Acceleration of metal flyers at the Angara-5-1 facility
- Authors: Oleinik G.M.1, Branitsky A.V.1, Galanin M.P.2, Grabovski E.V.1, Tishchenko I.Y.3, Gubskii K.L.3, Kuznetsov А.P.3, Laukhin Y.N.1, Lototskii A.P.1, Rodin A.S.2, Smirnov V.P.1, Tkachenko S.I.1,4, Frolov I.N.1
-
Affiliations:
- Troitsk Institute for Innovation and Fusion Research
- Keldysh Institute of Applied Mathematics, Russian Academy of Sciences
- National Research Nuclear University MEPhI
- Joint Institute for High Temperatures, Russian Academy of Sciences
- Issue: Vol 50, No 8 (2024)
- Pages: 905-916
- Section: PLASMA DYNAMICS
- URL: https://medbiosci.ru/0367-2921/article/view/280619
- DOI: https://doi.org/10.31857/S0367292124080059
- EDN: https://elibrary.ru/OBDVSB
- ID: 280619
Cite item
Full Text
Abstract
The results of flyer acceleration up to the velocity of 10 km/s at the Angara-5-1 facility at the current of 5 MA by the magnetic field pressure are presented. 1D and 2D simulation of aluminum flyer acceleration is performed. The simulation results agree with each other and with the experimental data.
Full Text
Введение
Целью данной работы являлось создание мегабарного давления в твердом теле с помощью магнитного поля протекающего тока. Такие давления позволяют разогнать вещество до высоких скоростей. Обычно в описаниях таких экспериментов разогнанное вещество называют ударник (иногда флаер) и используют его для соударения с исследуемым образцом. С корости ударников достигают 10 км/с и выше.
На установке “Ангара-5-1” для разгона ударников и создания высоких давлений проведена модернизация электродной системы, что позволило уменьшить индуктивность и увеличить ток через нагрузку. Получено, что в выходной части установки при межэлектродных зазорах около 3 мм ток с временем нарастания 1 30 нс достигает 5 МА, а линейная плотность тока на ударнике ~5 МА/см. При этом скорость ударника из дюралюминия достигала 10 км/с [1].
1. Постановка эксперимента
Эксперименты проводились на установке “Ангара-5-1” [ 2]. Это генератор импульсной электрической мощности, которой состоит из восьми модульных генераторов, включенных параллельно. Для разгона ударников и создания высоких давлений была проведена модернизация электродной системы, объединяющей ток всех восьми модулей на общую нагрузку. Напряжение вблизи нагрузки было уменьшено за счет сокращения зазоров между анодом и катодом в выходной части установки на радиусе менее 60 мм с 10 до 3 мм. Это позволило несколько уменьшить индуктивность системы и увеличить ток и линейную плотность тока на ударнике. В большинстве экспериментов полный ток достигал 5 МА. Время нарастания тока до максимума 130 нс.
Концентратор тока располагался в вакуумной камере установки “Ангара- 5-1” при давлении 10 –5 Торр. Один из вариантов схемы центральной части концентратора показан на рис. 1. Внутренняя часть анода имела анодную полость диаметром 44 мм. Анод и катод соединены стержнем диаметром 6 мм. Благодаря асимметричному расположению стержня внутри анодной цилиндрической полости диаметром 44 мм магнитное поле в анодной полости концентрируется между стержнем и ближайшей к нему частью анода. Вертикальный участок анода с изображенным на рис. 1 размером 6 мм является ударником. Назовем поверхность ударника, ближайшую к стержню, – фронтальной, а противоположную поверхность ударника, – тыльной. Тыльная поверхность имела радиус кривизны 25, 5 мм. Толщина ударника (т.е. расстояние между фронтальной и тыльной поверхностями) в исходном состоянии около 1 мм. В ряде экспериментов к тыльной поверхности ударника был прикреплен кристалл LiF (см. правую часть рис. 1) толщиной 3 мм, в этом случае т ыльная поверхность ударника была плоской. В зазоре величиной 1 мм между стержнем и смежным участком анода создается сильное магнитное поле, масштаба 5 МГс. Под действием такого поля этот участок ускоряется наружу от анодной полости (справа налево). Исходя из постановки эксперимента, можно оценить ширину разгоняемого ударника как 5–10 мм, хотя экспериментально она не была измерена.
Рис. 1. Схема одного из вариантов центральной части концентратора. Стрелками показано протекание тока, сплошной черный прямоугольник – стержень. Слева без LiF, разрез и вид сверху. Справа – с кристаллом LiF толщиной 3 мм, разрез.
Представленный здесь вариант схемы центральной части концентратора и крепления ударника удобен тем, что в пространстве, где будет лететь ударник, не образуется и не попадает плазма, которая мешает получению теневой лазерной картинки, демонстрирующей смещение ударника.
Для регистрации движения ударника использовалось теневое фотографирование. Для получения трех теневых кадров в каждом выстреле использовалась лазерная подсветка тремя пучками импульсного лазера SL-233 на длине волны 0,532 мкм с длительностью зондирующего импульса 0,1 нс. Интервал между кадрами варьировался в разных выстрелах от 13 до 6 3 нс. Лучи лазера были направлены перпендикулярно плоскости рис. 1 вблизи ударника, и в случае использования – LiF так же перпендикулярно плоскости рис. 1. Оптическая система обеспечивает пространственное разрешение по объекту ±50 мкм для первого и третьего кадра и ±25 мкм для второго кадра. Для возможности раздельной регистрации эти лучи проходят вблизи ударника под разными углами.
Измерение скорости движения ударника осуществлялось с помощью двух интерферометров: квадратурно-дифференциального неравноплечного интерферометра (КДНИ) [3] и квадратурного неравноплечного интерферометра с дополнительным каналом контроля интенсивности на входе (КНИ) [4]. Одновременное измерение скорости двумя интерферометрами с разными линиями задержки (линия задержки КДНИ – 1280 м/с/полосу, КНИ – 7730 м/с/полосу) позволяет избавиться от неоднозначности определения скорости при ее резком изменении.
2. Результаты эксперимента
Положение ударника регистрировалось лазерным зондированием в разные моменты времени. По представленным данным можно было определить скорость тыльной границы ударника.
На рис. 2 представлены три теневые лазерные картинки зондирования ударника с кристаллом LiF. Видно распространение волны сжатия в LiF справа налево от границы контакта LiF -ударник. В области прохождения волны сжатия изменяется коэффициент преломления кристалла, соответственно зондирующее излучение на границе изменения коэффициента преломления может отклониться настолько сильно, что выйдет за апертуру оптической системы. В этом случае на фотографиях образуется потемнение, по перемещению которого можно определить скорость распространения волны сжатия в кристалле LiF. Если сжатие было упругим, после прохождения волны свойства кристалла восстанавливаются, и он опять становится прозрачным. Как видно на теневых картинках, внешняя (левая) граница волны достаточно ровная, без развития неустойчивостей.
Рис. 2. Три теневые картинки лазерного зондирования ударника с кристаллом LiF ; интервал между первым и вторым кадром – 63.3 нс, между вторым и третьим – 58.5 нс. Направление распространения волны сжатия и ее локализация показаны стрелками. Исходное положение ударника – справа, там, где начинаются стрелки.
На рис. 3 представлен обзор по нескольким выстрелам смещения тыльной поверхности ударника в разные моменты времени и прямая с наклоном 0,0098мм/нс. Это соответствует скорости 9.8 км/с. Погрешность определения величины скорости составляет 0.5 км/с. По представленным на рис. 3 данным можно утверждать, что для дюралюминия скорость смещения тыльной поверхности ударника для некоторых выстрелов достигает ~10 км/с. Разброс экспериментальных результатов характеризует погрешность измерения скорости и обусловлен возможными потерями тока в миллиметровых зазорах.
Рис. 3. Смещение Х в вакуум (без LiF) тыльной поверхности ударника в разные моменты времени по результатам лазерного зондирования. По вертикали – смещение тыльной поверхности ударника, по горизонтали – момент времени зондирования. Результаты, полученные в одном выстреле, соединены отрезками. Размеры прямоугольников соответствуют ошибкам.
Обращает на себя внимание то, что в ряде выстрелов зарегистрированная средняя скорость между двумя кадрами маленькая, нулевая и даже отрицательная. Это может быть объяснено тем, что при смещениях, более 1 мм, тыльная поверхность ударника начинает искажаться и расплываться, перестает быть плоской. Кроме того, поскольку зондирующие лучи проходят вблизи ударника под разными углами, то это может дать искаженную информацию о положении тыльной границы ударника.
В отличие от теневых картинок, на которых фиксируется смещение самых быстрых участков ударника, интерференционный метод позволяет после обработки определить непосредственно скорость.
На рис. 4 представлен результат измерения скорости волны сжатия при выходе ее из дюралюминия в кристалл LiF с помощью двух квадратурных неравноплечных интерферометров с разными линиями задержки. Видно очень резкое, с временем нарастания 2.5 нс, нарастание скорости тыльной поверхности до 5.5 км/с. Отличие измеренной таким образом скорости 5.5 км/с от заявленной выше будет объяснено далее.
Рис. 4. Результат измерения скорости некоторой точки тыльной поверхности ударника с помощью двух интерферометров: квадратурно-дифференциального неравноплечного интерферометра (КДНИ) и квадратурного неравноплечного интерферометра с дополнительным каналом контроля интенсивности на входе (КНИ) с разными линиями задержки (линия задержки КДНИ – 1280 м/с/полосу, КНИ – 7730 м/с/полосу).
Очень интересно было бы исследовать разлет ударника в вакуум с помощью интерферометрических измерений, как это сделано на Z-машине [5]. Мы предпринимали такие попытки, однако, в наших экспериментах происходило такое неоднородное разрушение тыльной поверхности ударника, что полученные сигналы не удавалось интерпретировать.
3. Одномерное численное моделирование разгона ударника
Численное моделирование алюминиевого ударника толщиной h0 = 900 мкм при протекании по нему тока с линейной плотностью ~4.5 МА/см проведено в рамках одномерной однотемпературной магнитной гидродинамики [ 6]. Для описания свойств алюминия использовались широкодиапазонные полуэмпирические уравнения состояния [7, 8] с учетом фазовых превращений (плавление и испарение) и возможности реализации метастабильных состояний (которые могут реализоваться в таких быстропротекающих процессах), а также зависимости транспортных коэффициентов (проводимости и теплоемкости) от температуры [9].
На рис. 5–8 представлены временные зависимости скорости разных слоев ударника при протекании по нему тока с линейной плотностью ~4.5 МА/см, их смещение относительно начального положения, температуры, плотности, давления, плотности тока, а также распределения температуры и давления в разные моменты времени по его толщине. Получено, что к моменту времени ~500 нс слой вещества ударника вблизи тыльной поверхности толщиной около 200 мкм по -прежнему находится в твердом состоянии. С корость тыльной поверхности к этому моменту времени достигает ~10 км/с. Проведенные расчеты демонстрируют возможность достижения скорости 10 км/с при сохранении в основной части разгоняемого образца-ударника плотности твердого состояния.
Рис. 5. Эволюция (а) положения и (б) скорости разных слоев ударника: 1 – тыльная поверхность ударника; 2 – центральный слой (x = h0 /2) и 3 – фронтальная поверхность ударника.
Рис. 6. Эволюция (а) температуры и (б) плотности в разных слоях ударника: 1 – тыльная поверхность ударника; 2 – центральный слой (x = h0 /2) и 3 – фронтальная поверхность ударника.
Рис. 7. Эволюция (а) давления и (б) плотности тока в разных слоях ударника: 1 – тыльная поверхность ударника; 2 – центральный слой (x = h0 /2) и 3 – фронтальная поверхность ударника.
Рис. 8. Распределение (а) температуры и (б) давления по толщине ударника на различные моменты времени: 1 – 80; 2 – 160; 3 – 200; 4 – 240; 5 – 340 и 6 – 480 нс; горизонтальные линии: температуры 7 – плавления и 8 – кипения алюминия при атмосферном давлении. Координата фронтальной поверхности ударника 900 мкм, тыльной – 0 мкм.
4. Двумерное численное моделирование разгонаударника
При моделировании полный ток J(t), текущий по аноду задан формулой:
J(t)= Jmax ·(sin(t ·π/260)) 2 ·Ө(t·(260 – t)),
где t в нс, Jmax =5 МА, Ө(t) – функция Хевисайда. Шаг по времени составлял 0.25 нс.
Был проведен двумерный расчет в плоскости XY, перпендикулярной стержню. Расчетной областью была внутренность полукруга радиусом 3 мм (рис. 9). В расчетной области катод – это круг с центром в 0, радиус равен 3 мм, на оси ОХ в начальный момент времени ударник занимал область от 4 мм до 5 мм.
Рис. 9. Расчетная область. Половина поперечного сечения устройства.
При построении численной модели применялся метод конечных элементов с использованием элементов 1-го порядка на треугольной сетке. Во всех расчетах использовалась лагранжева сетка, которая в области анода перестраивалась в соответствии с полученными полями скоростей и перемещений, в области катода оставалась неподвижной, а в остальных подобластях перестраивалась по определенным закономерностям, привязанным к получению ячеек сетки приемлемого качества.
Плотность электрического тока в такой 2D - постановке имела только одну компоненту – перпендикулярную плоскости XY. Моделирование электромагнитных полей проведено путем решения системы уравнений Максвелла в квазистационарном приближении, при этом через каждый проводник протекал заданный полный ток [ 10]. В расчетах учитывалась зависимость проводимости алюминия от плотности и температуры [9].
Для моделирования движения анода использовались две модели. Модель 1 соответствует вязкой сжимаемой жидкости (газу) [ 11]. Широкодиапазонное уравнение состояния [8] было использовано для расчета зависимостей давления и внутренней энергии от плотности и температуры. В модели 2 для моделирования твердой фазы алюминия применялась модель термоупргопластического тела (в плоской постановке) для произвольной величины деформации на основе соотношений гиперупругости, записанных в терминах производных по времени тензора логарифмической деформации и тензора напряжений Кирхгоффа с исключенным поворотом [12]. После перехода вещества в жидкую фазу использовались такие же уравнения вязкой сжимаемой жидкости (газа), как и в модели 1. Более подробно данные модели изложены в [ 13]. Проведенные расчеты показали, что при моделировании твердой фазы важно учесть зависимость упругих параметров материала от плотности. Соответствующие зависимости для модуля всестороннего сжатия и модуля сдвига взяты из [14].
Полученные модели протестированы на примере ускорения цилиндрического алюминиевого ударника, которое описано в [1 5]. В [13] выполнено сравнение результатов двумерного моделирования с применением моделей 1 и 2 и результатов, полученных в [15] с помощью одномерного моделирования (для модели сжимаемого газа). Сравнение показало достаточно близкие значения различных характеристик.
Моделирование разгона ударника с разными уравнениями состояния позволяет выбрать модель, наилучшим образом, описывающую свойства вещества. Для этого проведены два расчета с использованием модели 1 и модели 2.
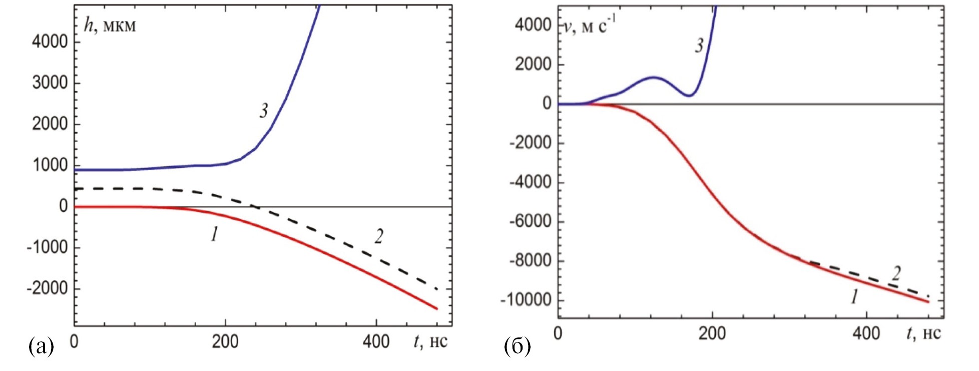
На рис. 10 для точки, расположенной на тыльной поверхности ударника на оси симметрии, показаны зависимости от времени скорости, плотности и температуры, полученные в разных расчетах. Из приведенных графиков видно, что после того, как волна возмущения достигает тыльной поверхности ударника, скорость и температура данного участка в обоих расчетах в дальнейшем практически не меняются. В расчете 1 скорость тыльной поверхности ударника составляет около 8,9 км/с, а температура – около 770 К. В расчете 2 скорость тыльной поверхности ударника составляет около 7 км/с, а температура – около 920 К. В то же время плотность данного участка ударника для различных моделей ведет себя по-разному: для модели 1 плотность быстро убывает (от пикового значения 3.5 г/см3 в момент времени 174 нс, до 0.43 г/см3 в момент времени 400 нс); для модели 2 плотность уменьшается гораздо медленней (от пикового значения 3.4 г/см3 в момент времени 157 нс, до 1.9 г/см3 в момент времени 400 нс).
Рис. 10. Скорость (Vsurf), плотность (Dens), температура (Temp) точки, расположенной на оси симметрии на тыльной поверхности ударника для двух моделей. Цифры в легендах обозначают номер модели.
Поскольку в процессе ускорения ударника на протяжении большого промежутка времени существенная часть вещества анода находится в твердом состоянии, то более предпочтительной выглядит модель 2. Дальнейшие результаты представлены для расчета 2. На рис. 11 представлено распределение плотности в ускоряемом участке анода в моменты времени 200 нс, 300 нс и 400 нс для расчета 2. Видно расширение ударника в обе стороны, вблизи тыльного края происходит расщепление материала на слои, значительно отличающиеся по плотности. У тыльной поверхности сохраняется слой с плотностью 2,5–1.9 г/см3 (в момент времени 400 нс толщина этого слоя примерно равна 0,2 мм).
Рис. 11. Р аспределение плотности на участке анода в моменты времени 200нс (слева), 300нс (центр) и 400нс (справа) для расчета 2. На оси Ох в начальный момент времени ударник занимал область от 4 мм до 5 мм.
На рис. 12 показаны для 2-го расчета графики распределения скорости, плотност и и температуры на участке анода, расположенном на оси симметрии в различные моменты времени. Из графиков видно, что после момента времени 150 нс фронтальная поверхность ударника приобретает отрицательную скорость и начинает двигаться в направлении катода, который изображен на рис. 1 в виде стержня. Использованная модель с лагранжевыми сетками не позволяет описать столкновение вещества анода с этим катодом, поэтому считается, что между ними находится искусственная преграда, на которой поставлено условие прилипания. Данное допущение искажает поведение вещества во фронтальной части (от преграды начинают двигаться отраженные волны, там возникают большие температуры), но не влияет на процессы, протекающие на тыльной части ударника.
Рис. 12. Р аспределения скорости (Vх), плотност и (Dens), т емпературы (lg _ T) в различные моменты времени для расчета 2. Цифры в легендах – время в нс. По горизонтали – координата расчетной области, на оси ОХ в начальный момент времени ударник занимал область от 4 мм до 5 мм. Температура измеряется в Кельвинах.
Тем не менее, эта 2 D - модель показывает, что в некоторый момент происходит объединение вещества катода и анода. Естественно, возникнут компоненты электрического тока, лежащие в плоскости XY. Как отмечалось, расчетная модель учитывает только компоненты электрического тока, ортогональные плоскости XY. Физически, конечно, ток в плоскости XY возникнет, что приведет к уменьшению магнитного давления. В этом может лежать одна из причин отличия данных эксперимента от результатов расчета.
5. Обсуждение
Для эксперимента и разных приложений существенными являются параметры точки, расположенной на оси симметрии на тыльной поверхности ударника. Сопоставление данных эксперимента и модельных расчетов в нашем случае было проведено пока только по одному параметру – по скорости ударника. В будущих экспериментах, возможно, будет определена ширина разгоняемого ударника, деформация его формы, его температура, инкремент развития неустойчивости при больших пролетных базах.
Для начала сопоставим результаты измерения скорости разными методиками: по лазерной теневой фотографии (см. рис. 3) и по интерферометрическим измерениям (см. рис. 4). Результат измерения скорости некоторой точки тыльной поверхности ударника с помощью двух интерферометров составляет 5.5 км/с. Тут следует отметить, что это измерение позволяет регистрировать локальную скорость некоторой точки.
На рис. 13 представлена обработка результатов одного выстрела № 6133, в котором были задействованы обе эти методики, а к тыльной поверхности ударника был прикреплен кристалл LiF. Зависимость скорости от времени для кривой «1280 м/с/п» (см. рис. 4) была проинтегрирована и таким образом получена зависимость смещения отражающей поверхности от времени. На этом же рис. 13 прямыми крестами нанесены три точки границы распространения волны сжатия в кристалле LiF, полученные в трех кадрах методом лазерной теневой фотографии (см. рис. 2). Как видим, результаты измерения скорости для этих двух методик находятся в удовлетворительном согласии, и зарегистрированная скорость внутри кристалла LiF для выстрела № 6133 составляет 5.5 км/с. П лотность LiF (2.635 г/см3) близка к плотности дюралюминия (2.5–2.8 г/см³), поэтому и скорость волны сжатия при выходе из дюралюминия в LiF почти такая же – 5.5 км/с.
Рис. 13. Обработка результатов одного выстрела № 6133 с кристаллом LiF. Зависимость смещения отражающей поверхности от времени (линия) по результатам интерферометрии и три точки смещения для трех кадров по рис. 2 по результатам теневого лазерного зондирования.
Экспериментально зарегистрированные скорости ударника без LiF методом лазерного теневого фотографирования на больших пролетных базах (до 4 мм) и по большой совокупности выстрелов (>10) достигали 10 км/с, хотя, конечно, в зависимости от протекания тока скорости были и меньше. Отличие 10 км/с от 5.5 км/с большое, почти в два раза. Оно обусловлено следующим. Как только что отмечено, скорость 5.5 км/с – это скорость волны сжатия внутри вещества LiF. А скорость 10 км/с – это скорость ударника из дюралюминия, когда волна сжатия вышла на свободную тыльную поверхность ударника. При этом происходит удвоение скорости. Это хорошо видно на рис. 12, где скорость тыльной поверхности ударника практически удваивается в промежутке времени 150 180 нс. Так что в этом нет противоречия, и максимальная зарегистрированная скорость ударника 10 км/с. В идеальном случае это очевидно [1 6].
Моделирование позволяет уяснить физику процесса. На ударник влияют два фактора – давление магнитного поля и газокинетическое давление. Давление магнитного поля ускоряет ударник в направлении движения, давление газокинетическое приводит к расталкиванию вещества ударника. Для летящей вперед части ударника эти силы складываются, причем, как оказалось, вклад газокинетического давления сопоставим с вкладом магнитного давления. Такая картина описывается всеми моделями.
С другой стороны, разные модели описания вещества приводят к заметным различиям в получаемых параметрах. Так, на рис. 10 видны заметные различия в с корости, плотност и, температур е. Для модели 1 (2 D) получена большая скорость, но для участка вещества с низкой плотностью. Для модели 2 (2 D) скорость тыльной поверхности меньше, но ускоряется слой более плотного вещества. На рисунке 10 для расчета 1 для 0 < t < 170 нс скорость Vsurf отлична от нуля, а плотность падает (по сравнению с начальной). Это объясняется тем, что в уравнении состояния для жидкого ударника при комнатной температуре и плотности, соответствующей твердой фазе, возникает существенное давление (несколько ГПа), под действием которого тело начинает «расплываться». Естественно, такой эффект противоречит поведению твердого вещества при отсутствии нагрузок, поэтому результаты расчета 1 (2 D) для поведения тыльной поверхности ударника на данном этапе представляются сомнительными. В расчете 2 (2 D) использованы достаточно реалистичные зависимости упругих параметров от плотности, но нет полной ясности, как изменятся эти зависимости при высоких температурах.
Расчет скорости ударника по двум разным моделям дает 8,9 км/с для первой модели и 7 км/с для второй модели. Несмотря на отмеченные выше недостатки первой модели, она дает величину скорости, близкую к полученной экспериментально – 10 км/с.
Сопоставление 2D - и 1D - расчетов показывает, что 1D - расчет не полностью описывает реальную картину. Так, скорость тыльной поверхности ударника по 1D -расчету нарастает постепенно, тогда как в 2D - расчете и в эксперименте (см. рис. 4) она нарастает скачком. Температура и плотность тыльной поверхности ударника по 1D - расчету соответствуют исходному состоянию твердого тела, тогда как по 2D - расчету плотность существенно уменьшается. Это объясняется тем, что в рамках одномерного МГД - расчета не учитывается перемещение вещества в направлении Y на рис. 11. Одномерная МГД- модель будет адекватно описывать процессы только в том случае, если поперечные перемещения среды будут не слишком значительны, что в нашем случае не так. Тем не менее, результаты 1D - и 2D - моделирования в общем соответствуют друг другу и эксперименту.
Заключение
Разработана конструкция концентратора установки Ангара 51 с пониженной индуктивностью. Это позволило поднять ток установки до 5 МА. Первые экспериментальные результаты показывают возможность нагружения образца током 5 МА на установке “Ангара-5-1” при линейной плотности 5 МА/см. Под действием такого тока вещество ударника толщиной 1 мм из дюралюминия достигает скорости около 10 км/с.
Проведено 1D - и 2D - моделирование разгона ударника из алюминия. Результаты моделирования удовлетворительно соответствуют друг другу и эксперименту.
About the authors
G. M. Oleinik
Troitsk Institute for Innovation and Fusion Research
Author for correspondence.
Email: oleinik@triniti.ru
Russian Federation, Troitsk, Moscow
A. V. Branitsky
Troitsk Institute for Innovation and Fusion Research
Email: oleinik@triniti.ru
Russian Federation, Troitsk, Moscow
M. P. Galanin
Keldysh Institute of Applied Mathematics, Russian Academy of Sciences
Email: oleinik@triniti.ru
Russian Federation, Moscow
E. V. Grabovski
Troitsk Institute for Innovation and Fusion Research
Email: oleinik@triniti.ru
Russian Federation, Troitsk, Moscow
I. Yu. Tishchenko
National Research Nuclear University MEPhI
Email: oleinik@triniti.ru
Russian Federation, Moscow
K. L. Gubskii
National Research Nuclear University MEPhI
Email: oleinik@triniti.ru
Russian Federation, Moscow
А. P. Kuznetsov
National Research Nuclear University MEPhI
Email: oleinik@triniti.ru
Russian Federation, Moscow
Yu. N. Laukhin
Troitsk Institute for Innovation and Fusion Research
Email: oleinik@triniti.ru
Russian Federation, Troitsk, Moscow
A. P. Lototskii
Troitsk Institute for Innovation and Fusion Research
Email: oleinik@triniti.ru
Russian Federation, Troitsk, Moscow
A. S. Rodin
Keldysh Institute of Applied Mathematics, Russian Academy of Sciences
Email: oleinik@triniti.ru
Russian Federation, Moscow
V. P. Smirnov
Troitsk Institute for Innovation and Fusion Research
Email: oleinik@triniti.ru
Russian Federation, Troitsk, Moscow
S. I. Tkachenko
Troitsk Institute for Innovation and Fusion Research; Joint Institute for High Temperatures, Russian Academy of Sciences
Email: oleinik@triniti.ru
Russian Federation, Troitsk, Moscow; Moscow
I. N. Frolov
Troitsk Institute for Innovation and Fusion Research
Email: oleinik@triniti.ru
Russian Federation, Troitsk, Moscow
References
- Александров В.В., Браницкий А.В., Грабовский Е.В., Лаухин Я.Н., Олейник Г.М., Ткаченко С.И., Фролов И.Н., Хищенко К.В. // Ядерная физика и инжиниринг. 2018. Т. 9, № 2. С. 141. h ttps://doi.org/ 10.1134/S207956291706001X
- Альбиков З.А., Велихов Е.П., Веретенников А.И., Глухих В.А., Грабовский Е.В., Грязнов Г.М., Гусев О.А., Жемчужников Г.Н., Зайцев В.И., Золотовский О.А., Истомин Ю.А., Козлов О.В., Крашенинников И.С., Курочкин С.С., Латманизова Г.М., Матвеев В.В., Минеев Г.В., Михайлов В.Н., Недосеев С.Л., Олейник Г.М., Певчев В.П., Перлин А.С., Печерский О.П., Письменный В.Д., Рудаков Л.И., Смирнов В.П., Царфин В.Я., Ямпольский И.Р. // Атомная энергия. 1990. Т. 68. Вып. 1. С. 2 6.
- Koshkin D. S., Gubskiy K. L., Mikhailuk A. V., Kuznetsov A. P. // Proc. Optics and Measurement Conf. Liberec, Czech Republic, 2014. / Ed. by Jana Kovačičinová, Tomáš Vít . 2015. // SPIE Conf. Proc. 2015. V. 9442. P. 94420M. h ttps://doi.org/10.1117/12.2175923
- Barker L.M., Hollenbach R.E. // J. Appl. Phys. 1972. V. 43. P. 4669. h ttps://doi.org/10.1063/1.1660986
- Knudson M.D., Desjarlais M.P. // J. Appl. Phys. 2021. V. 129. P. 210904. h ttps://doi.org/10.1063/5.0050878
- Браницкий А. В., Грабовский Е. В., Джангобегов В. В, Лаухин Я. Н., Митрофанов К. Н., Олейник Г. М., Сасоров П. В., Ткаченко С. И., Фролов И. Н. // Физика плазмы, 2016. Т. 42. С. 342. h ttps://doi.org/ 10.7868/S0367292116040028
- Fortov V.E., Khishchenko K.V., Levashov P.R., Lomonosov I.V. / /Nucl. Instr. Meth. Phys. Res. A. 1998. V. 415. P. 604.
- Хищенко К. В. // ТВТ. 2023. Т. 61. С. 477. h ttps://doi.org/10.31857/S0040364423030134
- Орешкин В. И., Бакшт Р. Б., Лабецкий А. Ю., Русских А. Г., Шишлов А. В., Левашов П. Р., Хищенко К. В., Глазырин И. В. // Журн. техн. физ. 2004. Т. 74. Вып. 7. С. 38.https://journals.ioffe.ru/articles/8307
- Галанин М.П., Лотоцкий А.П., Родин А.С. // Дифференциальные уравнения. 2016. Т. 52, № 7. С. 927. h ttps://doi.org/ 10.1134/S0374064116070086
- Зарубин В.С., Кувыркин Г.Н. Математические модели механики и электродинамики сплошной среды. М.: МГТУ им. Н.Э. Баумана, 2008.
- Коробейников С.Н., Олейников А.А. // Дальневосточный Мат. Жур. 2011. Т. 11. Вып. 2. С. 155.
- Родин А.С. // Препринты ИПМ им. М.В. Келдыша № 54. М.: ИПМ им. М.В. Келдыша, 2023. h ttps://doi.org/ 10.20948/prepr-2023-54
- Воробьев А.А., Дремин А.Н., Канель Г.И. // ПМТФ. 1974. № 5. С. 94.
- Lemke R.W., Knudson M.D., Hall C.A., Haill T.A., Desjarlais P.M., Asay J.R., Mehlhorn T.A. // Phys. Plasmas. 2003. V. 10. P. 1092. h ttps :// doi. org /10.1063/1.1554740
- Зельдович Я.Б., Райзер Ю.П. Физика ударных волн и высокотемпературных гидродинамических явлений. М.: Физматлит, 2008.
Supplementary files















