Изучение физики тяжелых ионов с помощью установки Компактный мюонный соленоид (CMS)
- Авторы: Петрушанко С.В.1
-
Учреждения:
- Федеральное государственное бюджетное образовательное учреждение высшего образования “Московский государственный университет имени М.В. Ломоносова”, Научно-исследовательский институт ядерной физики имени Д.В. Скобельцына
- Выпуск: Том 87, № 8 (2023)
- Страницы: 1104-1108
- Раздел: Статьи
- URL: https://medbiosci.ru/0367-6765/article/view/135456
- DOI: https://doi.org/10.31857/S0367676523701983
- EDN: https://elibrary.ru/ZBPILL
- ID: 135456
Цитировать
Полный текст
Аннотация
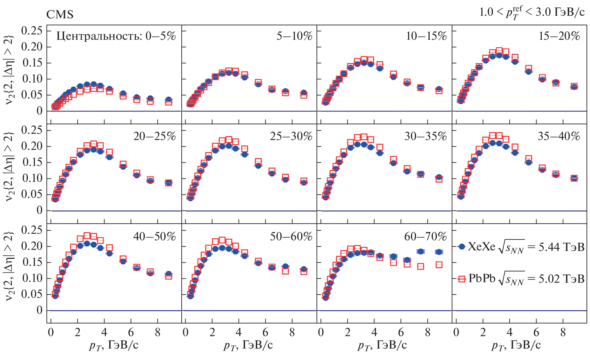
Проанализированы последние результаты, полученные коллаборацией Компактный мюонный соленоид (CMS) по изучению физики тяжелых ионов на Большом адронном коллайдере в ЦЕРНе. Проведенные на установке CMS исследования кварк-глюонной плазмы дают ценную информацию о поведении материи в экстремальном режиме ядро-ядерных соударений сверхвысоких энергий.
Об авторах
С. В. Петрушанко
Федеральное государственное бюджетное образовательное учреждение высшего образования“Московский государственный университет имени М.В. Ломоносова”,
Научно-исследовательский институт ядерной физики имени Д.В. Скобельцына
Автор, ответственный за переписку.
Email: Serguei.Petrouchanko@cern.ch
Россия, Москва
Список литературы
- Chatrchyan S. et al. (CMS Collaboration) // J. Instrum. 2008. No. 3. Art. No. S08004.
- http://cms-results.web.cern.ch/cms-results/public-results/publications/HIN.
- https://cms-results.web.cern.ch/cms-results/public-results/preliminary-results/HIN.
- Sirunyan A.M., Tumasyan A., Adam W. et al. (CMS Collaboration) // J. High Energy Phys. 2018. No. 1. Art. No. 045.
- Sirunyan A.M. et al. (CMS Collaboration) // Phys. Rev. C. 2019. V. 100. No. 2. Art. No. 024902.
- Khachatryan V. et al. (CMS Collaboration) // J. High Energy Phys. 2010. No. 09. Art. No. 091.
- Chatrchyan S. et al. (CMS Collaboration) // Phys. Lett. B. 2013. V. 718. No. 3. P. 795.
- Chatrchyan S. et al. (CMS Collaboration) // J. High Energy Phys. 2011. No. 07. Art. No. 076.
- CMS Collaboration // arXiv: 2204.13486. 2022.
- CMS Collaboration // CERN CMS-PAS-HIN-21-010. 2022.
- Sirunyan A.M. et al. (CMS Collaboration) // Phys. Rev. C. 2019. V. 100. Art. No. 044902.
- Sirunyan A.M. et al. (CMS Collaboration) // Eur. Phys. J. C. 2018. V. 78. Art. No. 509.
- CMS Collaboration // arXiv: 2303.17026. 2023.
- CMS Collaboration // Phys. Lett. B. 2022. Art. No. 137397.
- CMS Collaboration // CERN CMS-PAS-HIN-21-008. 2022.
- Sirunyan A.M. et al. (CMS Collaboration) // Phys. Lett. B. 2021. V. 819. Art. No. 136385.
- CMS Collaboration // CERN CMS-PAS-HIN-21-001. 2022.
- Sirunyan A.M. et al. (CMS Collaboration) // Phys. Lett. B. 2021. V. 816. Art. No. 136253.
- CMS Collaboration // arXiv: 2212.01636. 2022.
- Tumasyan A. et al. (CMS Collaboration) // Phys. Lett. B. 2022. V. 829. Art. No. 137062.
- Sirunyan A.M. et al. (CMS Collaboration) // Phys. Rev. Lett. 2022. V. 128. Art. No. 032001.
- Sirunyan A.M. et al. (CMS Collaboration) // Phys. Rev. Lett. 2020. V. 125. Art. No. 222001.
- Chatrchyan S. et al. (CMS Collaboration) // Phys. Rev. C. 2011. V. 84. Art. No. 024906.
- Chatrchyan S. et al. (CMS Collaboration) // Phys. Lett. B. 2012. V. 712. No. 3. P. 176.
- Sirunyan A.M. et al. (CMS Collaboration) // J. High Energy Phys. 2021. No. 05. Art. No. 284.
- CMS Collaboration // arXiv: 2210.08325. 2022.
Дополнительные файлы





