A novel method for the preparation of nanosized tysonite phases
- Authors: Zakalyukin R.M.1,2, Levkevich E.A.1,2, Grebenev V.V.1, Glazunova T.Y.3, Buzoverov М.E.3, Kumskov A.S.1
-
Affiliations:
- Shubnikov Institute of Crystallography of Federal Scientific Research Centre “Crystallography and Photonics” of the Russian Academy of Sciences
- MIREA – Russian Technological University
- Moscow State University, Faculty of Chemistry
- Issue: Vol 87, No 10 (2023)
- Pages: 1381-1384
- Section: Articles
- URL: https://medbiosci.ru/0367-6765/article/view/141830
- DOI: https://doi.org/10.31857/S0367676523702411
- EDN: https://elibrary.ru/WXFFZT
- ID: 141830
Cite item
Full Text
Abstract
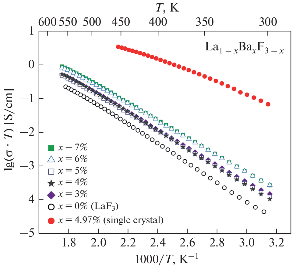
Nanopowders of tysonite solid solutions La1 – xBaxF3 – x (х = 0–0.07) were synthesized for the first time by thermal decomposition of lanthanum and barium trifluoroacetates. The samples obtained were characterized by electron microscopy, X-ray phase analysis, and impedance spectroscopy. Nanoparticles are crystalline and have characteristic sizes of 20–75 nm. The ionic conductivity of solid solutions in the range up to 300°C is determined by surface phenomena at the particle boundaries.
About the authors
R. M. Zakalyukin
Shubnikov Institute of Crystallography of Federal Scientific Research Centre “Crystallography and Photonics”of the Russian Academy of Sciences; MIREA – Russian Technological University
Author for correspondence.
Email: ruslan@crys.ras.ru
Russia, 119333, Moscow; Russia, 119454, Moscow
E. A. Levkevich
Shubnikov Institute of Crystallography of Federal Scientific Research Centre “Crystallography and Photonics”of the Russian Academy of Sciences; MIREA – Russian Technological University
Email: ruslan@crys.ras.ru
Russia, 119333, Moscow; Russia, 119454, Moscow
V. V. Grebenev
Shubnikov Institute of Crystallography of Federal Scientific Research Centre “Crystallography and Photonics”of the Russian Academy of Sciences
Email: ruslan@crys.ras.ru
Russia, 119333, Moscow
T. Yu. Glazunova
Moscow State University, Faculty of Chemistry
Email: ruslan@crys.ras.ru
Russia, 119991, Moscow
М. E. Buzoverov
Moscow State University, Faculty of Chemistry
Email: ruslan@crys.ras.ru
Russia, 119991, Moscow
A. S. Kumskov
Shubnikov Institute of Crystallography of Federal Scientific Research Centre “Crystallography and Photonics”of the Russian Academy of Sciences
Email: ruslan@crys.ras.ru
Russia, 119333, Moscow
References
- Закалюкин Р.М., Болталин А.И., Федоров П.П. и др. // Физ. и хим. стекла. 1999. Т. 25. № 3. С. 355.
- Сорокин Н.И., Закалюкин Р.М., Глазунова Т.Ю. и др. // Неорг. матер. 2000. Т. 36. № 8. С. 1008.
- Dhanapala D.B., Munasinghe H.N., Suescun L. et al. // Inorg. Chem. 2017. V. 56. P. 13311.
- Zakalyukin R.M., Levkevich E.A., Kumskov A.S. // Ceram. Int. 2022. V. 48. No. 18. P. 26565.
- Nowroozi M.A., Mohammad I., Molaiyan P. et al. // J. Mater. Chem. A. 2021. V. 9. No. 10. P. 5980.
- Toma O., Rotella H., Dahab H. et al. // J. Alloys Compounds. 2021. V. 862. Art. No. 158683.
- Gopinadh S.V., Phanendra P.V.R.L., John B. et al. // Sust. Mater. Technol. 2022. V. 32. Art. No. e00436.
- Buchinskaya I.I., Karimov D.N., Sorokin N.I. // Crystals. 2021. V. 11. No. 6. P. 629.
- Astruc A., Cochon C., Dessourses C. et al. // Appl. Catalysis A. 2013. V. 453. P. 20.
- Astruc A., Celerier S., Pavon E. et al. // Appl. Catalysis B. 2017. V. 204. P. 107.
- Кузнецов С.В., Федоров П.П., Воронов В.В. и др. // Журн. неорг. хим. 2010. Т. 55. № 4. С. 536; Kuznetsov S.V., Fedorov P.P., Voronov V.V. et al. // Russ. J. Inorg. Chem. 2010. V. 55. No. 4. P. 484.
- Chen X., Wu Y. // J. Alloys Compounds. 2020. V. 817. Art. No. 153075.
- He W., Du H., Fu J. et al. // New J. Chem. 2021. V. 45. P. 1446.
- Закалюкин Р.М., Левкевич Е.А., Николаева А.В.// Тонкие хим. технол. 2021. Т. 16. № 5. С. 426; Zakalyukin R.M., Levkevich E.A., Nikolaeva A.V. // Fine Chem. Tech. 2021. V. 16. No. 5. P. 426.
- Chable J., Dieudonne B., Body M. et al. // Dalton Trans. 2015. V. 44. P. 19625.
- Chable J., Martin A.G., Bourdin A. et al. // J. Alloys Compounds. 2017. V. 692. P. 980.
- Fedorov P.P., Mayakova M., Alexandrov A. et al. // Inorganics. 2018. V. 6. P. 38.
- Fedorov P.P., Alexandrov A.A. // J. Fluorine Chem. 2019. V. 227. Art. No. 109374.
- Федоров П.П., Александров А.А., Брагина А.Г. и др. // Журн. неорг. хим. 2022. Т. 67. № 6. С. 794; Fedorov P.P., Alexandrov A.A., Bragina A.G. et al. // Russ. J. Inorg. Chem. 2022. V. 67. P. 861.
- Морозов И.В., Карпова Е.В., Глазунова Т.Ю. и др. // Коорд. хим. 2016. Т. 42. № 10. С. 609.
- Fedorova A.A., Fedulin A.I., Morozov I.V. // J. Fluorine Chem. 2015. V. 178. P. 173.
- Глазунова Т.Ю., Болталин А.И., Федоров П.П. // Журн. неорг. хим. 2006. Т. 51. № 7. С. 1061; Glazunova T.Yu., Boltalin A.I., Fedorov A.A. // Russ. J. Inorg. Chem. 2006. V. 7. P. 983.
- Buzoverov M.E., Glazunova T.Yu., Lermontova E.Kh. // Mendeleev Commun. 2022. V. 32. No. 2. P. 212.
- Васильева А.А., Глазунова Т.Ю., Терещенко Д.С., Лермонтова Е.Х. // Тонкие хим. технол. 2021. Т. 16. № 4. С. 352; Vasilyeva A.A., Glazunova T.Yu., Tereshchenko D.S., Lermontova E.Kh. // Fine Chem. Tech. 2021. V. 16. No. 4. P. 352.
- Федоров П.П. // Журн. неорг. хим. 1999. Т. 44. № 11. С. 1792; Fedorov P.P. // Russ. J. Inorg. Chem. 1999. V. 44. No. 11. P. 1703.
Supplementary files





