Features of thermal expansion in substitution alloys based on heavy rare-earth metals \({\mathbf{R}}_{{{\mathbf{1}} - x}}^{{\mathbf{I}}}{\mathbf{R}}_{x}^{{{\mathbf{II}}}}{\mathbf{F}}{{{\mathbf{e}}}_{{\mathbf{2}}}}\)
- Authors: Umkhaeva Z.S.1,2, Tereshina I.S.3, Pankratov N.Y.3, Aliev I.M.1,2, Khomenko M.R.3
-
Affiliations:
- Ibragimov Complex Research Institute of the Russian Academy of Sciences
- Kadyrov Chechen State University
- Lomonosov Moscow State University
- Issue: Vol 87, No 3 (2023)
- Pages: 338-342
- Section: Articles
- URL: https://medbiosci.ru/0367-6765/article/view/135293
- DOI: https://doi.org/10.31857/S0367676522700594
- EDN: https://elibrary.ru/HFRCVQ
- ID: 135293
Cite item
Full Text
Abstract
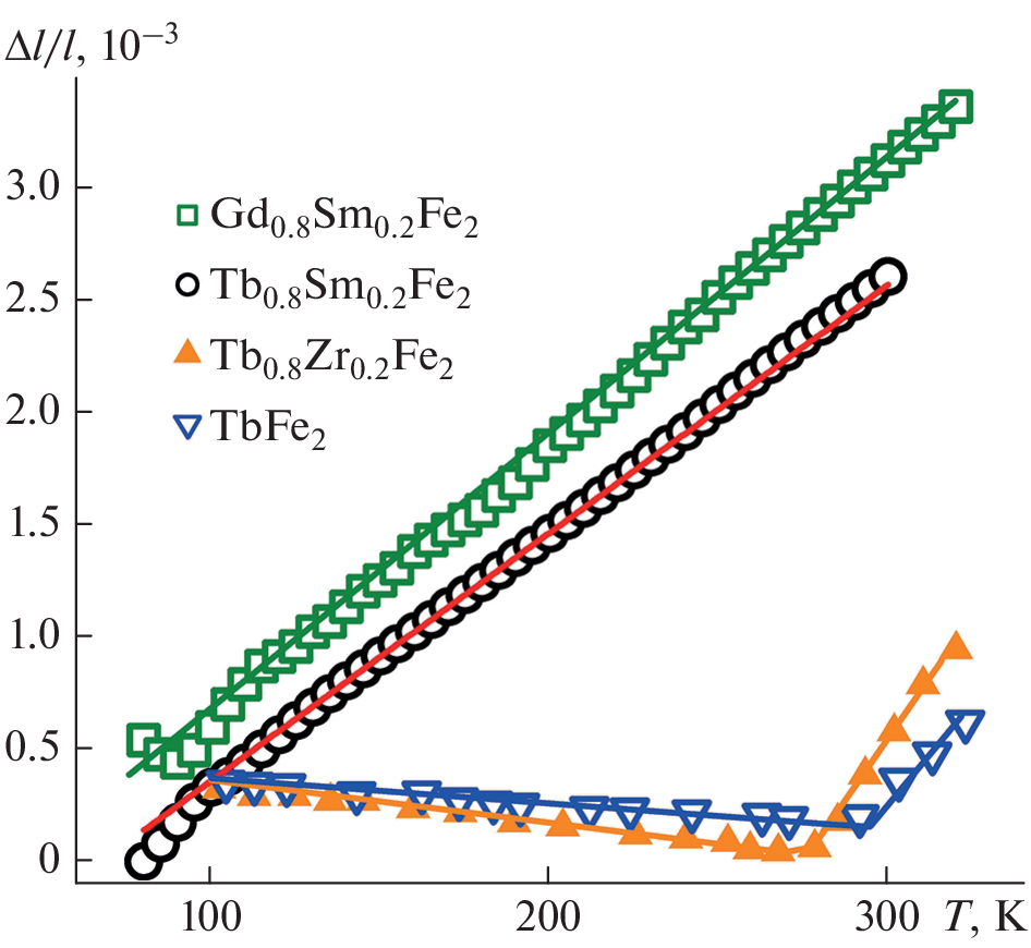
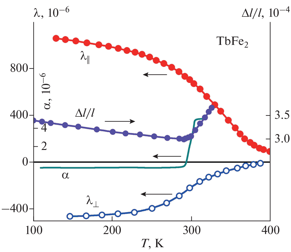
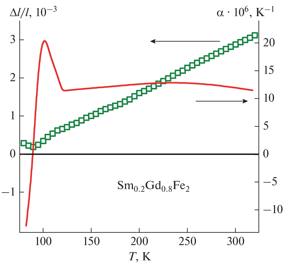
We consider the features of the behavior of thermal expansion and magnetostriction in magnetically ordered substitutive alloys based on heavy rare earth metals, namely: TbFe2, Tb0.8Zr0.2Fe2, Tb0.8Sm0.2Fe2 and Gd0.8Sm0.2Fe2. It is found that the of thermal expansion anomalies observed in alloys are mainly due to the competition of exchange interactions. In TbFe2 and Tb0.8Zr0.2Fe2 alloys invar-type features are observed in a wide temperature range.
About the authors
Z. S. Umkhaeva
Ibragimov Complex Research Institute of the Russian Academy of Sciences; Kadyrov Chechen State University
Author for correspondence.
Email: zargan.umhaeva@yandex.ru
Russia, 364051, Grozny; Russia, 364024, Grozny
I. S. Tereshina
Lomonosov Moscow State University
Email: zargan.umhaeva@yandex.ru
Russia, 119991, Moscow
N. Yu. Pankratov
Lomonosov Moscow State University
Email: zargan.umhaeva@yandex.ru
Russia, 119991, Moscow
I. M. Aliev
Ibragimov Complex Research Institute of the Russian Academy of Sciences; Kadyrov Chechen State University
Email: zargan.umhaeva@yandex.ru
Russia, 364051, Grozny; Russia, 364024, Grozny
M. R. Khomenko
Lomonosov Moscow State University
Email: zargan.umhaeva@yandex.ru
Russia, 119991, Moscow
References
- Илюшин А.С. Введение в структурную физику интерметаллических соединений. М.: МГУ, 1984. 99 с.
- Umkhaeva Z.S., Ilyushin A.S., Nikitin S.A. et al. // J. Phys. Conf. Ser. 2020. V. 905. Art. No. 12071.
- Белов К.П., Катаев Г.И., Левитин Р.З. и др. // УФН. 1983. Т. 140. № 2. С. 271; Belov K.P., Kataev G.I., Levitin R.Z. et al. // Sov. Phys. Usp. 1983. V. 26. No. 6. P. 518.
- Nikitin S.A., Tereshina I.S., Verbetsky V.N. et al. // J. Alloys. Compounds. 2001. V. 322. P. 42.
- Умхаева З.С. Структурные и магнитные фазовые превращения и сверхтонкие взаимодействия на ядре 57Fe в фазах высокого давления сплавов квазибинарных систем и R(Fe1 – xMx)2 (R – РЗЭ, М – 3d-металл). Дис. … докт. физ-мат. наук. Махачкала: Ин-т физ. ДНЦ РАН, 2014.
- Sluga M. // Physica. 1975. V. 53 A. No. 4. P. 319.
- Никитин С.А., Бислиев А.-Х.М., Куприянов А.К., Умхаева З.С. // ФТТ. 1989. Т. 31. № 9. С. 231; Nikitin S.A., Bisliev A.-Kh.M., Kupryanov A.K., Umkhaeva Z.S. // Phys. Solid State. 1989. V. 31. No. 9. P. 231.
- Ilyushin A.S., Tereshina I.S., Pankratov N.Yu. et al. // J. Alloys. Compounds. 2020. V. 847. Art. No. 155976.
- Алероева Т.А., Терешина И.С., Умхаева З.С. и др. // ФТТ. 2019. Т. 61. № 12. С. 2471; Aleroeva T.A., Tereshina I.S., Umkhaeva Z.S. et al. // Phys. Solid State. 2019. V. 61. No. 12. P. 2503.
- Pankratov N.Yu., Tereshina I.S., Politova G.A. et al. // J. Magn. Magn. Mater. 2021. 527. Art. No. 167728.
- Politova G.A., Karpenkov A.Y., Kaminskaya T.P. et al. // St. Petersburg Polytech. Univ. J. Phys. Math. 2019. V. 12. No. 1. P. 28.
- Gaviko V.S., Korolyov A.V., Mushnikov N.V. // J. Magn. Magn. Mater. 1996. V. 157–158. P. 659.
Supplementary files





