Фрактальный анализ магнитооптической визуализации перемагничивания постоянного магнита в импульсном поле
- Авторы: Зигерт А.Д.1, Кузьмин Н.Б.1, Сдобняков Н.Ю.1, Иванова А.И.1, Дунаева Г.Г.1, Семенова Е.М.1
-
Учреждения:
- Федеральное государственное бюджетное образовательное учреждение высшего образования “Тверской государственный университет”
- Выпуск: Том 87, № 10 (2023)
- Страницы: 1385-1388
- Раздел: Статьи
- URL: https://medbiosci.ru/0367-6765/article/view/141831
- DOI: https://doi.org/10.31857/S0367676523702423
- EDN: https://elibrary.ru/GWVHLK
- ID: 141831
Цитировать
Полный текст
Аннотация
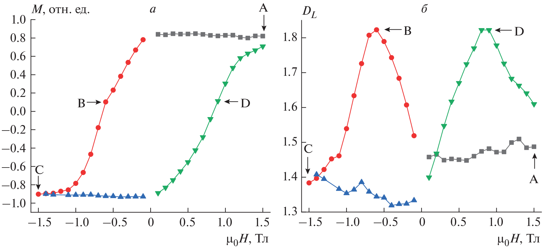
Представлены результаты фрактального анализа изображений поверхности постоянного магнита КС37, полученных методом полярного эффекта Керра с помощью индикаторной висмутсодержащей феррит-гранатовой пленки после перемагничивания импульсным полем 0.1–1.5 Тл. Полученные зависимости остаточной намагниченности от величины внешнего импульсного поля сопоставляются с фрактальной размерностью магнитооптических изображений поверхности магнита после воздействия импульсного поля. Показано, что максимальное значение фрактальной размерности соответствует размагниченному состоянию магнита.
Об авторах
А. Д. Зигерт
Федеральное государственное бюджетное образовательное учреждение высшего образования“Тверской государственный университет”
Email: nsdobnyakov@mail.ru
Россия, Тверь
Н. Б. Кузьмин
Федеральное государственное бюджетное образовательное учреждение высшего образования“Тверской государственный университет”
Email: nsdobnyakov@mail.ru
Россия, Тверь
Н. Ю. Сдобняков
Федеральное государственное бюджетное образовательное учреждение высшего образования“Тверской государственный университет”
Автор, ответственный за переписку.
Email: nsdobnyakov@mail.ru
Россия, Тверь
А. И. Иванова
Федеральное государственное бюджетное образовательное учреждение высшего образования“Тверской государственный университет”
Email: nsdobnyakov@mail.ru
Россия, Тверь
Г. Г. Дунаева
Федеральное государственное бюджетное образовательное учреждение высшего образования“Тверской государственный университет”
Email: nsdobnyakov@mail.ru
Россия, Тверь
Е. М. Семенова
Федеральное государственное бюджетное образовательное учреждение высшего образования“Тверской государственный университет”
Email: nsdobnyakov@mail.ru
Россия, Тверь
Список литературы
- Coey M.H. // Engineering. 2020. V. 6. No. 2. P. 119.
- Gutfleisch O., Willard M.A., Brück E. et al. // Adv. Mater. 2011. V. 23. No. 7. P. 821.
- Wu C., Jin J. Frontiers in magnetic materials: from principles to material design and practical applications. CRC Press, 2022. 290 p.
- Fiorillo F. // Metrologia. 2010. V. 47. No. 2. Art. No. S114.
- Franco V., Dodrill B. Magnetic measurement techniques for materials characterization. Springer, 2021. 820 p.
- Hubert A., Schaefer R. Magnetic domains: analysis of magnetic microstructures. Berlin, Heidelberg: Springer-Verlag, 1998. 686 p.
- Karpenkov A., Skokov K.P., Dunaeva G. et al. // J. Physics D. 2022. V. 55. No. 45. Art. No. 455002.
- Иванов В.Е., Лепаловский В.Н. // Письма в ЖТФ. 2022. Т. 48. № 13. С. 20;
- Лисовский Ф.И., Лукашенко Л.И., Мансветова Е.Г. // Письма в ЖЭТФ. 2004. Т. 79. № 7. С. 432; Lisovskii F.V., Lukashenko L.I., Mansvetova E.G.// JETP Lett. 2004. V. 79. No. 7. P. 352.
- Зигерт А.Д., Дунаева Г.Г., Сдобняков Н.Ю. // Физ.-хим. асп. изуч. класт. наностр. и наномат. 2021. № 13. С. 134.
- Семенова Е.М. Иванов Д.В., Ляхова М.Б. и др. // Изв. РАН. Ceр. физ. 2021. Т. 85. № 9. С. 1245; Semenova E.M., Ivanov D.V., Lyakhova M.B. et al. // Bull. Russ. Acad. Sci. Ser. Phys. 2021. V. 85. No. 9. P. 955.
- Attané J.P., Tissier M., Marty A., Vila L. // Phys. Rev. B. 2010. V. 82. No. 2. Art. No. 024408.
- Semenova E.M., Lyakhova M.B., Kuznetsova Yu.V. et al. // J. Phys. Conf. Ser. 2020. V. 1658. Art. No. 012050.
- Zigert A.D., Dunaeva G.G., Semenova E.M. et al. // J. Supercond. Nov. Magn. 2022. V. 35. No. 8. P. 2187.
- http://gwyddion.net.





