Ferroelectric ceramics based on Bi4Ti3O12 designed for extreme conditions
- Authors: Marakhovskiy М.А.1, Talanov М.V.2, Panich А.А.1
-
Affiliations:
- Institute of High Technologies and Piezotechnics, Southern Federal University
- Institute of Physics, Southern Federal University
- Issue: Vol 87, No 9 (2023)
- Pages: 1279-1284
- Section: Articles
- URL: https://medbiosci.ru/0367-6765/article/view/135484
- DOI: https://doi.org/10.31857/S0367676523702253
- EDN: https://elibrary.ru/KCVYUQ
- ID: 135484
Cite item
Full Text
Abstract
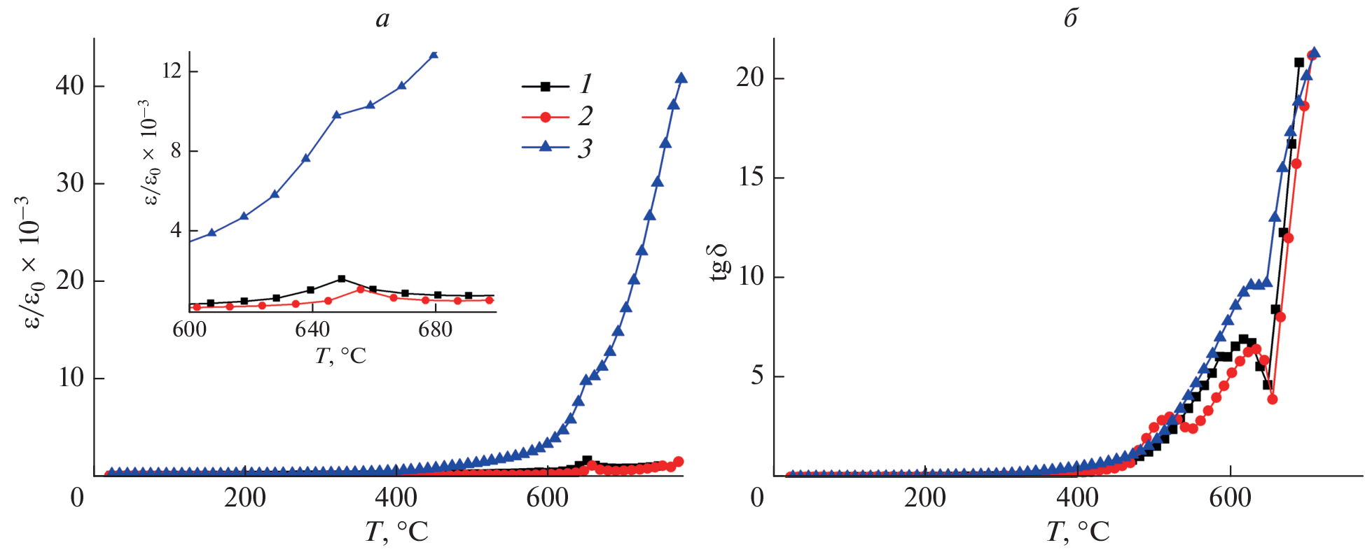
A comparative study of ceramics based on high-temperature ferroelectric Bi4Ti3O12, made by using three different sintering methodswas carried out. The dependences of the microstructure, dielectric and piezoelectric properties of ceramics on the sintering method are established. It is shown that ceramics sintered by hot pressing have an optimal combination of functional characteristics.
About the authors
М. А. Marakhovskiy
Institute of High Technologies and Piezotechnics, Southern Federal University
Author for correspondence.
Email: marmisha@mail.ru
Russia, 344090, Rostov-on-Don
М. V. Talanov
Institute of Physics, Southern Federal University
Email: marmisha@mail.ru
Russia, 344090, Rostov-on-Don
А. А. Panich
Institute of High Technologies and Piezotechnics, Southern Federal University
Email: marmisha@mail.ru
Russia, 344090, Rostov-on-Don
References
- Dorrian J.F., Newnham R.E., Smith D.K. et al. // Ferroelectrics. 1972. V. 3. P. 17.
- Hervoches C.H., Lightfoot P. // Chem. Mater. 1999. V. 11. P. 3359.
- Rae A.D., Thompson J.G., Withers R.L. et al. // Acta Cryst. 1990. V. B46. P. 474.
- Ломанова Н.А. // ЖНХ. 2022. Т. 67. № 6. С. 665; Lomanova N.A. // Russ. J. Inorg. Chem. 2022. V. 67. P. 741.
- Shirokov V.B., Talanov M.V. // Acta Cryst. 2019. V. B75. P. 978.
- Park B.H., Kang B.S., Bu S.D. et al. // Nature. 1999. V. 401. P. 682.
- Kalinkin A.N., Kozhbakhteev E.M., Polyakov A.E., Skorikov V.M. // Inorg. Mater. 2013. V. 49. P. 1031.
- Slavov S.S., Soreto Teixeira S., Graca M.P.F. et al. // Int. J. Appl. Glass Sci. 2019. V. 10. P. 202.
- Searfass C.T., Pheil C., Sinding K. et al. // IEEE Trans. Ultrason. Ferroelectr. Freq. Control. 2016. V. 63. P. 139.
- Cheng T., Ma Q., Gao H. et al. // Mater. Today Chem. 2022. V. 23. Art. No. 100750.
- Megriche A., Lebrun L., Troccaz M. // Sens. Actuators. A. 1999. V. 78. P. 88.
- Jiang A.Q., Hu Z.X., Zhang L.D. // Appl. Phys. Lett. 1999. V. 74. P. 114.
- Jovalekic C., Pavlovic M., Osmokrovic P. et al. // Appl. Phys. Lett. 1998. V. 72. P. 1051.
- Xie X., Zhou Z., Liang R. et al. // Adv. Electron. Mater. 2022. V. 8. Art. No. 2101266.
- Shulman H. S., Damjanovic D., Setter N. // J. Amer. Ceram. Soc. 2000. V. 83. P. 528.
- Мараховский М.А., Панич А.А., Таланов М.В. и др. // Изв. РАН. Сер. физ. 2020. Т. 84. № 11. С. 1667; Marakhovsky M.A., Panich A.A., Talanov M.V. et al. // Bull. Russ. Acad. Sci. Phys. 2020. V. 84. No. 11. P. 1419.
- Marakhovsky M.A., Panich A.A., Talanov M.V. et al. // Ferroelectrics. 2020. V. 560. No. 1. P. 1.
- Мараховский М.А., Панич А.А., Мараховский В.А. // Фунд. пробл. радиоэлектрон. приборостр. 2018. Т. 18. № 2. С. 430.
- Мараховский М.А., Панич А.А. // Изв. ЮФУ. Техн. науки. 2017. Т. 191. № 6. С. 242.
- Marakhovsky M.A., Panich A.A., Talanov M.V. et al. // Ferroelectrics. 2021. V. 575. No. 1. P. 43.
- Kan Y., Wang P., Xu W.T. et al. // J. Amer. Ceram. Soc. 2005. V. 88. No. 6. P. 1631.
- Вусевкер Ю.А., Файнридер Д.Э., Панич А.Е. и др. Пьезоэлектрический керамический материал. Патент РФ № 2139840, кл. C04B 35/00. 1999.
- Esquivel-Elizondo J.R., Hinojosa B.B., Nino J.C.J. // Chem. Mater. 2011. V. 23. No. 22. P. 4965.
- Kargin Yu.F., Ivicheva S.N., Volkov V.V. // Russ. J. Inorg. Chem. 2015. V. 60. No. 5. P. 619.
- Patri T., Rao T.D., Chandra Sekhar K.S.K.R. et al. // Phys. Stat. Sol. B. 2022. Art. No. 2200223.
- Long C., Fan H., Ren W. et al. // J. Europ. Ceram. Soc. 2019. V. 39. P. 4103.
- Xie X., Wang T., Zhou Z. et al. // J. Europ. Ceram. Soc. 2019. V. 39. P. 957.
- Chen Y., Xie S., Wang H. et al. // J. Alloys Compounds. 2017. V. 696. P. 746.
- Bush A.A., Talanov M.V., Stash A.I. et al. // Cryst. Growth Des. 2020. V. 20. No. 2. P. 824.
Supplementary files






