAKbsr4rNCHbGeaGqik8fkY=xipgYl h9vqqj=hEeeu0xXdi9arFj0xirFj0dXdbba91qpK0=yr0RYxfr=Jbb f9q8aq0=yq=He9q8qqQ8frFve9Fve9Ff0dmeaabaqaciaacaGaaeqa baqabeGadaaakeaaqaaaaaaaaaWdbiaad6eaaaa@31FE@  случайных независимых величин θ i MathType@MTEF@5@5@+= feaahGart1ev3aqatCvAUfeBSjuyZL2yd9gzLbvyNv2Caerbov2D09 MBdbqedmvETj2BSbqeeuuDJXwAKbsr4rNCHbGeaGqik8fkY=xipgYl h9vqqj=hEeeu0xXdi9arFj0xirFj0dXdbba91qpK0=yr0RYxfr=Jbb f9q8aq0=yq=He9q8qqQ8frFve9Fve9Ff0dmeaabaqaciaacaGaaeqa baqabeGadaaakeaaqaaaaaaaaaWdbiabeI7aX9aadaWgaaWcbaWdbi aadMgaa8aabeaaaaa@3429@ , распределенных по какому-то, не обязательно нормальному, закону с нулевым средним и единичной дисперсией,

θ i =0,     θ i θ= δ ij , MathType@MTEF@5@5@+= feaahGart1ev3aqatCvAUfeBSjuyZL2yd9gzLbvyNv2Caerbov2D09 MBdbqedmvETj2BSbqeeuuDJXwAKbsr4rNCHbGeaGqik8fkY=xipgYl h9vqqj=hEeeu0xXdi9arFj0xirFj0dXdbba91qpK0=yr0RYxfr=Jbb f9q8aq0=yq=He9q8qqQ8frFve9Fve9Ff0dmeaabaqaciaacaGaaeqa baqabeGadaaakeaaqaaaaaaaaaWdbiabgMYiHlabeI7aX9aadaWgaa WcbaWdbiaadMgaa8aabeaak8qacqGHQms8cqGH9aqpcaaIWaGaaiil aiaaKdkacaa5GcGaaqoOaiaaKdkacqGHPms4cqaH4oqCpaWaaSbaaS qaa8qacaWGPbaapaqabaGcpeGaeqiUdeNaeyOkJeVaeyypa0JaeqiT dq2damaaBaaaleaapeGaamyAaiaadQgaa8aabeaak8qacaGGSaaaaa@4E4B@

к набору из N MathType@MTEF@5@5@+= feaahGart1ev3aqatCvAUfeBSjuyZL2yd9gzLbvyNv2Caerbov2D09 MBdbqedmvETj2BSbqeeuuDJXwAKbsr4rNCHbGeaGqik8fkY=xipgYl h9vqqj=hEeeu0xXdi9arFj0xirFj0dXdbba91qpK0=yr0RYxfr=Jbb f9q8aq0=yq=He9q8qqQ8frFve9Fve9Ff0dmeaabaqaciaacaGaaeqa baqabeGadaaakeaaqaaaaaaaaaWdbiaad6eaaaa@31FE@  случайных зависимых величин G i MathType@MTEF@5@5@+= feaahGart1ev3aqatCvAUfeBSjuyZL2yd9gzLbvyNv2Caerbov2D09 MBdbqedmvETj2BSbqeeuuDJXwAKbsr4rNCHbGeaGqik8fkY=xipgYl h9vqqj=hEeeu0xXdi9arFj0xirFj0dXdbba91qpK0=yr0RYxfr=Jbb f9q8aq0=yq=He9q8qqQ8frFve9Fve9Ff0dmeaabaqaciaacaGaaeqa baqabeGadaaakeaaqaaaaaaaaaWdbiaadEeapaWaaSbaaSqaa8qaca WGPbaapaqabaaaaa@333F@  с нулевым средним и положительно определенным тензором дисперсии

G i =0,     G i G= F ij . MathType@MTEF@5@5@+= feaahGart1ev3aqatCvAUfeBSjuyZL2yd9gzLbvyNv2Caerbov2D09 MBdbqedmvETj2BSbqeeuuDJXwAKbsr4rNCHbGeaGqik8fkY=xipgYl h9vqqj=hEeeu0xXdi9arFj0xirFj0dXdbba91qpK0=yr0RYxfr=Jbb f9q8aq0=yq=He9q8qqQ8frFve9Fve9Ff0dmeaabaqaciaacaGaaeqa baqabeGadaaakeaaqaaaaaaaaaWdbiabgMYiHlaadEeapaWaaSbaaS qaa8qacaWGPbaapaqabaGcpeGaeyOkJeVaeyypa0JaaGimaiaacYca caa5GcGaaqoOaiaaKdkacaa5GcGaeyykJeUaam4ra8aadaWgaaWcba WdbiaadMgaa8aabeaak8qacaWGhbGaeyOkJeVaeyypa0JaamOra8aa daWgaaWcbaWdbiaadMgacaWGQbaapaqabaGcpeGaaiOlaaaa@4AB5@

Процедура следующая:

G 1 = α 11 θ 1 , MathType@MTEF@5@5@+= feaahGart1ev3aqatCvAUfeBSjuyZL2yd9gzLbvyNv2Caerbov2D09 MBdbqedmvETj2BSbqeeuuDJXwAKbsr4rNCHbGeaGqik8fkY=xipgYl h9vqqj=hEeeu0xXdi9arFj0xirFj0dXdbba91qpK0=yr0RYxfr=Jbb f9q8aq0=yq=He9q8qqQ8frFve9Fve9Ff0dmeaabaqaciaacaGaaeqa baqabeGadaaakeaaqaaaaaaaaaWdbiaadEeapaWaaSbaaSqaa8qaca aIXaaapaqabaGcpeGaeyypa0JaeqySde2damaaBaaaleaapeGaaGym aiaaigdaa8aabeaak8qacqaH4oqCpaWaaSbaaSqaa8qacaaIXaaapa qabaGcpeGaaiilaaaa@3B4A@

α 11 = F 11 , MathType@MTEF@5@5@+= feaahGart1ev3aqatCvAUfeBSjuyZL2yd9gzLbvyNv2Caerbov2D09 MBdbqedmvETj2BSbqeeuuDJXwAKbsr4rNCHbGeaGqik8fkY=xipgYl h9vqqj=hEeeu0xXdi9arFj0xirFj0dXdbba91qpK0=yr0RYxfr=Jbb f9q8aq0=yq=He9q8qqQ8frFve9Fve9Ff0dmeaabaqaciaacaGaaeqa baqabeGadaaakeaaqaaaaaaaaaWdbiabeg7aH9aadaWgaaWcbaWdbi aaigdacaaIXaaapaqabaGcpeGaeyypa0ZaaOaaa8aabaWdbiaadAea paWaaSbaaSqaa8qacaaIXaGaaGymaaWdaeqaaaWdbeqaaOGaaiilaa aa@394E@

G 2 = α 21 θ 1 + α 22 θ 2 , MathType@MTEF@5@5@+= feaahGart1ev3aqatCvAUfeBSjuyZL2yd9gzLbvyNv2Caerbov2D09 MBdbqedmvETj2BSbqeeuuDJXwAKbsr4rNCHbGeaGqik8fkY=xipgYl h9vqqj=hEeeu0xXdi9arFj0xirFj0dXdbba91qpK0=yr0RYxfr=Jbb f9q8aq0=yq=He9q8qqQ8frFve9Fve9Ff0dmeaabaqaciaacaGaaeqa baqabeGadaaakeaaqaaaaaaaaaWdbiaadEeapaWaaSbaaSqaa8qaca aIYaaapaqabaGcpeGaeyypa0JaeqySde2damaaBaaaleaapeGaaGOm aiaaigdaa8aabeaak8qacqaH4oqCpaWaaSbaaSqaa8qacaaIXaaapa qabaGcpeGaey4kaSIaeqySde2damaaBaaaleaapeGaaGOmaiaaikda a8aabeaak8qacqaH4oqCpaWaaSbaaSqaa8qacaaIYaaapaqabaGcpe Gaaiilaaaa@429F@

α 21 = F 21 / α 11 , MathType@MTEF@5@5@+= feaahGart1ev3aqatCvAUfeBSjuyZL2yd9gzLbvyNv2Caerbov2D09 MBdbqedmvETj2BSbqeeuuDJXwAKbsr4rNCHbGeaGqik8fkY=xipgYl h9vqqj=hEeeu0xXdi9arFj0xirFj0dXdbba91qpK0=yr0RYxfr=Jbb f9q8aq0=yq=He9q8qqQ8frFve9Fve9Ff0dmeaabaqaciaacaGaaeqa baqabeGadaaakeaaqaaaaaaaaaWdbiabeg7aH9aadaWgaaWcbaWdbi aaikdacaaIXaaapaqabaGcpeGaeyypa0JaamOra8aadaWgaaWcbaWd biaaikdacaaIXaaapaqabaGcpeGaai4laiabeg7aH9aadaWgaaWcba WdbiaaigdacaaIXaaapaqabaGcpeGaaiilaaaa@3D5D@

α 22 = F 22 α 21 2 , MathType@MTEF@5@5@+= feaahGart1ev3aqatCvAUfeBSjuyZL2yd9gzLbvyNv2Caerbov2D09 MBdbqedmvETj2BSbqeeuuDJXwAKbsr4rNCHbGeaGqik8fkY=xipgYl h9vqqj=hEeeu0xXdi9arFj0xirFj0dXdbba91qpK0=yr0RYxfr=Jbb f9q8aq0=yq=He9q8qqQ8frFve9Fve9Ff0dmeaabaqaciaacaGaaeqa baqabeGadaaakeaaqaaaaaaaaaWdbiabeg7aH9aadaWgaaWcbaWdbi aaikdacaaIYaaapaqabaGcpeGaeyypa0ZaaOaaa8aabaWdbiaadAea paWaaSbaaSqaa8qacaaIYaGaaGOmaaWdaeqaaOWdbiabgkHiTiabeg 7aH9aadaqhaaWcbaWdbiaaikdacaaIXaaapaqaa8qacaaIYaaaaaqa baGccaGGSaaaaa@3E86@

G 3 = α 31 θ 1 + α 32 θ 2 + α 33 θ 3 , MathType@MTEF@5@5@+= feaahGart1ev3aqatCvAUfeBSjuyZL2yd9gzLbvyNv2Caerbov2D09 MBdbqedmvETj2BSbqeeuuDJXwAKbsr4rNCHbGeaGqik8fkY=xipgYl h9vqqj=hEeeu0xXdi9arFj0xirFj0dXdbba91qpK0=yr0RYxfr=Jbb f9q8aq0=yq=He9q8qqQ8frFve9Fve9Ff0dmeaabaqaciaacaGaaeqa baqabeGadaaakeaaqaaaaaaaaaWdbiaadEeapaWaaSbaaSqaa8qaca aIZaaapaqabaGcpeGaeyypa0JaeqySde2damaaBaaaleaapeGaaG4m aiaaigdaa8aabeaak8qacqaH4oqCpaWaaSbaaSqaa8qacaaIXaaapa qabaGcpeGaey4kaSIaeqySde2damaaBaaaleaapeGaaG4maiaaikda a8aabeaak8qacqaH4oqCpaWaaSbaaSqaa8qacaaIYaaapaqabaGcpe Gaey4kaSIaeqySde2damaaBaaaleaapeGaaG4maiaaiodaa8aabeaa k8qacqaH4oqCpaWaaSbaaSqaa8qacaaIZaaapaqabaGcpeGaaiilaa aa@49F8@

α 31 = F 31 / α 11 , MathType@MTEF@5@5@+= feaahGart1ev3aqatCvAUfeBSjuyZL2yd9gzLbvyNv2Caerbov2D09 MBdbqedmvETj2BSbqeeuuDJXwAKbsr4rNCHbGeaGqik8fkY=xipgYl h9vqqj=hEeeu0xXdi9arFj0xirFj0dXdbba91qpK0=yr0RYxfr=Jbb f9q8aq0=yq=He9q8qqQ8frFve9Fve9Ff0dmeaabaqaciaacaGaaeqa baqabeGadaaakeaaqaaaaaaaaaWdbiabeg7aH9aadaWgaaWcbaWdbi aaiodacaaIXaaapaqabaGcpeGaeyypa0JaamOra8aadaWgaaWcbaWd biaaiodacaaIXaaapaqabaGcpeGaai4laiabeg7aH9aadaWgaaWcba WdbiaaigdacaaIXaaapaqabaGcpeGaaiilaaaa@3D5F@

α 32 = F 32 α 31 α 21 / α 22 , MathType@MTEF@5@5@+= feaahGart1ev3aqatCvAUfeBSjuyZL2yd9gzLbvyNv2Caerbov2D09 MBdbqedmvETj2BSbqeeuuDJXwAKbsr4rNCHbGeaGqik8fkY=xipgYl h9vqqj=hEeeu0xXdi9arFj0xirFj0dXdbba91qpK0=yr0RYxfr=Jbb f9q8aq0=yq=He9q8qqQ8frFve9Fve9Ff0dmeaabaqaciaacaGaaeqa baqabeGadaaakeaaqaaaaaaaaaWdbiabeg7aH9aadaWgaaWcbaWdbi aaiodacaaIYaaapaqabaGcpeGaeyypa0ZaaeWaa8aabaWdbiaadAea paWaaSbaaSqaa8qacaaIZaGaaGOmaaWdaeqaaOWdbiabgkHiTiabeg 7aH9aadaWgaaWcbaWdbiaaiodacaaIXaaapaqabaGcpeGaeqySde2d amaaBaaaleaapeGaaGOmaiaaigdaa8aabeaaaOWdbiaawIcacaGLPa aacaGGVaGaeqySde2damaaBaaaleaapeGaaGOmaiaaikdaa8aabeaa k8qacaGGSaaaaa@470D@

α 33 = F 33 α 31 2 α 32 2 , MathType@MTEF@5@5@+= feaahGart1ev3aqatCvAUfeBSjuyZL2yd9gzLbvyNv2Caerbov2D09 MBdbqedmvETj2BSbqeeuuDJXwAKbsr4rNCHbGeaGqik8fkY=xipgYl h9vqqj=hEeeu0xXdi9arFj0xirFj0dXdbba91qpK0=yr0RYxfr=Jbb f9q8aq0=yq=He9q8qqQ8frFve9Fve9Ff0dmeaabaqaciaacaGaaeqa baqabeGadaaakeaaqaaaaaaaaaWdbiabeg7aH9aadaWgaaWcbaWdbi aaiodacaaIZaaapaqabaGcpeGaeyypa0ZaaOaaa8aabaWdbiaadAea paWaaSbaaSqaa8qacaaIZaGaaG4maaWdaeqaaOWdbiabgkHiTiabeg 7aH9aadaqhaaWcbaWdbiaaiodacaaIXaaapaqaa8qacaaIYaaaaOGa eyOeI0IaeqySde2damaaDaaaleaapeGaaG4maiaaikdaa8aabaWdbi aaikdaaaaabeaakiaacYcaaaa@43C1@

G 4 = α 41 θ 1 + α 42 θ 2 + α 43 θ 3 + α 44 θ 4 , MathType@MTEF@5@5@+= feaahGart1ev3aqatCvAUfeBSjuyZL2yd9gzLbvyNv2Caerbov2D09 MBdbqedmvETj2BSbqeeuuDJXwAKbsr4rNCHbGeaGqik8fkY=xipgYl h9vqqj=hEeeu0xXdi9arFj0xirFj0dXdbba91qpK0=yr0RYxfr=Jbb f9q8aq0=yq=He9q8qqQ8frFve9Fve9Ff0dmeaabaqaciaacaGaaeqa baqabeGadaaakeaaqaaaaaaaaaWdbiaadEeapaWaaSbaaSqaa8qaca aI0aaapaqabaGcpeGaeyypa0JaeqySde2damaaBaaaleaapeGaaGin aiaaigdaa8aabeaak8qacqaH4oqCpaWaaSbaaSqaa8qacaaIXaaapa qabaGcpeGaey4kaSIaeqySde2damaaBaaaleaapeGaaGinaiaaikda a8aabeaak8qacqaH4oqCpaWaaSbaaSqaa8qacaaIYaaapaqabaGcpe Gaey4kaSIaeqySde2damaaBaaaleaapeGaaGinaiaaiodaa8aabeaa k8qacqaH4oqCpaWaaSbaaSqaa8qacaaIZaaapaqabaGcpeGaey4kaS IaeqySde2damaaBaaaleaapeGaaGinaiaaisdaa8aabeaak8qacqaH 4oqCpaWaaSbaaSqaa8qacaaI0aaapaqabaGcpeGaaiilaaaa@5155@

α 41 = F 41 / α 11 , MathType@MTEF@5@5@+= feaahGart1ev3aqatCvAUfeBSjuyZL2yd9gzLbvyNv2Caerbov2D09 MBdbqedmvETj2BSbqeeuuDJXwAKbsr4rNCHbGeaGqik8fkY=xipgYl h9vqqj=hEeeu0xXdi9arFj0xirFj0dXdbba91qpK0=yr0RYxfr=Jbb f9q8aq0=yq=He9q8qqQ8frFve9Fve9Ff0dmeaabaqaciaacaGaaeqa baqabeGadaaakeaaqaaaaaaaaaWdbiabeg7aH9aadaWgaaWcbaWdbi aaisdacaaIXaaapaqabaGcpeGaeyypa0JaamOra8aadaWgaaWcbaWd biaaisdacaaIXaaapaqabaGcpeGaai4laiabeg7aH9aadaWgaaWcba WdbiaaigdacaaIXaaapaqabaGcpeGaaiilaaaa@3D61@

α 42 = F 42 α 41 α 21 / α 22 , MathType@MTEF@5@5@+= feaahGart1ev3aqatCvAUfeBSjuyZL2yd9gzLbvyNv2Caerbov2D09 MBdbqedmvETj2BSbqeeuuDJXwAKbsr4rNCHbGeaGqik8fkY=xipgYl h9vqqj=hEeeu0xXdi9arFj0xirFj0dXdbba91qpK0=yr0RYxfr=Jbb f9q8aq0=yq=He9q8qqQ8frFve9Fve9Ff0dmeaabaqaciaacaGaaeqa baqabeGadaaakeaaqaaaaaaaaaWdbiabeg7aH9aadaWgaaWcbaWdbi aaisdacaaIYaaapaqabaGcpeGaeyypa0ZaaeWaa8aabaWdbiaadAea paWaaSbaaSqaa8qacaaI0aGaaGOmaaWdaeqaaOWdbiabgkHiTiabeg 7aH9aadaWgaaWcbaWdbiaaisdacaaIXaaapaqabaGcpeGaeqySde2d amaaBaaaleaapeGaaGOmaiaaigdaa8aabeaaaOWdbiaawIcacaGLPa aacaGGVaGaeqySde2damaaBaaaleaapeGaaGOmaiaaikdaa8aabeaa k8qacaGGSaaaaa@4710@

α 43 = F 43 α 41 α 31 α 42 α 32 / α 33 , MathType@MTEF@5@5@+= feaahGart1ev3aqatCvAUfeBSjuyZL2yd9gzLbvyNv2Caerbov2D09 MBdbqedmvETj2BSbqeeuuDJXwAKbsr4rNCHbGeaGqik8fkY=xipgYl h9vqqj=hEeeu0xXdi9arFj0xirFj0dXdbba91qpK0=yr0RYxfr=Jbb f9q8aq0=yq=He9q8qqQ8frFve9Fve9Ff0dmeaabaqaciaacaGaaeqa baqabeGadaaakeaaqaaaaaaaaaWdbiabeg7aH9aadaWgaaWcbaWdbi aaisdacaaIZaaapaqabaGcpeGaeyypa0ZaaeWaa8aabaWdbiaadAea paWaaSbaaSqaa8qacaaI0aGaaG4maaWdaeqaaOWdbiabgkHiTiabeg 7aH9aadaWgaaWcbaWdbiaaisdacaaIXaaapaqabaGcpeGaeqySde2d amaaBaaaleaapeGaaG4maiaaigdaa8aabeaak8qacqGHsislcqaHXo qypaWaaSbaaSqaa8qacaaI0aGaaGOmaaWdaeqaaOWdbiabeg7aH9aa daWgaaWcbaWdbiaaiodacaaIYaaapaqabaaak8qacaGLOaGaayzkaa Gaai4laiabeg7aH9aadaWgaaWcbaWdbiaaiodacaaIZaaapaqabaGc peGaaiilaaaa@4F1B@

α 44 = F 44 α 41 2 α 42 2 α 43 2 MathType@MTEF@5@5@+= feaahGart1ev3aqatCvAUfeBSjuyZL2yd9gzLbvyNv2Caerbov2D09 MBdbqedmvETj2BSbqeeuuDJXwAKbsr4rNCHbGeaGqik8fkY=xipgYl h9vqqj=hEeeu0xXdi9arFj0xirFj0dXdbba91qpK0=yr0RYxfr=Jbb f9q8aq0=yq=He9q8qqQ8frFve9Fve9Ff0dmeaabaqaciaacaGaaeqa baqabeGadaaakeaaqaaaaaaaaaWdbiabeg7aH9aadaWgaaWcbaWdbi aaisdacaaI0aaapaqabaGcpeGaeyypa0ZaaOaaa8aabaWdbiaadAea paWaaSbaaSqaa8qacaaI0aGaaGinaaWdaeqaaOWdbiabgkHiTiabeg 7aH9aadaqhaaWcbaWdbiaaisdacaaIXaaapaqaa8qacaaIYaaaaOGa eyOeI0IaeqySde2damaaDaaaleaapeGaaGinaiaaikdaa8aabaWdbi aaikdaaaGccqGHsislcqaHXoqypaWaa0baaSqaa8qacaaI0aGaaG4m aaWdaeaapeGaaGOmaaaaaeqaaaaa@4845@

MathType@MTEF@5@5@+= feaahGart1ev3aqatCvAUfeBSjuyZL2yd9gzLbvyNv2Caerbov2D09 MBdbqedmvETj2BSbqeeuuDJXwAKbsr4rNCHbGeaGqik8fkY=xipgYl h9vqqj=hEeeu0xXdi9arFj0xirFj0dXdbba91qpK0=yr0RYxfr=Jbb f9q8aq0=yq=He9q8qqQ8frFve9Fve9Ff0dmeaabaqaciaacaGaaeqa baqabeGadaaakeaaqaaaaaaaaaWdbiabgAci8caa@32B9@

При этом положительная определенность матрицы F mn MathType@MTEF@5@5@+= feaahGart1ev3aqatCvAUfeBSjuyZL2yd9gzLbvyNv2Caerbov2D09 MBdbqedmvETj2BSbqeeuuDJXwAKbsr4rNCHbGeaGqik8fkY=xipgYl h9vqqj=hEeeu0xXdi9arFj0xirFj0dXdbba91qpK0=yr0RYxfr=Jbb f9q8aq0=yq=He9q8qqQ8frFve9Fve9Ff0dmeaabaqaciaacaGaaeqa baqabeGadaaakeaaqaaaaaaaaaWdbiaadAeapaWaaSbaaSqaa8qaca WGTbGaamOBaaWdaeqaaaaa@3435@  гарантирует нам действительность всех коэффициентов, в частности α ii 2 >0 MathType@MTEF@5@5@+= feaahGart1ev3aqatCvAUfeBSjuyZL2yd9gzLbvyNv2Caerbov2D09 MBdbqedmvETj2BSbqeeuuDJXwAKbsr4rNCHbGeaGqik8fkY=xipgYl h9vqqj=hEeeu0xXdi9arFj0xirFj0dXdbba91qpK0=yr0RYxfr=Jbb f9q8aq0=yq=He9q8qqQ8frFve9Fve9Ff0dmeaabaqaciaacaGaaeqa baqabeGadaaakeaaqaaaaaaaaaWdbiabeg7aH9aadaqhaaWcbaWdbi aadMgacaWGPbaapaqaa8qacaaIYaaaaOGaeyOpa4JaaGimaaaa@3799@ .

 

Приложение 2. Представление дополнительного потока энергии в диспергирующей среде через тензор Вигнера

Средняя плотность мощности джоулевых потерь для монохроматического поля в произвольной среде равна

P r = 1 2 Re α,β E α * σ αβ E β = 1 2 Re P r,r , MathType@MTEF@5@5@+= feaahGart1ev3aqatCvAUfeBSjuyZL2yd9gzLbvyNv2Caerbov2D09 MBdbqedmvETj2BSbqeeuuDJXwAKbsr4rNCHbGeaGqik8fkY=xipgYl h9vqqj=hEeeu0xXdi9arFj0xirFj0dXdbba91qpK0=yr0RYxfr=Jbb f9q8aq0=yq=He9q8qqQ8frFve9Fve9Ff0dmeaabaqaciaacaGaaeqa baqabeGadaaakeaaqaaaaaaaaaWdbiaadcfadaqadaWdaeaapeGaaC OCaaGaayjkaiaawMcaaiabg2da9maalaaapaqaa8qacaaIXaaapaqa a8qacaaIYaaaaiaabkfacaqGLbWaaybuaeqal8aabaWdbiabeg7aHj aacYcacqaHYoGyaeqan8aabaWdbiabggHiLdaakiaaK3aicaWGfbWd amaaDaaaleaapeGaeqySdegapaqaa8qacaqGQaaaaOGaeq4Wdm3dam aaBaaaleaapeGaeqySdeMaeqOSdigapaqabaGcpeGaamyra8aadaWg aaWcbaWdbiabek7aIbWdaeqaaOWdbiabg2da9maalaaapaqaa8qaca aIXaaapaqaa8qacaaIYaaaaiaabkfacaqGLbGaaqoOamrr1ngBPrwt HrhAXaqeguuDJXwAKbstHrhAG8KBLbaceaGae83dXd1aaeWaa8aaba WdbiaahkhacaGGSaGaaCOCaaGaayjkaiaawMcaaiaacYcaaaa@62EC@

где σ αβ MathType@MTEF@5@5@+= feaahGart1ev3aaatCvAUfeBSjuyZL2yd9gzLbvyNv2Caerbov2D09 MBdbqedmvETj2BSbqeeuuDJXwAKbsr4rNCHbGeaGqik8fkY=xipgYl h9vqqj=hEeeu0xXdi9arFj0xirFj0dXdbba91qpK0=yr0RYxfr=Jbb f9q8aq0=yq=He9q8qqQ8frFve9Fve9Ff0dmeaabaqaciaacaGaaeqa baqabeGadaaakeaacqaHdpWCdaWgaaWcbaaeaaaaaaaaa8qacqaHXo qycqaHYoGya8aabeaaaaa@3668@   MathType@MTEF@5@5@+= feaahGart1ev3aqatCvAUfeBSjuyZL2yd9gzLbvyNv2CaerbuLwBLn hiov2DGi1BTfMBaeXatLxBI9gBaerbd9wDYLwzYbItLDharqqtubsr 4rNCHbGeaGqiVu0Je9sqqrpepC0xbbL8F4rqqrFfpeea0xe9Lq=Jc9 vqaqpepm0xbba9pwe9Q8fs0=yqaqpepae9pg0FirpepeKkFr0xfr=x fr=xb9adbaqaaeGaciGaaiaabeqaamaabaabaaGcbaacbaqcLbwaqa aaaaaaaaWdbiaa=nbiaaa@37A4@  линейный оператор тензора проводимости среды с ядром σ αβ r,r' MathType@MTEF@5@5@+= feaahGart1ev3aqatCvAUfeBSjuyZL2yd9gzLbvyNv2Caerbov2D09 MBdbqedmvETj2BSbqeeuuDJXwAKbsr4rNCHbGeaGqik8fkY=xipgYl h9vqqj=hEeeu0xXdi9arFj0xirFj0dXdbba91qpK0=yr0RYxfr=Jbb f9q8aq0=yq=He9q8qqQ8frFve9Fve9Ff0dmeaabaqaciaacaGaaeqa baqabeGadaaakeaaqaaaaaaaaaWdbiabeo8aZ9aadaWgaaWcbaWdbi abeg7aHjabek7aIbWdaeqaaOWdbmaabmaapaqaa8qacaWHYbGaaiil aiaahkhacaqGNaaacaGLOaGaayzkaaaaaa@3B9A@ , а

P r,r' = 1 2 α,β σ αβ r,r'' E α * r' E β r''  dr'', MathType@MTEF@5@5@+= feaahGart1ev3aqatCvAUfeBSjuyZL2yd9gzLbvyNv2Caerbov2D09 MBdbqedmvETj2BSbqeeuuDJXwAKbsr4rNCHbGeaGqik8fkY=xipgYl h9vqqj=hEeeu0xXdi9arFj0xirFj0dXdbba91qpK0=yr0RYxfr=Jbb f9q8aq0=yq=He9q8qqQ8frFve9Fve9Ff0dmeaabaqaciaacaGaaeqa baqabeGadaaakeaatuuDJXwAK1uy0HwmaeHbfv3ySLgzG0uy0Hgip5 wzaGabaabaaaaaaaaapeGae83dXd1aaeWaa8aabaWdbiaahkhacaGG SaGaaCOCaiaabEcaaiaawIcacaGLPaaacqGH9aqpdaWcaaWdaeaape GaaGymaaWdaeaapeGaaGOmaaaadaGfqbqabSWdaeaapeGaeqySdeMa aiilaiabek7aIbqab0WdaeaapeGaeyyeIuoaaOGaaqEdGiabgUIiYl aaK3aicqaHdpWCpaWaaSbaaSqaa8qacqaHXoqycqaHYoGya8aabeaa k8qadaqadaWdaeaapeGaaCOCaiaacYcacaWHYbGaae4jaiaabEcaai aawIcacaGLPaaacaWGfbWdamaaDaaaleaapeGaeqySdegapaqaa8qa caqGQaaaaOWaaeWaa8aabaWdbiaahkhacaqGNaaacaGLOaGaayzkaa Gaamyra8aadaWgaaWcbaWdbiabek7aIbWdaeqaaOWdbmaabmaapaqa a8qacaWHYbGaae4jaiaabEcaaiaawIcacaGLPaaacaa5GcGaamizai aahkhacaqGNaGaae4jaiaacYcaaaa@6CD5@

можно рассматривать как интегральное ядро некоторого формального оператора P= σ αβ W βα . MathType@MTEF@5@5@+= feaahGart1ev3aqatCvAUfeBSjuyZL2yd9gzLbvyNv2Caerbov2D09 MBdbqedmvETj2BSbqeeuuDJXwAKbsr4rNCHbGeaGqik8fkY=xipgYl h9vqqj=hEeeu0xXdi9arFj0xirFj0dXdbba91qpK0=yr0RYxfr=Jbb f9q8aq0=yq=He9q8qqQ8frFve9Fve9Ff0dmeaabaqaciaacaGaaeqa baqabeGadaaakeaatuuDJXwAK1uy0HwmaeHbfv3ySLgzG0uy0Hgip5 wzaGabaiab=9q8qbbaaaaaaaaapeGaeyypa0JaeyyeIuUaaqEdG8aa cqaHdpWCdaWgaaWcbaWdbiabeg7aHjabek7aIbWdaeqaaOGae8NfXF 1aaSbaaSqaa8qacqaHYoGycqaHXoqya8aabeaakiaac6caaaa@4BD7@ Этот оператор является суперпозицией оператора проводимости и оператор Вигнера для электромагнитного поля. Поэтому его вейлевское представление определяется с помощью (5) как

P R,K =exp iL 2 α,β σ αβ R,K W βα R,K , MathType@MTEF@5@5@+= feaahGart1ev3aqatCvAUfeBSjuyZL2yd9gzLbvyNv2Caerbov2D09 MBdbqedmvETj2BSbqeeuuDJXwAKbsr4rNCHbGeaGqik8fkY=xipgYl h9vqqj=hEeeu0xXdi9arFj0xirFj0dXdbba91qpK0=yr0RYxfr=Jbb f9q8aq0=yq=He9q8qqQ8frFve9Fve9Ff0dmeaabaqaciaacaGaaeqa baqabeGadaaakeaaqaaaaaaaaaWdbiaadcfadaqadaWdaeaapeGaaC OuaiaacYcacaWHlbaacaGLOaGaayzkaaGaeyypa0JaaeyzaiaabIha caqGWbWaaeWaa8aabaWdbmaalaaapaqaa8qacaWGPbWefv3ySLgznf gDOfdaryqr1ngBPrginfgDObYtUvgaiqaacqWFsecta8aabaWdbiaa ikdaaaaacaGLOaGaayzkaaWaaybuaeqal8aabaWdbiabeg7aHjaacY cacqaHYoGyaeqan8aabaWdbiabggHiLdaakiaaK3aicqaHdpWCpaWa aSbaaSqaa8qacqaHXoqycqaHYoGya8aabeaak8qadaqadaWdaeaape GaaCOuaiaacYcacaWHlbaacaGLOaGaayzkaaGaam4va8aadaWgaaWc baWdbiabek7aIjabeg7aHbWdaeqaaOWdbmaabmaapaqaa8qacaWHsb GaaiilaiaahUeaaiaawIcacaGLPaaacaGGSaaaaa@624B@ (44)

где W αβ MathType@MTEF@5@5@+= feaahGart1ev3aqatCvAUfeBSjuyZL2yd9gzLbvyNv2Caerbov2D09 MBdbqedmvETj2BSbqeeuuDJXwAKbsr4rNCHbGeaGqik8fkY=xipgYl h9vqqj=hEeeu0xXdi9arFj0xirFj0dXdbba91qpK0=yr0RYxfr=Jbb f9q8aq0=yq=He9q8qqQ8frFve9Fve9Ff0dmeaabaqaciaacaGaaeqa baqabeGadaaakeaaqaaaaaaaaaWdbiaadEfapaWaaSbaaSqaa8qacq aHXoqycqaHYoGya8aabeaaaaa@35A1@   MathType@MTEF@5@5@+= feaahGart1ev3aqatCvAUfeBSjuyZL2yd9gzLbvyNv2CaerbuLwBLn hiov2DGi1BTfMBaeXatLxBI9gBaerbd9wDYLwzYbItLDharqqtubsr 4rNCHbGeaGqiVu0Je9sqqrpepC0xbbL8F4rqqrFfpeea0xe9Lq=Jc9 vqaqpepm0xbba9pwe9Q8fs0=yqaqpepae9pg0FirpepeKkFr0xfr=x fr=xb9adbaqaaeGaciGaaiaabeqaamaabaabaaGcbaacbaqcLbwaqa aaaaaaaaWdbiaa=nbiaaa@37A4@  тензорная функция Вигнера, σ αβ MathType@MTEF@5@5@+= feaahGart1ev3aqatCvAUfeBSjuyZL2yd9gzLbvyNv2Caerbov2D09 MBdbqedmvETj2BSbqeeuuDJXwAKbsr4rNCHbGeaGqik8fkY=xipgYl h9vqqj=hEeeu0xXdi9arFj0xirFj0dXdbba91qpK0=yr0RYxfr=Jbb f9q8aq0=yq=He9q8qqQ8frFve9Fve9Ff0dmeaabaqaciaacaGaaeqa baqabeGadaaakeaaqaaaaaaaaaWdbiabeo8aZ9aadaWgaaWcbaWdbi abeg7aHjabek7aIbWdaeqaaaaa@3688@   MathType@MTEF@5@5@+= feaahGart1ev3aqatCvAUfeBSjuyZL2yd9gzLbvyNv2CaerbuLwBLn hiov2DGi1BTfMBaeXatLxBI9gBaerbd9wDYLwzYbItLDharqqtubsr 4rNCHbGeaGqiVu0Je9sqqrpepC0xbbL8F4rqqrFfpeea0xe9Lq=Jc9 vqaqpepm0xbba9pwe9Q8fs0=yqaqpepae9pg0FirpepeKkFr0xfr=x fr=xb9adbaqaaeGaciGaaiaabeqaamaabaabaaGcbaacbaqcLbwaqa aaaaaaaaWdbiaa=nbiaaa@37A4@  вейлевское представление тензора проводимости,

L= σ R W K W R σ K = K σ R R σ K . MathType@MTEF@5@5@+= feaahGart1ev3aqatCvAUfeBSjuyZL2yd9gzLbvyNv2Caerbov2D09 MBdbqedmvETj2BSbqeeuuDJXwAKbsr4rNCHbGeaGqik8fkY=xipgYl h9vqqj=hEeeu0xXdi9arFj0xirFj0dXdbba91qpK0=yr0RYxfr=Jbb f9q8aq0=yq=He9q8qqQ8frFve9Fve9Ff0dmeaabaqaciaacaGaaeqa baqabeGadaaakeaatuuDJXwAK1uy0HwmaeHbfv3ySLgzG0uy0Hgip5 wzaGabaabaaaaaaaaapeGae8NeHWKaeyypa0ZaaSaaa8aabaWdbiab gkGi2+aadaWgaaWcbaWdbiabeo8aZbWdaeqaaaGcbaWdbiabgkGi2k aahkfaaaWaaSaaa8aabaWdbiabgkGi2+aadaWgaaWcbaWdbiaadEfa a8aabeaaaOqaa8qacqGHciITcaWHlbaaaiabgkHiTmaalaaapaqaa8 qacqGHciITpaWaaSbaaSqaa8qacaWGxbaapaqabaaakeaapeGaeyOa IyRaaCOuaaaadaWcaaWdaeaapeGaeyOaIy7damaaBaaaleaapeGaeq 4WdmhapaqabaaakeaapeGaeyOaIyRaaC4saaaacqGH9aqpdaWcaaWd aeaapeGaeyOaIylapaqaa8qacqGHciITcaWHlbaaamaalaaapaqaa8 qacqGHciITpaWaaSbaaSqaa8qacqaHdpWCa8aabeaaaOqaa8qacqGH ciITcaWHsbaaaiabgkHiTmaalaaapaqaa8qacqGHciITa8aabaWdbi abgkGi2kaahkfaaaWaaSaaa8aabaWdbiabgkGi2+aadaWgaaWcbaWd biabeo8aZbWdaeqaaaGcbaWdbiabgkGi2kaahUeaaaGaaiOlaaaa@6A9E@

Восстанавливая ядро оператора по его вейлевскому представлению в соответствии с формулой (4), находим мощность джоулевых потерь

P r = 1 2 ReP r,K dK. MathType@MTEF@5@5@+= feaahGart1ev3aqatCvAUfeBSjuyZL2yd9gzLbvyNv2Caerbov2D09 MBdbqedmvETj2BSbqeeuuDJXwAKbsr4rNCHbGeaGqik8fkY=xipgYl h9vqqj=hEeeu0xXdi9arFj0xirFj0dXdbba91qpK0=yr0RYxfr=Jbb f9q8aq0=yq=He9q8qqQ8frFve9Fve9Ff0dmeaabaqaciaacaGaaeqa baqabeGadaaakeaaqaaaaaaaaaWdbiaadcfadaqadaWdaeaapeGaaC OCaaGaayjkaiaawMcaaiabg2da9maalaaapaqaa8qacaaIXaaapaqa a8qacaaIYaaaaiaabkfacaqGLbGaey4kIiVaaqEdGiaadcfadaqada WdaeaapeGaaCOCaiaacYcacaWHlbaacaGLOaGaayzkaaGaamizaiaa hUeacaGGUaaaaa@4374@

В плавнонеоднородной среде мы можем разложить экспоненту в (44) ряд до первого порядка. Далее, разобьем матрицу вейлевского представления оператора проводимости на эрмитову и антиэрмитову части, σ αβ =σ ' αβ +iσ '' αβ , MathType@MTEF@5@5@+= feaahGart1ev3aqatCvAUfeBSjuyZL2yd9gzLbvyNv2Caerbov2D09 MBdbqedmvETj2BSbqeeuuDJXwAKbsr4rNCHbGeaGqik8fkY=xipgYl h9vqqj=hEeeu0xXdi9arFj0xirFj0dXdbba91qpK0=yr0RYxfr=Jbb f9q8aq0=yq=He9q8qqQ8frFve9Fve9Ff0dmeaabaqaciaacaGaaeqa baqabeGadaaakeaaqaaaaaaaaaWdbiabeo8aZ9aadaWgaaWcbaWdbi abeg7aHjabek7aIbWdaeqaaOWdbiabg2da9iabeo8aZjaabEcapaWa aSbaaSqaa8qacqaHXoqycqaHYoGya8aabeaak8qacqGHRaWkcaWGPb Gaeq4WdmNaae4jaiaabEcapaWaaSbaaSqaa8qacqaHXoqycqaHYoGy a8aabeaakiaacYcaaaa@4704@  и учтем, что W αβ MathType@MTEF@5@5@+= feaahGart1ev3aqatCvAUfeBSjuyZL2yd9gzLbvyNv2Caerbov2D09 MBdbqedmvETj2BSbqeeuuDJXwAKbsr4rNCHbGeaGqik8fkY=xipgYl h9vqqj=hEeeu0xXdi9arFj0xirFj0dXdbba91qpK0=yr0RYxfr=Jbb f9q8aq0=yq=He9q8qqQ8frFve9Fve9Ff0dmeaabaqaciaacaGaaeqa baqabeGadaaakeaaqaaaaaaaaaWdbiaadEfapaWaaSbaaSqaa8qacq aHXoqycqaHYoGya8aabeaaaaa@35A1@   MathType@MTEF@5@5@+= feaahGart1ev3aqatCvAUfeBSjuyZL2yd9gzLbvyNv2CaerbuLwBLn hiov2DGi1BTfMBaeXatLxBI9gBaerbd9wDYLwzYbItLDharqqtubsr 4rNCHbGeaGqiVu0Je9sqqrpepC0xbbL8F4rqqrFfpeea0xe9Lq=Jc9 vqaqpepm0xbba9pwe9Q8fs0=yqaqpepae9pg0FirpepeKkFr0xfr=x fr=xb9adbaqaaeGaciGaaiaabeqaamaabaabaaGcbaacbaqcLbwaqa aaaaaaaaWdbiaa=nbiaaa@37A4@  эрмитова матрица. В результате получим

P= α,β 1 2 σ ' αβ W βα 1 4 Dσ '' αβ W βα dK. MathType@MTEF@5@5@+= feaahGart1ev3aqatCvAUfeBSjuyZL2yd9gzLbvyNv2Caerbov2D09 MBdbqedmvETj2BSbqeeuuDJXwAKbsr4rNCHbGeaGqik8fkY=xipgYl h9vqqj=hEeeu0xXdi9arFj0xirFj0dXdbba91qpK0=yr0RYxfr=Jbb f9q8aq0=yq=He9q8qqQ8frFve9Fve9Ff0dmeaabaqaciaacaGaaeqa baqabeGadaaakeaaqaaaaaaaaaWdbiaadcfacqGH9aqpdaGfqbqabS WdaeaapeGaeqySdeMaaiilaiabek7aIbqab0WdaeaapeGaeyyeIuoa aOGaaqEdGiabgUIiYlaaK3aidaGadaWdaeaapeWaaSaaa8aabaWdbi aaigdaa8aabaWdbiaaikdaaaGaeq4WdmNaae4ja8aadaWgaaWcbaWd biabeg7aHjabek7aIbWdaeqaaOWdbiaadEfapaWaaSbaaSqaa8qacq aHYoGycqaHXoqya8aabeaak8qacqGHsisldaWcaaWdaeaapeGaaGym aaWdaeaapeGaaGinaaaatuuDJXwAK1uy0HwmaeHbfv3ySLgzG0uy0H gip5wzaGabaiab=nq8ejabeo8aZjaabEcacaqGNaWdamaaBaaaleaa peGaeqySdeMaeqOSdigapaqabaGcpeGaam4va8aadaWgaaWcbaWdbi abek7aIjabeg7aHbWdaeqaaaGcpeGaay5Eaiaaw2haaiaadsgacaWH lbGaaiOlaaaa@67E4@

Первое слагаемое представляет собой стандартное выражение для плотности мощности джоулевых потерь (истинное поглощение Q). Второе слагаемое появляется только в средах с пространственной дисперсией. При его вычислении часть /K MathType@MTEF@5@5@+= feaahGart1ev3aqatCvAUfeBSjuyZL2yd9gzLbvyNv2Caerbov2D09 MBdbqedmvETj2BSbqeeuuDJXwAKbsr4rNCHbGeaGqik8fkY=xipgYl h9vqqj=hEeeu0xXdi9arFj0xirFj0dXdbba91qpK0=yr0RYxfr=Jbb f9q8aq0=yq=He9q8qqQ8frFve9Fve9Ff0dmeaabaqaciaacaGaaeqa baqabeGadaaakeaaqaaaaaaaaaWdbiabgkGi2kaac+cacqGHciITca WHlbaaaa@357E@  оператора L MathType@MTEF@5@5@+= feaahGart1ev3aqatCvAUfeBSjuyZL2yd9gzLbvyNv2Caerbov2D09 MBdbqedmvETj2BSbqeeuuDJXwAKbsr4rNCHbGeaGqik8fkY=xipgYl h9vqqj=hEeeu0xXdi9arFj0xirFj0dXdbba91qpK0=yr0RYxfr=Jbb f9q8aq0=yq=He9q8qqQ8frFve9Fve9Ff0dmeaabaqaciaacaGaaeqa baqabeGadaaakeaatuuDJXwAK1uy0HwmaeHbfv3ySLgzG0uy0Hgip5 wzaGabaabaaaaaaaaapeGae8NeHWeaaa@3BB8@  не дает вклад в интеграл по K MathType@MTEF@5@5@+= feaahGart1ev3aqatCvAUfeBSjuyZL2yd9gzLbvyNv2Caerbov2D09 MBdbqedmvETj2BSbqeeuuDJXwAKbsr4rNCHbGeaGqik8fkY=xipgYl h9vqqj=hEeeu0xXdi9arFj0xirFj0dXdbba91qpK0=yr0RYxfr=Jbb f9q8aq0=yq=He9q8qqQ8frFve9Fve9Ff0dmeaabaqaciaacaGaaeqa baqabeGadaaakeaaqaaaaaaaaaWdbiaahUeaaaa@31FF@ , а часть /R MathType@MTEF@5@5@+= feaahGart1ev3aqatCvAUfeBSjuyZL2yd9gzLbvyNv2Caerbov2D09 MBdbqedmvETj2BSbqeeuuDJXwAKbsr4rNCHbGeaGqik8fkY=xipgYl h9vqqj=hEeeu0xXdi9arFj0xirFj0dXdbba91qpK0=yr0RYxfr=Jbb f9q8aq0=yq=He9q8qqQ8frFve9Fve9Ff0dmeaabaqaciaacaGaaeqa baqabeGadaaakeaaqaaaaaaaaaWdbiabgkGi2kaac+cacqGHciITca WHsbaaaa@3585@  всегда представляется в виде дивергенции от некоторого вектора. Поэтому

P=Q+divT,    T= α,β 1 4 σ '' αβ K W βα dK. MathType@MTEF@5@5@+= feaahGart1ev3aqatCvAUfeBSjuyZL2yd9gzLbvyNv2Caerbov2D09 MBdbqedmvETj2BSbqeeuuDJXwAKbsr4rNCHbGeaGqik8fkY=xipgYl h9vqqj=hEeeu0xXdi9arFj0xirFj0dXdbba91qpK0=yr0RYxfr=Jbb f9q8aq0=yq=He9q8qqQ8frFve9Fve9Ff0dmeaabaqaciaacaGaaeqa baqabeGadaaakeaaqaaaaaaaaaWdbiaadcfacqGH9aqpcaWGrbGaey 4kaSIaaeizaiaabMgacaqG2bGaaCivaiaacYcacaa5GcGaaqoOaiaa Kdkacaa5GcGaaCivaiabg2da9maawafabeWcpaqaa8qacqaHXoqyca GGSaGaeqOSdigabeqdpaqaa8qacqGHris5aaGccaa5naIaey4kIiVa aqEdGmaalaaapaqaa8qacaaIXaaapaqaa8qacaaI0aaaamaalaaapa qaa8qacqGHciITcqaHdpWCcaqGNaGaae4ja8aadaWgaaWcbaWdbiab eg7aHjabek7aIbWdaeqaaaGcbaWdbiabgkGi2kaahUeaaaGaam4va8 aadaWgaaWcbaWdbiabek7aIjabeg7aHbWdaeqaaOWdbiaadsgacaWH lbGaaiOlaaaa@5EC6@

Очевидно, последняя часть должна быть включена в выражение для плотности потока энергии. Выразив оператор проводимости через тензор диэлектрической проницаемости, σ '' αβ =ωε ' αβ /4π MathType@MTEF@5@5@+= feaahGart1ev3aqatCvAUfeBSjuyZL2yd9gzLbvyNv2Caerbov2D09 MBdbqedmvETj2BSbqeeuuDJXwAKbsr4rNCHbGeaGqik8fkY=xipgYl h9vqqj=hEeeu0xXdi9arFj0xirFj0dXdbba91qpK0=yr0RYxfr=Jbb f9q8aq0=yq=He9q8qqQ8frFve9Fve9Ff0dmeaabaqaciaacaGaaeqa baqabeGadaaakeaaqaaaaaaaaaWdbiabeo8aZjaabEcacaqGNaWdam aaBaaaleaapeGaeqySdeMaeqOSdigapaqabaGcpeGaeyypa0JaeyOe I0IaeqyYdCNaeqyTduMaae4ja8aadaWgaaWcbaWdbiabeg7aHjabek 7aIbWdaeqaaOWdbiaac+cacaaI0aGaeqiWdahaaa@44E9@ , получим окончательную форму:

T r = ω 16π α,β ε ' αβ r,K K W βα r,K  dK, MathType@MTEF@5@5@+= feaahGart1ev3aqatCvAUfeBSjuyZL2yd9gzLbvyNv2Caerbov2D09 MBdbqedmvETj2BSbqeeuuDJXwAKbsr4rNCHbGeaGqik8fkY=xipgYl h9vqqj=hEeeu0xXdi9arFj0xirFj0dXdbba91qpK0=yr0RYxfr=Jbb f9q8aq0=yq=He9q8qqQ8frFve9Fve9Ff0dmeaabaqaciaacaGaaeqa baqabeGadaaakeaaqaaaaaaaaaWdbiaahsfadaqadaWdaeaapeGaaC OCaaGaayjkaiaawMcaaiabg2da9iabgkHiTmaalaaapaqaa8qacqaH jpWDa8aabaWdbiaaigdacaaI2aGaeqiWdahaamaawafabeWcpaqaa8 qacqaHXoqycaGGSaGaeqOSdigabeqdpaqaa8qacqGHris5aaGccaa5 naIaey4kIiVaaqEdGmaalaaapaqaa8qacqGHciITcqaH1oqzcaqGNa WdamaaBaaaleaapeGaeqySdeMaeqOSdigapaqabaGcpeWaaeWaa8aa baWdbiaahkhacaGGSaGaaC4saaGaayjkaiaawMcaaaWdaeaapeGaey OaIyRaaC4saaaacaWGxbWdamaaBaaaleaapeGaeqOSdiMaeqySdega paqabaGcpeWaaeWaa8aabaWdbiaahkhacaGGSaGaaC4saaGaayjkai aawMcaaiaaKdkacaWGKbGaaC4saiaacYcaaaa@6109@

Эта формула обобщает известное выражение для дополнительного потока энергии в однородной среде с пространственной дисперсией, смотри, например, формулу (9.18) в § MathType@MTEF@5@5@+= feaahGart1ev3aqatCvAUfeBSjuyZL2yd9gzLbvyNv2Caerbov2D09 MBdbqedmvETj2BSbqeeuuDJXwAKbsr4rNCHbGeaGqik8fkY=xipgYl h9vqqj=hEeeu0xXdi9arFj0xirFj0dXdbba91qpK0=yr0RYxfr=Jbb f9q8aq0=yq=He9q8qqQ8frFve9Fve9Ff0dmeaabaqaciaacaGaaeqa baqabeGadaaakeaaqaaaaaaaaaWdbiaabEkaaaa@3255@  9 гл. 2 [37]. Для того, что бы получить формулу (9.18), надо предположить, что пространственный спектр поля достаточно узкий. Тогда ε ' αβ / K γ MathType@MTEF@5@5@+= feaahGart1ev3aqatCvAUfeBSjuyZL2yd9gzLbvyNv2Caerbov2D09 MBdbqedmvETj2BSbqeeuuDJXwAKbsr4rNCHbGeaGqik8fkY=xipgYl h9vqqj=hEeeu0xXdi9arFj0xirFj0dXdbba91qpK0=yr0RYxfr=Jbb f9q8aq0=yq=He9q8qqQ8frFve9Fve9Ff0dmeaabaqaciaacaGaaeqa baqabeGadaaakeaaqaaaaaaaaaWdbiabgkGi2kabew7aLjaabEcapa WaaSbaaSqaa8qacqaHXoqycqaHYoGya8aabeaak8qacaGGVaGaeyOa IyRaam4sa8aadaWgaaWcbaWdbiabeo7aNbWdaeqaaaaa@3D80@  можно вынести из под интегрирования и получить

T ω 16π α,β ε ' αβ K E α * E β . MathType@MTEF@5@5@+= feaahGart1ev3aqatCvAUfeBSjuyZL2yd9gzLbvyNv2Caerbov2D09 MBdbqedmvETj2BSbqeeuuDJXwAKbsr4rNCHbGeaGqik8fkY=xipgYl h9vqqj=hEeeu0xXdi9arFj0xirFj0dXdbba91qpK0=yr0RYxfr=Jbb f9q8aq0=yq=He9q8qqQ8frFve9Fve9Ff0dmeaabaqaciaacaGaaeqa baqabeGadaaakeaaqaaaaaaaaaWdbiaahsfacqGHijYUcqGHsislda WcaaWdaeaapeGaeqyYdChapaqaa8qacaaIXaGaaGOnaiabec8aWbaa daGfqbqabSWdaeaapeGaeqySdeMaaiilaiabek7aIbqab0Wdaeaape GaeyyeIuoaaOGaaqEdGmaalaaapaqaa8qacqGHciITcqaH1oqzcaqG NaWdamaaBaaaleaapeGaeqySdeMaeqOSdigapaqabaaakeaapeGaey OaIyRaaC4saaaacaWGfbWdamaaDaaaleaapeGaeqySdegapaqaa8qa caqGQaaaaOGaamyra8aadaWgaaWcbaWdbiabek7aIbWdaeqaaOWdbi aac6caaaa@525F@

Наша техника также естественно обобщается для учета следующих поправок, проявляющихся в не слишком плавно неоднородных средах.

 

[1]Понять это утверждение можно на следующем примере. Из закона сохранения гамильтониана исходной автономной системы можно выразить импульс Kz... как функцию всех остальных переменных. Выберем z в качестве эволюционной координаты. Тогда эволюция ортогональных координат x, y и сопряженных им импульсов может рассматриваться как новая неавтономная система с функцией Гамильтона Kz... с τ на месте z. Фазовый объем будет сохраняться на поверхностях z = const. Если гамильтониан укороченной системы умножить на произвольную положительную функцию координат и импульсов, то получим сохранение фазового объема на системе поверхностей, не конгруэнтных z = const.

×

About the authors

Е. D. Gospodchikov

Gaponov-Grekhov Institute of Applied Physics, Russian Academy of Sciences

Author for correspondence.
Email: egos@ipfran.ru
Russian Federation, Nizhny Novgorod

A. A. Balakin

Gaponov-Grekhov Institute of Applied Physics, Russian Academy of Sciences

Email: egos@ipfran.ru
Russian Federation, Nizhny Novgorod

A. G. Shalashov

Gaponov-Grekhov Institute of Applied Physics, Russian Academy of Sciences

Email: egos@ipfran.ru
Russian Federation, Nizhny Novgorod

References

  1. Аликаев В.В., Литвак А.Г., Суворов Е.В., Фрайман А.А. // Высокочастотный нагрев плазмы. Материалы всесоюзного совещания. Горький: ИПФ АН, 1983.
  2. Prater R., Farina D., Gribov Yu., Harvey R.W., Ram A.K., Lin-Liu Y.-R., Poli E., Smirnov A.P., Volpe F., Westerhof E., Zvonkov A. and the ITPA Steady State Operation Topical Group // Nuclear Fusion. 2008. V. 48. P. 035006.
  3. Pereverzev G.V. // Physics of Plasmas. 1998. V. 5. P. 3529.
  4. Litvak A.G., Permitin G.V., Suvorov E.V., Fraiman A.A. // Nuclear Fusion. 1977. V. 17. P. 659.
  5. Romé M., Erckmann V., Gasparino U., Karulin N. // Plasma Phys. Control. Fusion. 1998. V. 40. P. 511.
  6. Wagner D., Stober J., Leuterer F., Monaco F., M ü ller S., M ü nich M., Rapson C.J., Reich M., Schubert M., Sch ü tz H., Treutterer W., Zohm H., Thumm M., Scherer T., Meier A., Gantenbein G., Jelonnek J., Kasparek W., Lechte C., Plaum B., Goodman T., Litvak A.G., Denisov G.G., Chirkov A., Zapevalov V., Malygin V., Popov L.G., Nichiporenko V.O., Myasnikov V.E., Tai E.M., Solyanova E.A., Malygin S.A. and ASDEX Upgrade Team // J. Infrared Millimeter Teraherz Waves. 2016. V. 37. P. 45.
  7. Балакин А.А., Балакина М.А., Пермитин Г.В., Смирнов А.И. // Физика плазмы. 2008. Т. 34. С. 533.
  8. Porte L., Coda S., Alberti S., Arnoux G., Blanchard P., Bortolon A., Fasoli A., Goodman T.P., Klimanov Y., Martin Y., Maslov M., Scarabosio A., Weisen H. // Nuclear Fusion. 2007. V. 47. P. 952.
  9. Кирнева Н.А., Борщеговский А.А., Куянов А.Ю., Пименов И.С., Рой И.Н. // ВАНТ Сер. Термоядерный синтез. 2021. Т. 44. С. 24.
  10. Shalashov A.G., Gospodchikov E.D., Smolyakova O.B., Bagryansky P.A., Malygin V.I., Thumm M. // Phys. Plasmas. 2012. V. 19. P. 052503.
  11. Сковородин Д.И., Черноштанов И.С., Амиров В.Х., Астрелин В.Т., Багрянский П.А., Беклемишев А.Д., Бурдаков А.В., Горбовский А.И., Котельников И.А., Магоммедов Э.М., Полосаткин С.В., Поступаев В.В., Приходько В.В., Савкин В.Я., Солдаткина Е.И., Соломахин А.Л., Сорокин А.В., Судников А.В., Христо М.С., Шиянков С.В., Яковлев Д.В., Щербаков В.И. // Физика плазмы. 2023. Т. 49. С. 831.
  12. Балакина М.А., Смолякова О.Б., Токман М.Д. // Физика плазмы. 2003. Т. 29. С. 60.
  13. Балакин А.А., Балакина М.А., Шашалов А.Г. // Физика плазмы. 2007. Т. 33. С. 724.
  14. Шалашов А.Г., Господчиков Е.Д. // УФН. 2022. Т. 192. С. 1399.
  15. Балакин А.А., Балакина М.А., Пермитин Г.В., Смирнов А.И. // Физика плазмы. 2007. Т. 33. С. 337.
  16. Balakin A.A., Balakina M.A., Permitin G.V., Smirnov A.I. // J. Phys. D: Appl. Phys. 2007. V. 40. P. 4285.
  17. Балакин А. А., Господчиков Е. Д., Шалашов А. Г. Письма ЖЭТФ. 2016. Т. 104. С. 701.
  18. Shalashov A.G., Balakin A.A., Gospodchikov E.D., Khusainov T.A. // Phys. Plasmas. 2016. V. 23. P. 112504.
  19. Шалашов А. Г., Балакин А. А., Хусаинов Т. А., Господчиков Е. Д., Соломахин А. Л. // ЖЭТФ. 2017. Т. 151. С. 379.
  20. Maj O., Balakin A.A., Poli E. // Plasma Phys. Controlled Fusion. 2010. V. 52. P. 085006.
  21. Tereshchenko M., Castejón F., Cappa A. // Plasma Phys. Controlled Fusion. 2013. V. 55. P. 115011.
  22. Castejón F., Cappa A., Tereshchenko M., Fernandez A. // Nuclear Fusion. 2008. V. 48. P. 075011.
  23. McDonald S.W. // Phys. Rev. A. 1991. V. 43. P. 4484.
  24. McDonald S.W. // Phys. Rep. 1988. V. 158. P. 337.
  25. Wigner E. // Phys. Rev. 1932. V. 40. P. 749.
  26. Zachos C., Fairlie D., Curtright T. Quantum mechanics in phase space: an overview with selected papers. London: World Scientific, 2005.
  27. Marushchenko N.B., Turkin Y., Maassberg H. // Computer Physics Communications. 2014. V. 185. P. 165.
  28. Farina D.A // Fusion Sci. Technol. 2007. V. 52. P. 154.
  29. Балакин А.А. // Изв. вузов: Радиофизика. 2012. Т. 55. С. 617.
  30. Köhn A., Guidi L., Holzhauer E., Maj O., Poli E., Snicker A., Weber H. // Plasma Phys. Control. Fusion. 2018. V. 60. P. 075006.
  31. Guidi L., Maj O., Weber H., K ö hn A., Snicker A., Poli E. // J. Phys: Confer. Ser. 2016. V. 775. P. 012005.
  32. Snicker A., Poli E., Maj O., Guidi L., K ö hn A., Weber H., Conway G., Henderson M., Saibene G. // Nuclear Fusion. 2017. V. 58. P. 016002.
  33. Weber H., Maj O., Poli E. // J. Phys.: Confer. Ser. 2018. V. 1125. P. 012022.
  34. Weber H., Maj O., Poli E. // J. Computational Electronics. 2021. V. 20. P. 2199.
  35. Weber H., Maj O., Poli E. // EPJ Web Confere. EDP Sci. 2023. V. 277. P. 01003.
  36. Poli E., Bottino A., Korger D., Maj O., Palermo F., Weber H. // New J. Phys. 2024. V. 26. P. 013016.
  37. Brambilla M. Kinetic theory of plasma waves: homogeneous plasmas. Oxford University Press, 1998.
  38. Weyl H. // Zeitschrift f ü r Physik. 1927. V. 46. P. 1.
  39. Шалашов А.Г., Господчиков Е.Д. // УФН. 2012. Т. 182. С. 157.
  40. Балакин А.А. // Изв. высших учебных заведений. Радиофизика. 2012. Т. 55. С. 521.
  41. Кравцов Ю.А., Орлов Ю.И. Геометрическая оптика неоднородных сред. М.: Наука, 1980.
  42. Ziolkowski R.W., Deschamps G.A. // Radio Science. 1984. V. 19. P. 1001.
  43. Терещенко М.А. // Физика плазмы. 2017. Т. 43. С. 9.
  44. Кляцкин В.И. Метод погружения в теории распространения волн. М.: Наука, 1986.
  45. Bornatici M., Engelmann F., Maroli C., Petrillo V. // Plasma Phys. 1981. V. 23. P. 89.
  46. Звонков А.В. // Физика плазмы. 1983. Т. 9. С. 547.
  47. Господчиков Е.Д., Чувакин П.А., Шалашов А.Г. // Физика плазмы. 2023. Т. 49. С. 953.
  48. Иванов М.Ф., Швец В.Ф. // ДАН СССР. 1978. Т. 238. С. 1324.
  49. Doering C.R. // Lectures in Complex Systems / Ed. L. Nadel, D.I. Stein. Boca Raton: CRC Press, 2018.
  50. Whittaker E.T. A treatise on the analytical dynamics of particles and rigid bodies. CUP Archive, 1964.
  51. Федоров Ф.И. // ДАН СССР. 1955. Т. 105. С. 465.
  52. Березин И.С., Жидков Н.П. Методы вычислений. Т. II. М.: Физматлит, 1959.

Supplementary files

Supplementary Files
Action
1. JATS XML
2. Fig. 1. Electron temperature (a) and plasma density (b) profiles used in the simulation.

Download (89KB)
3. Fig. 2. Simulation of propagation and absorption of quasi-optical wave beams in tokamak plasma: scenario of EC heating at the third harmonic with radiation input at an angle of 5  to the vertical (upper row) and 10  to the vertical (lower row). The wave field intensity distributions | u | 2 in the poloidal cross-section of the tokamak are shown, calculated without taking into account the diffusion terms in the first order of perturbation theory (a, d) and with taking into account the diffusion terms in the second order of perturbation theory (b, d). The solid red line highlights the region of microwave power absorption, determined by the level max (dP / dV) / 2 ; the dotted line denotes the plasma boundary. The graphs (c, e) show the absorbed power profiles П(ρ) with (2) and without (1) taking into account the diffusion terms.

Download (245KB)

Copyright (c) 2024 Russian Academy of Sciences

Согласие на обработку персональных данных с помощью сервиса «Яндекс.Метрика»

1. Я (далее – «Пользователь» или «Субъект персональных данных»), осуществляя использование сайта https://journals.rcsi.science/ (далее – «Сайт»), подтверждая свою полную дееспособность даю согласие на обработку персональных данных с использованием средств автоматизации Оператору - федеральному государственному бюджетному учреждению «Российский центр научной информации» (РЦНИ), далее – «Оператор», расположенному по адресу: 119991, г. Москва, Ленинский просп., д.32А, со следующими условиями.

2. Категории обрабатываемых данных: файлы «cookies» (куки-файлы). Файлы «cookie» – это небольшой текстовый файл, который веб-сервер может хранить в браузере Пользователя. Данные файлы веб-сервер загружает на устройство Пользователя при посещении им Сайта. При каждом следующем посещении Пользователем Сайта «cookie» файлы отправляются на Сайт Оператора. Данные файлы позволяют Сайту распознавать устройство Пользователя. Содержимое такого файла может как относиться, так и не относиться к персональным данным, в зависимости от того, содержит ли такой файл персональные данные или содержит обезличенные технические данные.

3. Цель обработки персональных данных: анализ пользовательской активности с помощью сервиса «Яндекс.Метрика».

4. Категории субъектов персональных данных: все Пользователи Сайта, которые дали согласие на обработку файлов «cookie».

5. Способы обработки: сбор, запись, систематизация, накопление, хранение, уточнение (обновление, изменение), извлечение, использование, передача (доступ, предоставление), блокирование, удаление, уничтожение персональных данных.

6. Срок обработки и хранения: до получения от Субъекта персональных данных требования о прекращении обработки/отзыва согласия.

7. Способ отзыва: заявление об отзыве в письменном виде путём его направления на адрес электронной почты Оператора: info@rcsi.science или путем письменного обращения по юридическому адресу: 119991, г. Москва, Ленинский просп., д.32А

8. Субъект персональных данных вправе запретить своему оборудованию прием этих данных или ограничить прием этих данных. При отказе от получения таких данных или при ограничении приема данных некоторые функции Сайта могут работать некорректно. Субъект персональных данных обязуется сам настроить свое оборудование таким способом, чтобы оно обеспечивало адекватный его желаниям режим работы и уровень защиты данных файлов «cookie», Оператор не предоставляет технологических и правовых консультаций на темы подобного характера.

9. Порядок уничтожения персональных данных при достижении цели их обработки или при наступлении иных законных оснований определяется Оператором в соответствии с законодательством Российской Федерации.

10. Я согласен/согласна квалифицировать в качестве своей простой электронной подписи под настоящим Согласием и под Политикой обработки персональных данных выполнение мною следующего действия на сайте: https://journals.rcsi.science/ нажатие мною на интерфейсе с текстом: «Сайт использует сервис «Яндекс.Метрика» (который использует файлы «cookie») на элемент с текстом «Принять и продолжить».