Electron microscopy and electron energy loss spectroscopy of titanium nitride thin films in TiNx/La: HfO2 (Hf0.5Zr0.5O)/TiNx/SiO2
- Authors: Suvorova E.I.1, Uvarov O.V.2, Klimenko A.A.3, Chizh K.V.2,3
-
Affiliations:
- Shubnikov Institute of Crystallography, Federal Scientific Research Centre “Crystallography and Photonics” of the Russian Academy of Sciences
- Prokhorov General Physics Institute of Russian Academy of Sciences
- Institute of Nanotechnology of Microelectronics of the Russian Academy of Sciences
- Issue: Vol 87, No 10 (2023)
- Pages: 1434-1440
- Section: Articles
- URL: https://medbiosci.ru/0367-6765/article/view/141839
- DOI: https://doi.org/10.31857/S0367676523702502
- EDN: https://elibrary.ru/DGTUPE
- ID: 141839
Cite item
Full Text
Abstract
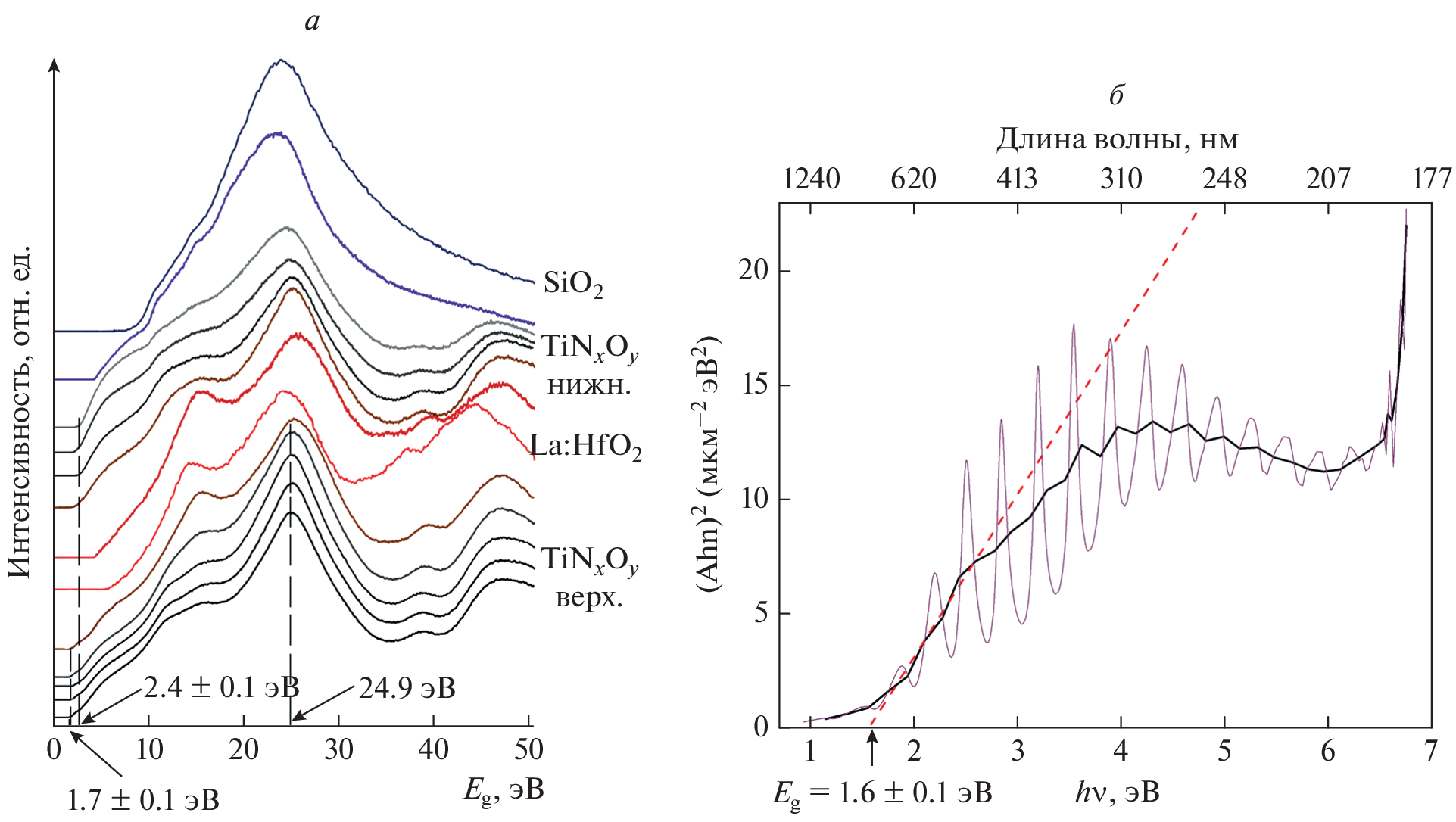
The structure and properties of TiNx electrodes obtained by plasma-enhanced atomic layer deposition in the 20 nm TiNx/10 nm La: HfO2(Hf0.5Zr0.5O)/20 nm TiNx/1 μm SiO2 system have been studied by electron microscopy and electron energy loss spectroscopy. It is shown that the electrode material has a TiNxOy composition, the band gap width varies within 1.7–2.5 eV, the resistivity is 208 μOm cm and the value of the temperature coefficient of resistance (20–100°C) is equal to –31.4 ⋅ 10–6 1/K.
About the authors
E. I. Suvorova
Shubnikov Institute of Crystallography, Federal Scientific Research Centre “Crystallography and Photonics”of the Russian Academy of Sciences
Author for correspondence.
Email: suvorova@crys.ras.ru
Russia, 119333, Moscow
O. V. Uvarov
Prokhorov General Physics Institute of Russian Academy of Sciences
Email: suvorova@crys.ras.ru
Russia, 119991, Moscow
A. A. Klimenko
Institute of Nanotechnology of Microelectronics of the Russian Academy of Sciences
Email: suvorova@crys.ras.ru
Russia, 119991, Moscow
K. V. Chizh
Prokhorov General Physics Institute of Russian Academy of Sciences; Institute of Nanotechnology of Microelectronics of the Russian Academy of Sciences
Email: suvorova@crys.ras.ru
Russia, 119991, Moscow; Russia, 119991, Moscow
References
- Müller J., Polakowski P., Polakowski S., Mikolajick T. // ECS J. Solid State Sci. Technol. 2015. V. 4. No. 5. P. N30.
- Park M.H., Lee Y.H., Mikolajick T. et al. // MRS Commun. 2018. V. 8. P. 795.
- Chernikova A.G., Kuzmichev D.S., Negrov D.V. et al. // Appl. Phys. Lett. 2016. V. 108. Art. No. 242905.
- Song G., Wang Y., Tan D.Q. // IET Nanodielectr. 2022. V. 5. P.1.
- Munde M.S., Mehonic A., Ng W.H. et al. // Sci. Reports. 2017. V. 7. Art. No. 9274.
- Suvorova E.I., Uvarov O.V., Chizh K.V. et al. // Nanomaterials. 2022. V. 12. Art. No. 3608.
- Abdallah I., Dupressoire C., Laffont L. et al. // Corros. Sci. 2019. V. 153. P. 191.
- Bertoni G., Beyers E., Verbeeck J. et al. // Ultramicroscopy. 2006. V. 106. P. 630.
- Matveyev Y., Negrov D., Chernikova A. et al. // ACS Appl. Mater. Interfaces. 2017. V. 9. No. 49. P. 43370.
- Agustin M.P., Fonseca L.R.C., Hooker J.C., Stemmer S. // Appl. Phys. Lett. 2005. V. 87. Art. No. 121909.
- Graciani J., Hamad S., Sanz J. Fdez // Phys. Rev. B. 2009. V. 80. Art. No. 184112.
Supplementary files






