Отрицательная анизотропия в пленках Ni–Fe
- Авторы: Савин П.А.1, Аданакова О.А.1, Лепаловский В.Н.1, Кудюков Е.В.1, Васьковский В.О.1,2
-
Учреждения:
- Федеральное государственное автономное образовательное учреждение высшего образовани “Уральский федеральный университет имени первого Президента России Б.Н. Ельцина”
- Федеральное государственное бюджетное учреждение науки “Институт физики металлов имени М.Н. Михеева” Уральского отделения Российской академии наук
- Выпуск: Том 87, № 4 (2023)
- Страницы: 500-503
- Раздел: Статьи
- URL: https://medbiosci.ru/0367-6765/article/view/135351
- DOI: https://doi.org/10.31857/S0367676522700880
- EDN: https://elibrary.ru/NLMHKW
- ID: 135351
Цитировать
Полный текст
Аннотация
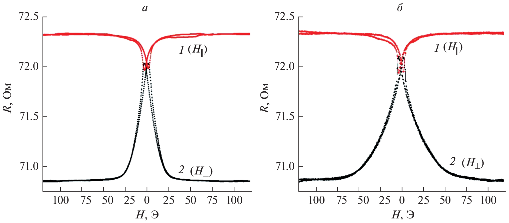
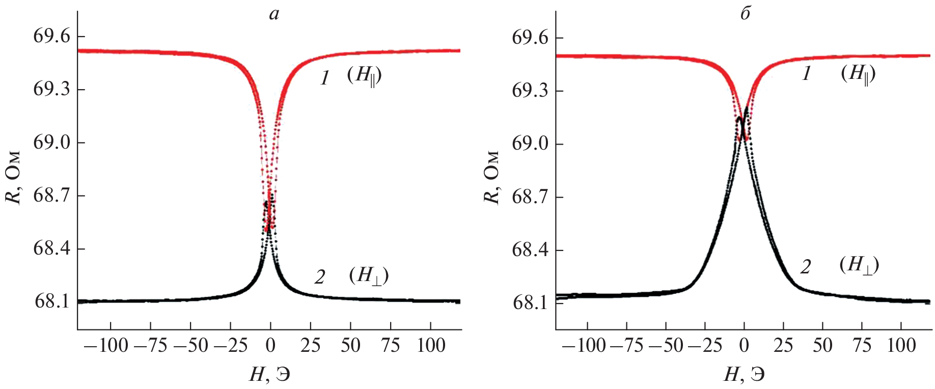
Получены пленки FeNi, обладающие эффектом “отрицательной анизотропии”, заключающемся в формировании наведенной анизотропии перпендикулярно полю осаждения. Протестирована ранее предложенная модель эффекта, основанная на отрицательной магнитострикции и неоднородных напряжениях. Влияние дополнительных напряжений анализировалось по изменяющейся форме R–H кривых. Изменения анизотропии согласуются с моделью.
Об авторах
П. А. Савин
Федеральное государственное автономное образовательное учреждение высшего образовани“Уральский федеральный университет имени первого Президента России Б.Н. Ельцина”
Автор, ответственный за переписку.
Email: Peter.Savin@urfu.ru
Россия, Екатеринбург
О. А. Аданакова
Федеральное государственное автономное образовательное учреждение высшего образовани“Уральский федеральный университет имени первого Президента России Б.Н. Ельцина”
Email: Peter.Savin@urfu.ru
Россия, Екатеринбург
В. Н. Лепаловский
Федеральное государственное автономное образовательное учреждение высшего образовани“Уральский федеральный университет имени первого Президента России Б.Н. Ельцина”
Email: Peter.Savin@urfu.ru
Россия, Екатеринбург
Е. В. Кудюков
Федеральное государственное автономное образовательное учреждение высшего образовани“Уральский федеральный университет имени первого Президента России Б.Н. Ельцина”
Email: Peter.Savin@urfu.ru
Россия, Екатеринбург
В. О. Васьковский
Федеральное государственное автономное образовательное учреждение высшего образовани“Уральский федеральный университет имени первого Президента России Б.Н. Ельцина”; Федеральное государственное бюджетное учреждение науки
“Институт физики металлов имени М.Н. Михеева” Уральского отделения Российской академии наук
Email: Peter.Savin@urfu.ru
Россия, Екатеринбург; Россия, Екатеринбург
Список литературы
- Blois M.S. // J. Appl. Phys. 1955. V. 26. P. 975.
- Jogschies L., Klaas D., Kruppe R. et al. // Sensors. 2015. V. 15. Art. No. 28665.
- Smith D.O. // Appl. Phys. Lett. 1963. V. 2. P. 191.
- Soohoo R.F. // Czech. J. Phys. 1971. V. 21. P. 494.
- Savin P.A., Adanakova O.A., Lepalovskij V.N. et al. // J. Phys. Conf. Ser. 2019. V. 1389. Art. No. 012122.
- Лесник А.Г. Индуцированная магнитная анизотропия. Киев: Наукова думка, 1976. 160 с.
- Miyazaki T., Oomori T., Sato F. et al. // J. Magn. Magn. Mater. 1994. V. 129. Art. No. L135.
- Савин П.А., Васьковский В.О., Кандаурова Г.С., Лепаловский В.Н. // Микроэлектроника. 1991. Т. 20. С. 407.
- Maissel L.I., Glang R. Handbook of thin film technology. N.Y.: McGraw Hill, 1970.
- Zhukov A., González J., Blanco M. et al. // J. Mater. Res. 2000. V. 15. P. 2107.
Дополнительные файлы






