Reflective properties of active layered media at second optical harmonic generation
- Authors: Zakharova I.G.1,2, Lysak Т.М.1,2, Kalinovich A.A.1, Chaykovskii D.A.2
-
Affiliations:
- Lomonosov Moscow State University
- MSU-BIT University
- Issue: Vol 87, No 12 (2023)
- Pages: 1707-1712
- Section: Articles
- URL: https://medbiosci.ru/0367-6765/article/view/232528
- DOI: https://doi.org/10.31857/S0367676523702940
- EDN: https://elibrary.ru/QUJWJM
- ID: 232528
Cite item
Full Text
Abstract
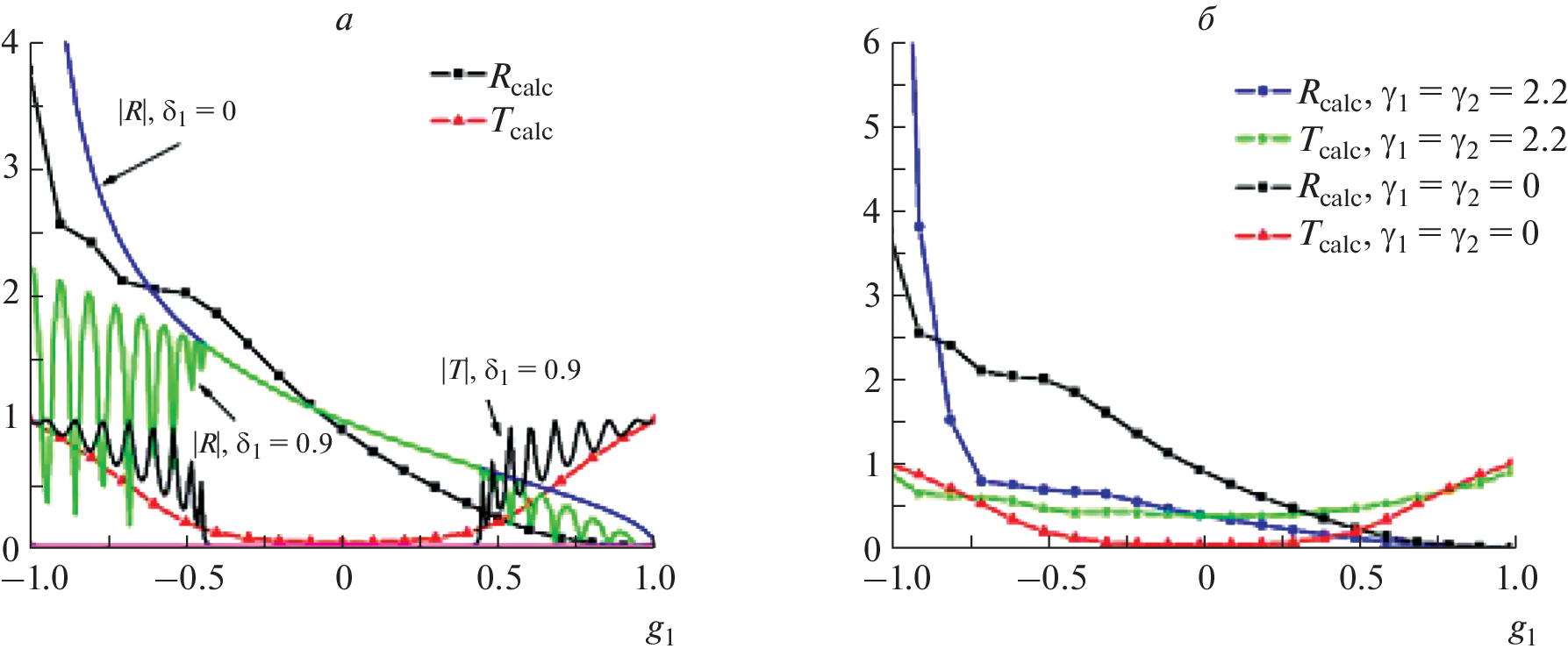
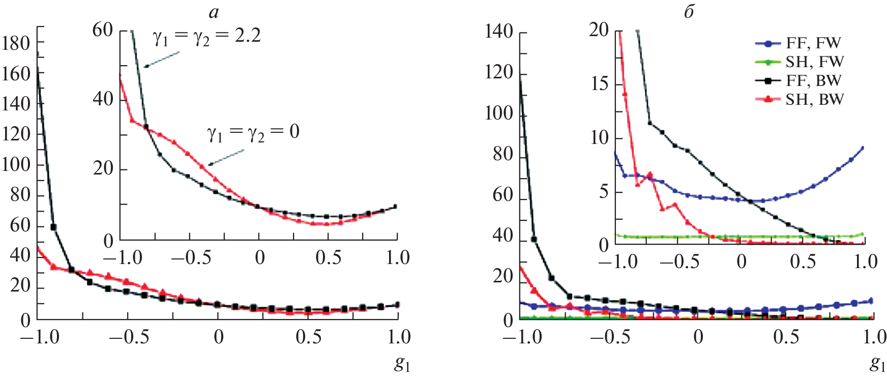
We studied the reflective properties of an active periodic medium with quadratic nonlinearity using numerical modeling based on the description of the generation of the second optical harmonic in the quasi-optical approximation. The model under consideration appears to be a system of four coupled equations for slowly varying amplitudes of forward and backward waves. Based on numerical simulation, the influence of the asymmetric Bragg coupling of counterpropagating waves at the fundamental frequency on the absorbing/generating and reflecting properties of the active medium is analyzed.
About the authors
I. G. Zakharova
Lomonosov Moscow State University; MSU-BIT University
Author for correspondence.
Email: zaharova@physics.msu.ru
Russia, 119991, Moscow; China, 518172, Shenzhen
Т. М. Lysak
Lomonosov Moscow State University; MSU-BIT University
Email: zaharova@physics.msu.ru
Russia, 119991, Moscow; China, 518172, Shenzhen
A. A. Kalinovich
Lomonosov Moscow State University
Email: zaharova@physics.msu.ru
Russia, 119991, Moscow
D. A. Chaykovskii
MSU-BIT University
Email: zaharova@physics.msu.ru
China, 518172, Shenzhen
References
- Makris G., El-Ganainy R., Christodoulides D.N., Musslimani Z.H. // Phys. Rev. Lett. 2008. V. 100. Art. No. 103904.
- Ruter C.E., Makris G., El-Ganainy R. et al. // Nature Phys. 2010. V. 10. P. 192.
- Захарова И.Г., Марченко В.Ф., Неберо М.С., Сухоруков А.П. // Вестн. МГУ. Сер. 3: Физ. Астрон. 2011. Т. 5. № 13. С. 13.
- de Sterke C.M., Sipe J.E. Progress in optics. Chap. 3. Amsterdam: Elsevier, 1994. P. 203.
- Atai J., Malomed B.A., Merhasin I.M. // Opt. Commun. 2006. V. 265. P. 342.
- Akter A., Islam M.J., Atai J. // Appl. Sciences. 2021. V. 11. P. 4833.
- Conti C., Assanto G., Trillo S. // Phys. Rev. Lett. 1997. V. 78. P. 2341.
- Conti C., Assanto G., Trillo S. // Opt. Lett. 1997. V. 22. No. 17. P. 1350.
- Kivshar Yu.S., Agrawal G.P. Optical solitons: from fibers to photonic crystals. Amsterdam: Academic Press, 2003.
- Комиссарова М.В., Захарова И.Г., Лысак Т.М., Калинович А.А. // Изв. РАН. Сер. физ. 2021. Т. 85. № 12. С. 1720; Komissarova M.V., Zakharova I.G., Lysak T.M., Kalinovich A.A. // Bull. Russ. Acad. Sci. Phys. 2021. V. 85. No. 12. P. 1370.
- Komissarova M.V., Lysak T.M., Zakharova I.G., Kalinovich A.A. // J. Phys. Conf. Ser. 2022. V. 2249. Art. No. 012008.
- Карпов С.Ю., Столяров С.Н. // УФН. 1993. Т. 163. № 1. С. 63.
Supplementary files






