Some features of electrostatics of uncharged thin-walled cylindrical and conical conductors
- Authors: Savin V.P.1, Koksharov Y.A.1,2
-
Affiliations:
- Faculty of Physics, Lomonosov Moscow State University
- Kotelnikov Institute of Radioengineering and Electronics, Russian Academy of Sciences
- Issue: Vol 87, No 11 (2023)
- Pages: 1667-1673
- Section: Articles
- URL: https://medbiosci.ru/0367-6765/article/view/232522
- DOI: https://doi.org/10.31857/S0367676523702885
- EDN: https://elibrary.ru/FKMZWW
- ID: 232522
Cite item
Full Text
Abstract
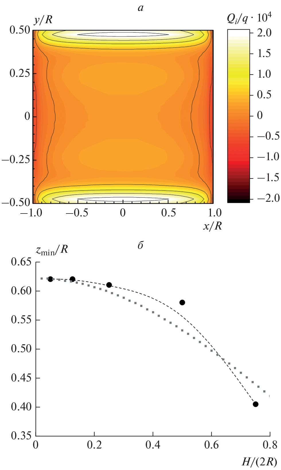
It is shown that for thin-walled uncharged cylindrical and conical conductors in the field of a point charge, there is an electrostatic “repulsion effect” previously predicted for conductors with a non-through cavity. Axial symmetry of the cavity is not necessary for the manifestation of the effect. This proves the possibility of a “repulsion effect” for conductors with different types of cavities.
About the authors
V. P. Savin
Faculty of Physics, Lomonosov Moscow State University
Author for correspondence.
Email: svladimir1999@yandex.ru
Russia, 119991, Moscow
Yu. A. Koksharov
Faculty of Physics, Lomonosov Moscow State University; Kotelnikov Institute of Radioengineering and Electronics, Russian Academy of Sciences
Email: svladimir1999@yandex.ru
Russia, 119991, Moscow; Russia, 125009, Moscow
References
- Jadhaoa V., Thomasa C.K., de la Cruz M.O. // Proc. Nat. Acad. Sci. 2014. V. 111. No. 35. P. 12673.
- Honig B., Nicholls A. // Science. 1995. V. 268. No. 5214. P. 1144.
- Majic M. // Amer. J. Phys. 2022. V. 90. No. 9. P. 682.
- Ciftja O., Beharie K., Beharie T. // Eur. J. Phys. 2019. V. 40. No. 1. Art. No. 015501.
- Levin M., Johnson S.G. // Amer. J. Phys. 2011. V. 79. No. 8. P. 843.
- Savin V.P., Koksharov Yu.A. // J. Electrostat. 2022. V. 120. Art. No. 103 769.
- Lekner J. // J. Electrostat. 2022. V. 118. Art. No. 103 721.
- Khair A.S. // J. Appl. Phys. 2013. V. 114. Art. No. 134 906.
- Rylander T., Bondeson A., Ingelström P. Computational electromagnetics. N.Y.: Springer, 2013. 302 p.
- Chew W.C., Jin J.-M., Michielssen E., Song J. Fast and efficient algorithms in computational electromagnetics. London: Artech House, 2001. 949 p.
- Gibson W.C. The method of moments in electromagnetics. London: CRC Press, 2022. 510 p.
- Graglia R.D., Peterson A.F. Higher-order techniques in computational electromagnetics. Edison: Scitech Publishing, 2015. 409 p.
Supplementary files






