Direct current generation in Dirac crystal in the field of the wave polarized by Lissajous figure
- Authors: Kryuchkov S.V.1,2, Kukhar E.I.2, Tarasov V.V.2
-
Affiliations:
- Volgograd State Socio-Pedagogical University
- Volgograd State Technical University
- Issue: Vol 87, No 10 (2023)
- Pages: 1463-1467
- Section: Articles
- URL: https://medbiosci.ru/0367-6765/article/view/141844
- DOI: https://doi.org/10.31857/S0367676523702551
- EDN: https://elibrary.ru/TMCUJF
- ID: 141844
Cite item
Full Text
Abstract
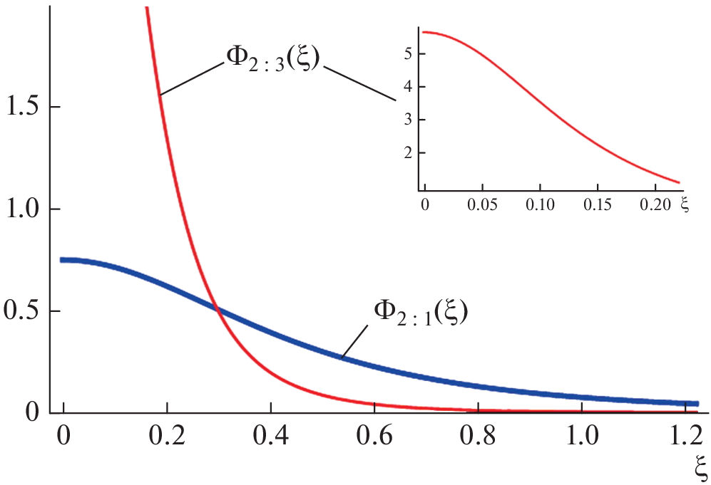
The constant component of the current density aroused in a Dirac crystal due to the alternating electric field of a wave polarized by the Lissajous figure has been calculated within the relaxation time approximation. The amplitude and frequency characteristics of direct current have been analyzed for the different frequency ratios. Some ways of applications of the studied effect have been discussed.
About the authors
S. V. Kryuchkov
Volgograd State Socio-Pedagogical University; Volgograd State Technical University
Email: eikuhar@yandex.ru
Russia, 400066, Volgograd; Russia, 400005, Volgograd
E. I. Kukhar
Volgograd State Technical University
Author for correspondence.
Email: eikuhar@yandex.ru
Russia, 400005, Volgograd
V. V. Tarasov
Volgograd State Technical University
Email: eikuhar@yandex.ru
Russia, 400005, Volgograd
References
- Bykov A.Y., Murzina T.V., Rybin M.G. et al. // Phys. Rev. B. 2012. V. 85. Art. No. 121413(R).
- Hong S.-Y., Dadap J.I., Petrone N. et al. // Phys. Rev. X. 2013. V. 3. Art. No. 021014.
- An Y.Q., Rowe J.E., Dougherty D.B. et al. // Phys. Rev. B. 2014. V. 89. Art. No. 115310.
- Lin K.-H., Weng S.-W., Lyu P.-W. et al. // Appl. Phys. Lett. 2014. V. 105. Art. No. 151605.
- Gu T., Petrone N., McMillan J.F. et al. // Nature Photonics. 2012. V. 6. P. 554.
- Zhang H., Virally S., Bao Q.L. et al. // Opt. Lett. 2012. V. 37. P. 1856.
- Vermeulen N., Castello-Lurbe D., Cheng J.L. et al. // Phys. Rev. Appl. 2016. V. 6. Art. No. 044006.
- Unterrainer K., Keay B.J., Wanke M.C. et al. // Phys. Rev. Lett. 1996. V. 76. P. 2973.
- Mikhailov S.A. // Europhys. Lett. 2007. V. 79. Art. No. 27002.
- Mikhailov S.A., Ziegler K. // J. Phys. Cond. Matter. 2008. V. 20. Art. No. 384204.
- Завьялов Д.В., Конченков В.И., Крючков С.В. // ФТТ. 2009. Т. 51. № 10. С. 2033; Zav’yalov D.V., Konchenkov V.I., Kryuchkov S.V. // Phys. Solid State. 2009. V. 51. P. 2157.
- Peres N.M.R., Bludov Y.V., Santos J.E. et al. // Phys. Rev. B. 2014. V. 90. Art. No. 125425.
- Шорохов А.В., Пятаев М.А., Хвастунов Н.Н. и др. // Письма в ЖЭТФ. 2014. Т. 100. № 12. С. 870; Shorokhov A.V., Pyataev M.A., Khvastunov N.N. et al. // JETP Lett. 2015. V. 100. P. 766.
- Mikhailov S.A. // Phys. Rev. B. 2017. V. 95. Art. No. 085432.
- Бадикова П.В., Глазов С.Ю. // Изв. РАН. Сер. физ. 2015. V. 79. № 12. P. 1650; Badicova P.V., Glazov S.Y. // Bull. Russ. Acad. Sci. Phys. 2015. V. 79. No. 12. P. 1443.
- Бадикова П.В., Глазов С.Ю., Сыродоев Г.А. // Изв. РАН. Сер. физ. 2020. Т. 84. № 1. С. 38; Badikova P.V., Glazov S.Y., Syrodoev G.A. // Bull. Russ. Acad. Sci. Phys. 2020. V. 84. No. 1. P. 30.
- Kryuchkov S.V., Kukhar E.I., Zav’yalov D.V. // Physica E. 2013. V. 53. P. 124.
- Kryuchkov S.V., Kukhar E.I., Zav’yalov D.V. // Phys. Wave Phenom. 2013. V. 21. P. 207.
- Cheng J.L., Vermeulen N., Sipe J.E. // Phys. Rev. B. 2015. V. 91. Art. No. 235320.
- Cheng J.L., Vermeulen N., Sipe J.E. // Sci. Reports. 2017. V. 7. Art. No. 43843.
- Завьялов Д.В., Крючков С.В., Марчук Э.В. // Письма в ЖТФ. 2008. Т. 34. С. 21; Zav’yalov D.V., Kryuchkov S.V., Marchuk E.V. // Tech. Phys. Lett. 2008. V. 34. P. 915.
- Крючков С.В., Кухарь Е.И., Яковенко В.А. // Изв. РАН. Сер. физ. 2010. Т. 74. № 12. С. 1759; Kryuchkov S.V., Kukhar E.I., Yakovenko V.A. // Bull. Russ. Acad. Sci. Phys. 2010. V. 74. No. 12. P. 1679.
- Кухарь Е.И., Крючков С.В., Ионкина Е.С. // Изв. РАН. Сер. физ. 2018. Т. 82. № 1. С. 101; Kukhar E.I., Kryuchkov S.V., Ionkina E.S. // Bull. Russ. Acad. Sci. Phys. 2018. V. 82. No. 1. P. 90.
- Khonina S.N., Ustinov A.V., Porfirev A.P. // Opt. Lett. 2020. V. 45. P. 4112.
- Khonina S.N., Degtyarev S.A., Ustinov A.V. et al. // Opt. Express. 2021. V. 29. Art. No. 18634.
- Zhou S.Y., Gweon G.-H., Fedorov A.V. et al. // Nature Mater. 2007. V. 6. P. 770.
- Mattausch A., Pankratov O. // Phys. Rev. Lett. 2007. V. 99. Art. No. 076802.
- Novikov D.S. // Phys. Rev. B. 2007. V. 76. Art. No. 245435.
Supplementary files





