Процессы переключения в сегнетоактивном твердом растворе 0.725NaNbO3–0.20KNbO3–0.075CdNb2O6
- Авторы: Мойса М.О.1, Таланов М.В.1, Андрюшин К.П.1, Швецова Н.А.1, Швецов И.А.1, Рыбянец А.Н.1
-
Учреждения:
- Федеральное государственное автономное образовательное учреждение высшего образования “Южный федеральный университет”, Научно-исследовательский институт физики
- Выпуск: Том 87, № 9 (2023)
- Страницы: 1285-1288
- Раздел: Статьи
- URL: https://medbiosci.ru/0367-6765/article/view/135485
- DOI: https://doi.org/10.31857/S0367676523702265
- EDN: https://elibrary.ru/KBAEMI
- ID: 135485
Цитировать
Полный текст
Аннотация
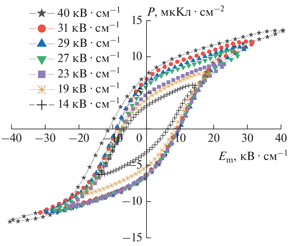
Представлены результаты исследования петель диэлектрического гистерезиса и относительной диэлектрической проницаемости керамики 0.725NaNbO3–0.20KNbO3–0.075CdNb2O6 в сильном (5–40 кВ ⋅ см–1) и слабом (0–0.3 кВ ⋅ см–1) переменном электрическом поле. Определены параметры обратимой и необратимой составляющих вкладов в диэлектрическую проницаемость. На основании модели Прейзаха построена диаграмма плотности доменных переключений. Показано, что функция распределения доменов по локальным коэрцитивным полям характеризуется острым пиком, что свидетельствует о высокой степени однородности доменной структуры.
Об авторах
М. О. Мойса
Федеральное государственное автономное образовательное учреждение высшего образования“Южный федеральный университет”, Научно-исследовательский институт физики
Автор, ответственный за переписку.
Email: moysa@sfedu.ru
Россия, Ростов-на-Дону
М. В. Таланов
Федеральное государственное автономное образовательное учреждение высшего образования“Южный федеральный университет”, Научно-исследовательский институт физики
Email: moysa@sfedu.ru
Россия, Ростов-на-Дону
К. П. Андрюшин
Федеральное государственное автономное образовательное учреждение высшего образования“Южный федеральный университет”, Научно-исследовательский институт физики
Email: moysa@sfedu.ru
Россия, Ростов-на-Дону
Н. А. Швецова
Федеральное государственное автономное образовательное учреждение высшего образования“Южный федеральный университет”, Научно-исследовательский институт физики
Email: moysa@sfedu.ru
Россия, Ростов-на-Дону
И. А. Швецов
Федеральное государственное автономное образовательное учреждение высшего образования“Южный федеральный университет”, Научно-исследовательский институт физики
Email: moysa@sfedu.ru
Россия, Ростов-на-Дону
А. Н. Рыбянец
Федеральное государственное автономное образовательное учреждение высшего образования“Южный федеральный университет”, Научно-исследовательский институт физики
Email: moysa@sfedu.ru
Россия, Ростов-на-Дону
Список литературы
- Zhang S., Xia R., Shrout T.R. et al. // Solid State Commun. 2007. V. 141. No. 12. P. 675.
- Wei H., Wang H., Xia Y. et al. // J. Mater. Chem. C. 2018. V. 6. P. 12446.
- Wu J.G. Advances in lead-free piezoelectric materials. Singapore: Springer, 2018.
- Lee M.H., Kim D.J., Park J.S. et al. // Adv. Mater. 2015. V. 27. P. 6976.
- Papanikolaou N.C., Hatzidaki E.G., Belivanis S. et al. // Med. Sci. Monitor. 2005. V. 11. No. 10. P. RA329.
- Marcus D.K., Fulton J.J., Clarke E.J. // J. Clin. Child Adolesc. Psychol. 2010. V. 39. No. 2. P. 234.
- Mason L.H., Harp J.P., Han D.Y // BioMed Res. Int. 2014. V. 2014. Art. No. 840547.
- Coondoo I., Panwar N., Kholkin A. // J. Adv. Dielectr. 2013. V. 3. No. 2. Art. No. 1330002.
- Kim J., Ji J.-H., Shin D.-J., Koh J.-H. // Ceram. Int. 2018. V. 44. No. 18. P. 22219.
- Egerton L., Dillon D.M. et al. // J. Amer. Ceram. Soc. 1959. V. 42. P. 438.
- Moysa M.O., Andryushin K.P., Kubrin S.P. et al. // J. Phys. Conf. Ser. 2021. V. 1942. No. 117. Art. No. 012027.
- Andryushin K., Shilkina L., Andryushina I. et al. // Materials. 2021. V. 14. No. 14. Art. No. 4009.
- Турик А.В. // ФТТ. 1963. Т. 5. № 10. С. 2922.
- Taylor D.V., Damjanovic D. // J. Appl. Phys. 1997. V. 82. P. 1973.
- Cima L., Laboure E., Muralt P. // Rev. Sci. Instrum. 2002. V. 73. No. 10. P. 3546.
- Fujii I., Hong E., Trolier-McKinstry S. // IEEE Trans. Ultrason. Ferroelectr. Freq. Control. 2010. V. 57. No. 8. P. 1717.
- Tsuji K., Fan Z. Bang S., Dursun S. et al. // J. Eur. Ceram. Soc. 2022. V. 42. No. 1. P. 105.
- Piazza D., Stoleriu L., Mitoseriu L. et al. // J. Eur. Ceram. Soc. 2006. V. 26. No. 14. P. 2959.





