Phase transitions in Na(Nb0.9Me0.1)O3 – δ (Me = Bi, Fe) solid solutions
- Authors: Ospelnikov O.N.1, Barabanova E.V.1
-
Affiliations:
- Tver State University
- Issue: Vol 87, No 4 (2023)
- Pages: 546-549
- Section: Articles
- URL: https://medbiosci.ru/0367-6765/article/view/135360
- DOI: https://doi.org/10.31857/S0367676522700971
- EDN: https://elibrary.ru/NOXZRF
- ID: 135360
Cite item
Full Text
Abstract
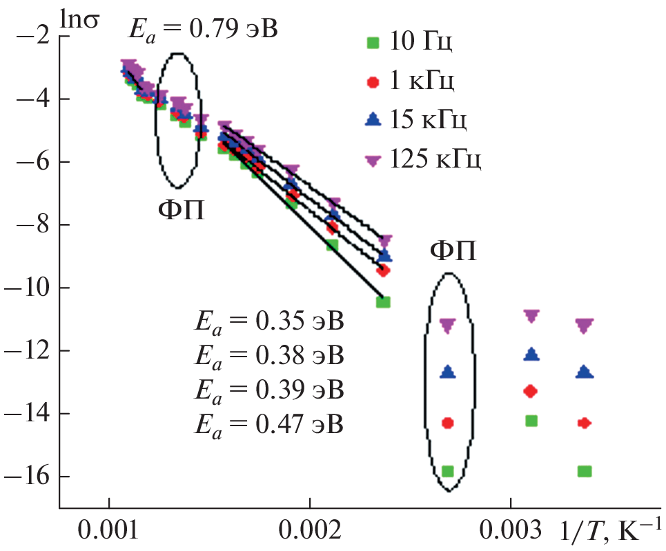
We investigated the temperature dependence of the permittivity and electrical conductivity of sodium niobate ceramics doped with iron or bismuth in a wide frequency range of the external field. The phase transitions and their characteristics in these solid solutions, as well as the mechanisms of conduction, are determined.
About the authors
O. N. Ospelnikov
Tver State University
Email: pechenkin_kat@mail.ru
Russia, 170002, Tver
E. V. Barabanova
Tver State University
Author for correspondence.
Email: pechenkin_kat@mail.ru
Russia, 170002, Tver
References
- Megaw H.D. // Ferroelectrics. 1974. V. 7. P. 87.
- Palatnikov M., Sidorov N., Efremov V. et al. //Ferroelectrics. 2008. V. 367. No. 1. P. 55.
- Ивлиев М.П., Раевский И.П., Резниченко Л.А. и др. // ФТТ. 2003. Т. 45. № 10. С.1886; Ivliev M.P., Raevskiȋ I.P., Reznichenko L.A. et al. // Phys. Solid State. 2003. V. 45. No. 10. P. 1984.
- Раевская С.И. Диэлектрические свойства монокристаллов и керамики твердых растворов на основе ниобата натрия. Дис. … канд. физ.-мат. наук. Ростов-на-Дону: Ростовский гос. ун-т, 2006. 174 с.
- Shi R., Pu Y., Wang W. et al. // J. Alloys Compounds. 2020. V. 815. Art. No. 152356.
- Jiang J., Meng X., Li L. et al. // Chem. Engin. J. 2021. V. 422. Art. No. 130130.
- Fritsch D. // Adv. Mater. Sci. Engin. 2018. V. 2018. Art. No. 6416057.
- Гинзбург В.Л. // УФН. 2001. Т. 171. № 10. С. 1091; Ginzburg V.L. // Phys. Usp. 2001. V. 44. No. 10. P. 1023.
- Накамура Т. // Автометрия. 1978. № 1. С. 29.
- Cheng Y., Xing J., Wu Ch. et al. // J. Alloys Compounds. 2020. V. 815. Art. No. 52252.
- Xie Y., Xing J., Tan Z. et al. // Ceramics. 2022. V. 48. No. 5. P. 6565.
- Wood E.A. // Acta Cryst. 1951. V. 4. P. 353.
- Смоленский Г.А. Сегнетоэлектрики и антисегнетоэлектрики. Л.: Наука, 1971. 476 с.
- Raevski I.P., Kubrin S.P., Dellis J.-L. et al. // Ferroelectrics. 2008. V. 371. No. 1. P. 113.
- Sinclair D.C., Adams T.B., Morrison F.D., West A.R. // Appl. Phys. Lett. 2002. V. 80. P. 2153.
- Cheng Y., Zhao H., Teng D. et al // J. Membr. Sci. 2008. V. 322. No. 2. P. 484.
Supplementary files





