Сечения парциальных фотонейтронных реакций в экспериментах на пучках тормозного γ-излучения
- Авторы: Варламов В.В.1, Давыдов А.И.2, Орлин В.Н.1
-
Учреждения:
- Федеральное государственное бюджетное образовательное учреждение высшего образования “Московский государственный университет имени М.В. Ломоносова”, Научно-исследовательский институт ядерной физики имени Д.В. Скобельцына
- Федеральное государственное бюджетное образовательное учреждение высшего образования “Московский государственный университет имени М.В. Ломоносова”, Физический факультет
- Выпуск: Том 87, № 8 (2023)
- Страницы: 1176-1185
- Раздел: Статьи
- URL: https://medbiosci.ru/0367-6765/article/view/135469
- DOI: https://doi.org/10.31857/S0367676523702113
- EDN: https://elibrary.ru/ZCSDPJ
- ID: 135469
Цитировать
Полный текст
Аннотация
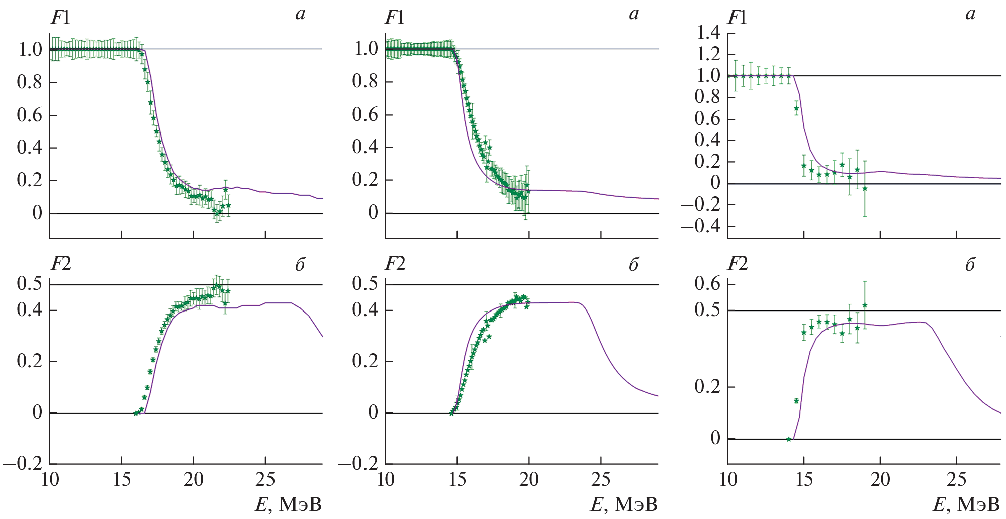
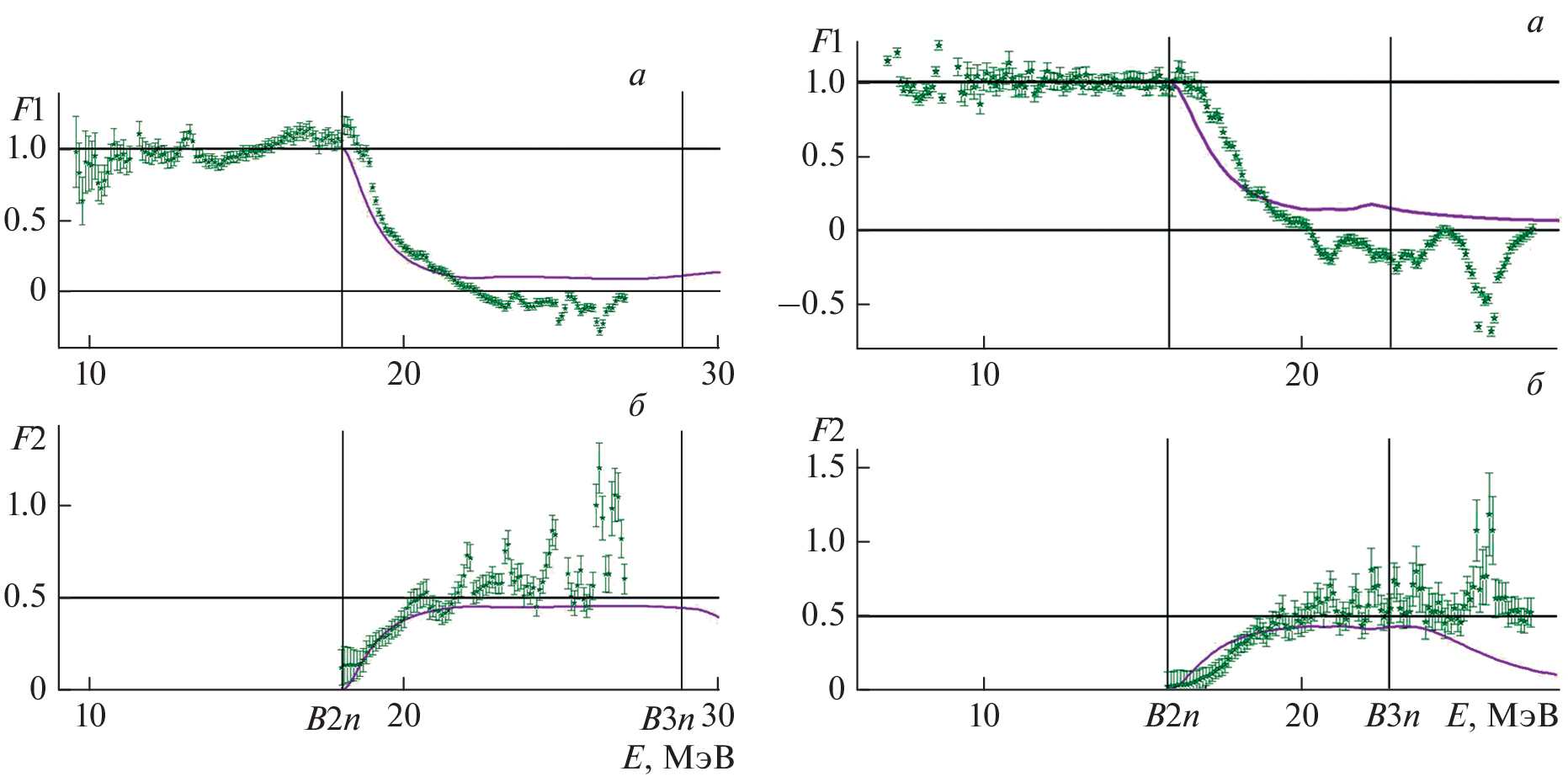
С использованием объективных физических критериев достоверности данных выполнен анализ экспериментальных сечений парциальных фотонейтронных реакций (γ, 1n) и (γ, 2n), полученных на пучках тормозного γ-излучения. В экспериментах этого типа для определения сечений парциальных реакций используется процедура внесения в экспериментально измеренные сечения выхода нейтронов (γ, xn) поправок, рассчитанных по статистической теории. Установлено, что использование таких поправок в случаях ядер 59Co, 58, 60Ni, 112, 114, 119Sn привело к данным, которые в разной степени физическим критериям достоверности не удовлетворяют и вследствие этого достоверными не являются. Вместе с тем в случаях ядер 127I, 165Ho и 181Ta были получены данные, достоверность которых сомнений не вызывает.
Об авторах
В. В. Варламов
Федеральное государственное бюджетное образовательное учреждение высшего образования“Московский государственный университет имени М.В. Ломоносова”,
Научно-исследовательский институт ядерной физики имени Д.В. Скобельцына
Автор, ответственный за переписку.
Email: Varlamov@depni.sinp.msu.ru
Россия, Москва
А. И. Давыдов
Федеральное государственное бюджетное образовательное учреждение высшего образования“Московский государственный университет имени М.В. Ломоносова”, Физический факультет
Email: Varlamov@depni.sinp.msu.ru
Россия, Москва
В. Н. Орлин
Федеральное государственное бюджетное образовательное учреждение высшего образования“Московский государственный университет имени М.В. Ломоносова”,
Научно-исследовательский институт ядерной физики имени Д.В. Скобельцына
Email: Varlamov@depni.sinp.msu.ru
Россия, Москва
Список литературы
- Dietrich S.S., Berman B.L. // Atom. Data Nucl. Data Tables. 1988. V. 38. P. 199.
- Varlamov A.V., Varlamov V.V., Rudenko D.S., Stepanov M.E. INDC(NDS)-394. Vienna: IAEA NDS, 1999.
- http://cdfe.sinp.msu.ru/index.ru.html.
- Blatt J.M., Weisskopf V.F. Theoretical nuclear physics. N.Y.: John Wiley & Sons Inc., 1952.
- Варламов В.В., Давыдов А.И., Орлин В.Н. // ЯФ. 2022. Т. 85. С. 237; Varlamov V.V., Davydov A.I., Orlin V.N. // Phys. Atom. Nucl. 2022. V. 85. P. 316.
- Варламов В.В., Давыдов А.И., Орлин В.Н. // ЯФ. 2022. Т. 85. № 5. С. 316; Varlamov V.V., Davydov A.I., Orlin V.N. // 2022. V. 85. No. 5. P. 411.
- Варламов В.В., Ишханов Б.С., Орлин В.Н., Четверткова В.А. // Изв. РАН. 2010. Сер. физ. Т. 74. С. 875; Varlamov V.V., Ishkhanov B.S., Orlin V.N., Chetvertkova V.A. // Bull. Russ. Acad. Sci. Phys. 2010. V. 74. P. 833.
- Варламов В.В., Ишханов Б.С., Орлин В.Н., Трощиев С.Ю. // Изв. РАН. Сер. физ. 2010. Т. 74. С. 884; Varlamov V.V., Ishkhanov B.S., Orlin V.N., Troshchiev S.Yu. // Bull. Russ. Acad. Sci. Phys. 2010. V. 74. P. 842.
- Tzara C. // Compt. Rend. Acad. Sci. 1957. V. 245. P. 56.
- Miller J., Schuhl C., Tzara C. // Nucl. Phys. 1962. V. 32. P. 236.
- Варламов В.В., Давыдов А.И. // ЯФ. 2021. Т. 84. С. 370; Varlamov V.V., Davydov A.I. // Phys. Atom. Nucl. 2021. V. 84. P. 603.
- Варламов В.В., Давыдов А.И., Ишханов Б.С. // ЯФ. 2019. Т. 82. С. 16; Varlamov V.V., Davydov A.I., Ishkhanov B.S. // Phys. Atom. Nucl. 2019. V. 82. P. 13.
- Varlamov V.V., Davydov A.I., Ishkhanov B.S., Orlin V.N. // Eur. Phys. J. A. 2018. V. 54. P. 74.
- Varlamov V.V., Davydov A.I., Ishkhanov B.S. // Eur. Phys. J. A. 2017. V. 53. P. 180.
- Варламов В.В., Ишханов Б.С., Орлин В.Н. // ЯФ. 2017. Т. 80. С. 632; Varlamov V.V., Ishkhanov B.S., Orlin V.N. // Phys. Atom. Nucl. 2017. V. 80. P. 1106.
- Варламов В.В., Орлин В.Н., Песков Н.Н. // Изв. РАН. Сер. физ. 2017. Т. 81. С. 744; Varlamov V.V., Orlin V.N., Peskov N.N. // Bull. Russ. Acad. Sci. Phys. 2017. V. 81. P. 670.
- Варламов В.В., Давыдов А.И., Орлин В.Н. // ЯФ. 2021. Т. 84. С. 278; Varlamov V.V., Davydov A.I., Orlin V.N. // Phys. Atom. Nucl. 2021. V. 84. P. 389.
- Tzara C. // Compt. Rend. Acad. Sci. 1957. V. 245. P. 56.
- Miller J., Schuhl C., Tzara C. // Nucl. Phys. 1962. V. 32. P. 236.
- Fultz S.C., Berman B.L., Caldwell J.T. et al. // Phys. Rev. 1969. V. 186. P. 1255.
- Lepretre A., Beil H., Bergere R. et al. // Nucl. Phys. A. 1974. V. 219. P. 39.
- Ишханов Б.С., Орлин В.Н. // ЯФ. 2008. Т. 71. С. 517; Ishkhanov B.S., Orlin V.N. // Phys. Atom. Nucl. 2008. V. 71. P. 493.
- Сорокин Ю.И., Хрущев В.А., Юрьев Б.А. // Изв. РАН. Сер. физ. 1972. Т. 36. С. 180; Sorokin Yu.I., Khrushchev V.A., Yuryev B.A. // Bull. Acad. Sci. USSR. Phys. 1972. V. 36. P. 170.
- Сорокин Ю.И., Юрьев Б.А. // Изв. АН СССР. Сер. физ. 1975. Т. 39. С. 114; Sorokin Yu.I., Yuryev B.A. // Bull. Acad. Sci. USSR. Phys. 1975. V. 39. P. 98.
- Baciu G., Bonazzola G.C., Minetti B., Molino C. // Nucl. Phys. 1965. V. 67. P. 178.
- Varlamov V.V., Davydov A.I., Ishkhanov B.S. // Phys. J. A. 2017. V. 53. P. 180.
- Alvarez R.A., Berman B.L., Faul D.D., Lewis F.H., Meyer P. // Phys. Rev. C. 1979. V. 20. P. 128.
- Варламов В.В., Давыдов А.И., Орлин В.Н. // ЯФ. 2022. Т. 85. С. 237; Varlamov V.V., Davydov A.I., Orlin V.N. // Phys. Atom. Nucl. 2022. V. 85. P. 316.
- Варламов В.В., Давыдов А.И., Орлин В.Н. // ЯФ. 2022. Т. 85. № 5. С. 316; Varlamov V.V., Davydov A.I., Orlin V.N. // 2022. V. 85. P. 411.
- Fultz S.C., Alvarez R.A., Berman B.L., Meyer P. // Phys. Rev. 1974. V. 10. P. 608.
- Горячев Б.И., Ишханов Б.С., Капитонов И.М. и др. // ЯФ. 1970. Т. 11. С. 252; Goryachev B.I., Ishkhanov B.S., Kapitonov I.M. et al. // Sov. J. Nucl. Phys. 1970. V. 11. P. 141.
- Rassool R.P., Thompson M.N. // Phys. Rev. C. 1989. V. 39. P. 1631.
- Горячев Б.И., Кузнецов Ю.В., Орлин В.Н. и др. // ЯФ. 1976. Т. 23. С. 1145; Goryachev B.I., V.Kuznetsov Yu., Orlin V.N. et al. // Sov. Nucl. Phys. 1977. V. 23. P. 609.
- Антропов Г.П., Митрофанов И.Е., Русских Б.С. // Изв. АН СССР. Сер. физ. 1967. Т. 31. С. 336; Antropov G.P., Mitrofanov, I.E., Russkikh B.S. // Bull. Acad. Sci. USSR. Phys. 1967. V. 31. P. 320.
- Varlamov V., Davydov A., Kaidarova V., Orlin V. // Phys. Rev. C. 2019. V. 99. Art. No. 024608.
Дополнительные файлы







