A new electroencephalography marker of the cognitive task performance
- Authors: Smirnov N.M.1,2, Badarin A.A.1,2, Kurkin S.A.1,2, Hramov A.E.1,2
-
Affiliations:
- Innopolis University
- Immanuel Kant Baltic Federal University
- Issue: Vol 87, No 1 (2023)
- Pages: 129-133
- Section: Articles
- URL: https://medbiosci.ru/0367-6765/article/view/135261
- DOI: https://doi.org/10.31857/S0367676522700247
- EDN: https://elibrary.ru/JUSBOZ
- ID: 135261
Cite item
Full Text
Abstract
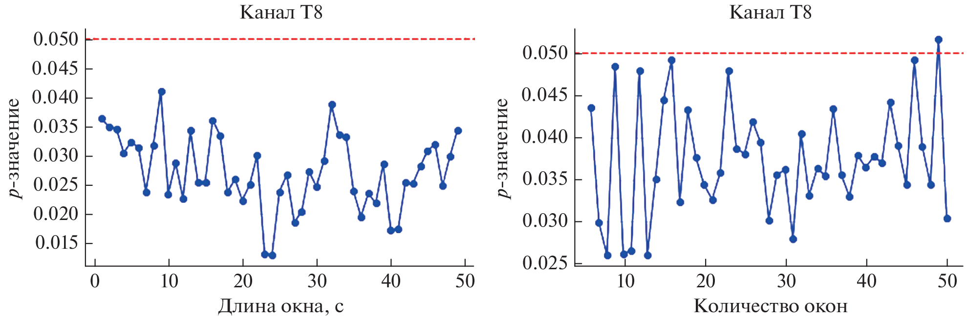
Universal biomarker based on the calculation of the dispersion of the ratio of alpha- and beta-rhythms energy in the registered electroencephalography signals and reflecting the level of the components of the cognitive resource of the learner was revealed. Using the Bourdon test (proofreading test) as an example, it is shown that this biomarker significantly correlates with the main indicators of success and performance of standardized cognitive tasks.
About the authors
N. M. Smirnov
Innopolis University; Immanuel Kant Baltic Federal University
Author for correspondence.
Email: n.smirnov@innopolis.university
Russia, 420500, Innopolis; Russia, 236041, Kaliningrad
A. A. Badarin
Innopolis University; Immanuel Kant Baltic Federal University
Email: n.smirnov@innopolis.university
Russia, 420500, Innopolis; Russia, 236041, Kaliningrad
S. A. Kurkin
Innopolis University; Immanuel Kant Baltic Federal University
Email: n.smirnov@innopolis.university
Russia, 420500, Innopolis; Russia, 236041, Kaliningrad
A. E. Hramov
Innopolis University; Immanuel Kant Baltic Federal University
Email: n.smirnov@innopolis.university
Russia, 420500, Innopolis; Russia, 236041, Kaliningrad
References
- Bernacki M.L., Walkington C. // J. Educ. Psychol. 2018. V. 110. No. 6. P. 864.
- Выготский Л.С. Мышление и речь. М.: Лабиринт, 1999. 352 с.
- Li G-L., Wu J.-T., Xia Y.-H. et al. // J. Neural Engin. 2020. V. 17. No. 5. Art. No. 051004.
- Hramov A.E., Maksimenko V.A., Pisarchik A.N. // Phys. Reports. 2021. V. 918. P. 1.
- Lin F.-R., Kao C.-M. // Comput. Educ. 2018. V. 122. P. 63.
- Babiker A., Faye I., Mumtaz W. et al. // Multimed Tools Appl. 2019. V. 78. Art. No. 16261.
- Aulet L.S., Lourenco S.F. // Cognition. 2021. V. 210. Art. No. 104610.
- Klimesch W. // Brain Res. Rev. 1999. V. 29. No. 2–3. P. 169.
- Antonenko P., Paas F., Grabner R., van Gog T. // Educ. Psychol. Rev. 2010. V. 22. No. 4. P. 425.
- Maksimenko V.A., Runnova A.E., Zhuravlev M.O. et al. // PLoS One. 2018. V. 13. No. 9. Art No. e0197642.
- Куркин С.А., Грубов В.В., Максименко В.А. и др. // Информ.-упр. сист. 2020. Т. 5. С. 50.
- Букина Т.В., Храмова М.В., Куркин С.А. // Изв. вузов. Прикл. нелин. динам. 2021. Т. 29. № 3. С. 449.
- Семаго Н.Я., Семаго М.М. Руководство по психологической диагностике: Дошкольный и младший школьный возраст. Метод. пособие. Изд: АПКиПРО РФ, 2000.
- Hramov A.E., Koronovskii A.A., Makarov V.A. et al. Wavelets in neuroscience. SSSYN. Berlin, Heidelberg: Springer, 2015.
- Benesty J., Chen J., Huang Y., Cohen I. Noise reduction in speech processing. Berlin, Heidelberg: Springer, 2009.
Supplementary files





