Charge carrier transport and polarization in M/PZT/M structures
- Authors: Delimova L.A.1, Yuferev V.S.1
-
Affiliations:
- Ioffe Physical-Technical Institute of the Russian Academy of Sciences
- Issue: Vol 87, No 4 (2023)
- Pages: 555-561
- Section: Articles
- URL: https://medbiosci.ru/0367-6765/article/view/135362
- DOI: https://doi.org/10.31857/S0367676522700995
- EDN: https://elibrary.ru/NPBSIO
- ID: 135362
Cite item
Full Text
Abstract
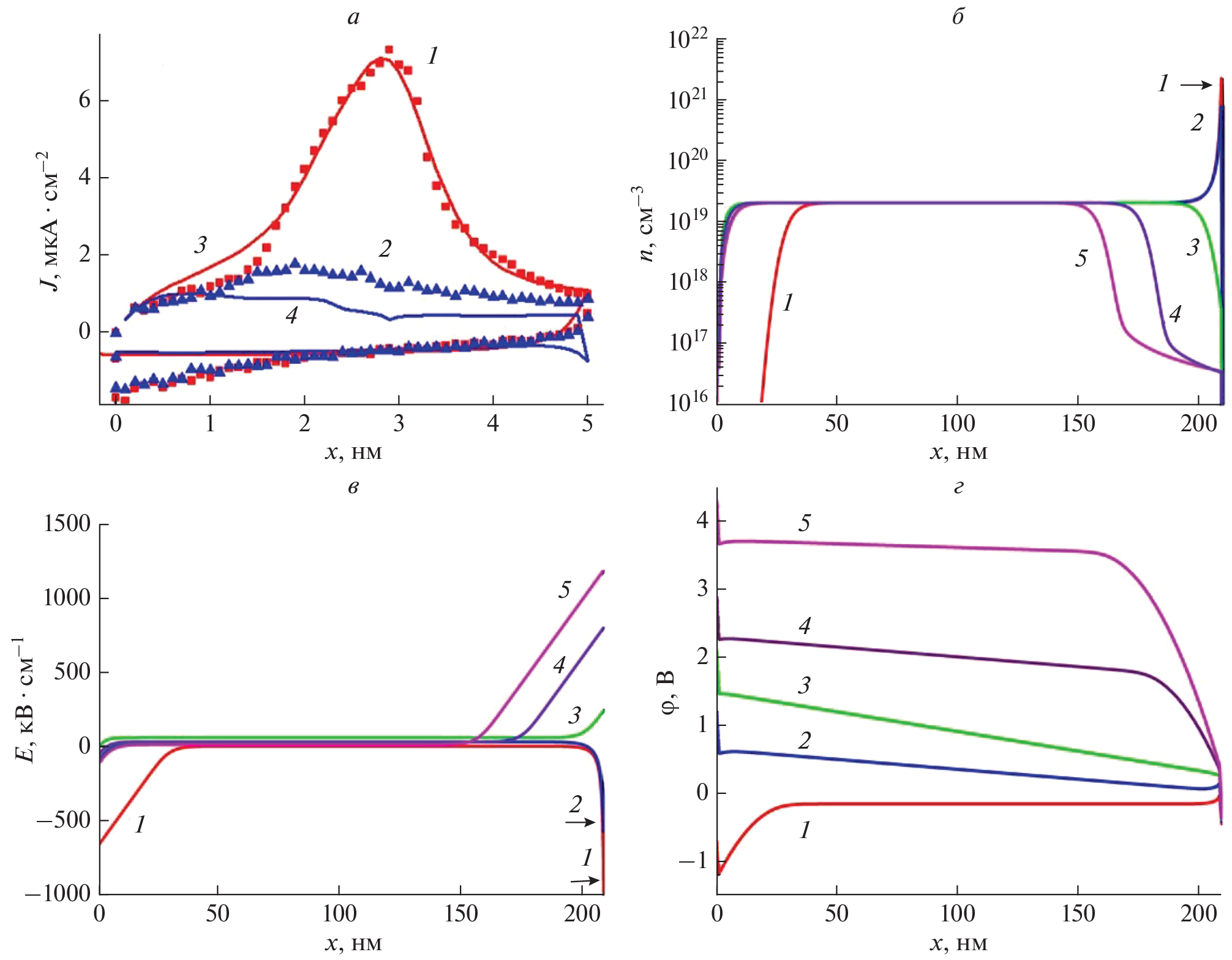
A model of non-stationary charge carrier transport in M/PZT/M ferroelectric structures has been developed. It is assumed that, at room temperature, electrons generated by oxygen vacancies are captured by Ti+3 levels and move between them under the action of electric fields caused by the external bias and polarization. The polarization distribution in a PZT film is described with varying degrees of complexity, from a constant value outside the defect layers to one determined by the equation following from the Landau–Ginzburg theory. The numerical simulation performed made it possible to explain the reasons and conditions for the appearance of current–voltage characteristics with unusual current peaks, to show the existence of several solutions in the Landau–Ginzburg model for a film with Schottky barriers, and to reveal the response of charged domain walls to an applied voltage.
About the authors
L. A. Delimova
Ioffe Physical-Technical Institute of the Russian Academy of Sciences
Author for correspondence.
Email: ladel@mail.ioffe.ru
Russia, 194021, Saint-Petersburg
V. S. Yuferev
Ioffe Physical-Technical Institute of the Russian Academy of Sciences
Email: ladel@mail.ioffe.ru
Russia, 194021, Saint-Petersburg
References
- Liu T., Wallace M., Trolier-mcKinstry S., Jackson T.N. // J. Appl. Phys. 2017. V. 122. No. 16. Art. No. 164103.
- Cornelius T.W., Mocuta C., Escoubas S. et al. // J. Appl. Phys. 2017. V. 122. No. 16. Art. No. 164104.
- Scott J.F., Melnik B.M., Cuchiaro J.D. et al. // Int. Ferroelectr. 1994. V. 4. No. 1. P. 85.
- Dawber M., Scott J.F. // J. Phys. Cond. Matter. 2004. V. 16. No. 49. Art. No. L515.
- Pintilie L., Alexe M. // J. Appl. Phys. 2005. V. 98. No. 12. Art. No. 124103.
- Alkoy E.M., Shiosaki T. // Thin Solid Films. 2007. V. 516. No. 12. P. 516.
- Zhu W., Ren W., Xin H. et al. // J. Adv. Dielectr. 2013. V. 3. No. 2. Art. No. 1350011.
- Podgorny Y., Vorotilov K., Sigov A. // Appl. Phys. Lett. 2014. V. 105. No. 18. Art. No. 182904.
- Barala S.S., Roul B., Banerjee N. et al. // J. Appl. Phys. 2016. V. 120. No. 11. Art. No. 115305.
- Podgorny Y., Vorotilov K., Sigov A. // AIP Advances. 2016. V. 6. No. 9. Art. No. 095025.
- Simmons J.G. // Phys. Rev. Lett. 1965. V. 15. No. 25. P. 967.
- Filip L.D., Pintilie L. // Eur. Phys. J. B. 2016. V. 89. No. 2. P. 44.
- Делимова Л.А., Гущина Е.В., Юферев В.С. и др. // ФТТ. 2014. Т. 56. № 12. С. 2366; Delimova L.A., Gushchina E.V., Yuferev V.S. et al. // Phys. Solid State. 2014. V. 56. No. 12. P. 2451.
- Delimova L.A., Gushchina E.V., Seregin D.S. et al. // J. Appl. Phys. 2017. V. 121. No. 22. Art. No. 224104.
- Robertson J., Warren W.L., Tuttle A. et al. // Appl. Phys. Lett. 1993. V. 63. No. 11. P. 1519.
- Warren W.L., Robertson J., Dimos D.D. et al. // Ferroelectrics. 1994. V. 153. No. 1. P. 303.
- Delimova L.A., Yuferev V.S. // J. Appl. Phys. 2018. V. 124. No. 18. Art. No. 184102.
- Delimova L.A., Yuferev V.S. // J. Phys. Conf. Ser. 2019. V. 1400. No. 5. Art. No. 055003.
- Haun M.J., Zhuang Z.Q., Furman E. et al. // Ferroelectrics. 1989. V. 99. No. 1. P. 45.
- Yudin S.P., Panchenko T.V., Kudzin A.Yu. // Ferrolecrtics. 1978. V. 18. No. 1. P. 45.
Supplementary files





