Зависимость температурной чувствительности от формы апконверсионных люминофоров NaYF4:Yb,Er
- Авторы: Жарков Д.К.1, Хасанов О.Х.2, Сайко А.П.2, Пашкевич А.В.3, Лядов Н.М.1, Шмелев А.Г.1, Нуртдинова Л.А.1, Леонтьев А.В.1, Митюшкин О.Е.1, Никифоров В.Г.1
-
Учреждения:
- Федеральное государственное бюджетное учреждение науки “Федеральный исследовательский центр “Казанский научный центр Российской академии наук”
- Государственное научно-производственное объединение “Научно-практический центр Национальной академии наук Беларуси по материаловедению”
- Научно-исследовательский институт ядерных проблем Белорусского государственного университета
- Выпуск: Том 87, № 12 (2023)
- Страницы: 1735-1743
- Раздел: Статьи
- URL: https://medbiosci.ru/0367-6765/article/view/232533
- DOI: https://doi.org/10.31857/S036767652370299X
- EDN: https://elibrary.ru/QTMLFQ
- ID: 232533
Цитировать
Полный текст
Аннотация
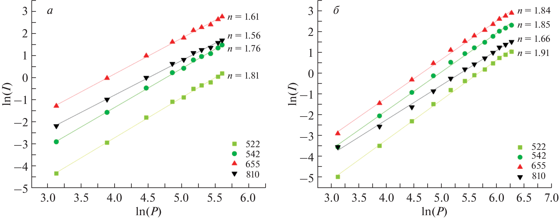
Путем вариации параметров синтеза были получены люминофоры NaYF4:Yb,Er, обладающие ярко выраженными апконверсионными свойствами при возбуждении на длине волны 980 нм. На основе данных люминесцентной спектроскопии установлено, что в диапазоне 240–350 К частицы демонстрируют температурную чувствительность, которая, в частности, позволяет реализовать измерение температуры ратиометрическим методом.
Об авторах
Д. К. Жарков
Федеральное государственное бюджетное учреждение науки“Федеральный исследовательский центр “Казанский научный центр Российской академии наук”
Автор, ответственный за переписку.
Email: dzharkov@list.ru
Россия, Казань
О. Х. Хасанов
Государственное научно-производственное объединение“Научно-практический центр Национальной академии наук Беларуси по материаловедению”
Email: dzharkov@list.ru
Беларусь, Минск
А. П. Сайко
Государственное научно-производственное объединение“Научно-практический центр Национальной академии наук Беларуси по материаловедению”
Email: dzharkov@list.ru
Беларусь, Минск
А. В. Пашкевич
Научно-исследовательский институт ядерных проблем Белорусского государственного университета
Email: dzharkov@list.ru
Беларусь, Минск
Н. М. Лядов
Федеральное государственное бюджетное учреждение науки“Федеральный исследовательский центр “Казанский научный центр Российской академии наук”
Email: dzharkov@list.ru
Россия, Казань
А. Г. Шмелев
Федеральное государственное бюджетное учреждение науки“Федеральный исследовательский центр “Казанский научный центр Российской академии наук”
Email: dzharkov@list.ru
Россия, Казань
Л. А. Нуртдинова
Федеральное государственное бюджетное учреждение науки“Федеральный исследовательский центр “Казанский научный центр Российской академии наук”
Email: dzharkov@list.ru
Россия, Казань
А. В. Леонтьев
Федеральное государственное бюджетное учреждение науки“Федеральный исследовательский центр “Казанский научный центр Российской академии наук”
Email: dzharkov@list.ru
Россия, Казань
О. Е. Митюшкин
Федеральное государственное бюджетное учреждение науки“Федеральный исследовательский центр “Казанский научный центр Российской академии наук”
Email: dzharkov@list.ru
Россия, Казань
В. Г. Никифоров
Федеральное государственное бюджетное учреждение науки“Федеральный исследовательский центр “Казанский научный центр Российской академии наук”
Email: dzharkov@list.ru
Россия, Казань
Список литературы
- Zeng S., Ren G., Xu C., Yang Q. // Cryst. Engin. Comm. 2011. V. 13. No. 5. P. 1384.
- Ren G., Zeng S., Hao J. // J. Phys. Chem. C. 2011. V. 115. No. 41. P. 20141.
- Zharkov D.K., Leontyev A.V., Shmelev A.G. et al. // Micromachines. 2023. V. 14. No. 5. P. 1075.
- Жарков Д.К., Шмелев А.Г., Леонтьев А.В. и др. // Изв. РАН. Сер. физ. 2020. Т. 84. № 3. С. 317; Zharkov D.K., Shmelev A.G., Leontyev A.V. et al. // Bull. Russ. Acad. Sci. Phys. 2020. V. 84. No. 3. P. 241.
- Zharkov D.K., Shmelev A.G., Leontyev A.V. et al. // J. Phys. Conf. Ser. 2019. V. 1283. Art. No. 012015.
- Шмелев А.Г., Никифоров В.Г., Жарков Д.K. и др. // ЖТФ. 2022. Т. 92. № 7. С. 993; Shmelev A.G., Nikiforov V.G., Zharkov D.K. et al. // Tech. Phys. 2022. V. 67. No. 4. P. 283.
- Zharkov D.K., Shmelev A.G., Leontyev A.V. et al. // Laser Phys. Lett. 2020. V. 17. No. 7. Art. No. 075901.
- Шмелев А.Г., Жарков Д.К., Леонтьев А.В. и др. // Изв. РАН. Сер. физ. 2022. Т. 86. № 12. С. 1719; Shmelev A.G., Zharkov D.K., Leontyev A.V. et al. // Bull. Russ. Acad. Sci. Phys. 2022. V. 86. No. 12. P. 1463.
- Балашов В.В., Горбаченя К.Н., Герке М.Н. и др. // Изв. РАН. Сер. физ. 2022. Т. 86. № 6. С. 879; Bala-shov V.V., Gorbachenya K.N., Gerke M.N. et al. // Bull. Russ. Acad. Sci. Phys. 2022. V. 86. No. 6. P. 738.
- Раджабов Е.А., Шендрик Р.Ю., Панкратов В. // Опт. и спектроск. 2023. Т. 131. № 4. С. 466.
- Jia F., Li G., Yang B. et al. // Nanotechnol. Rev. 2019. V. 8. No. 1. P. 1.
- Dou Q.Q., Guo H.C., Ye E. // Mater. Sci. Engin. C. 2014. V. 45. P. 635.
- Li C., Lin J. // J. Mater Chem. 2010. V. 20. P. 6831.
- Zheng H., Chen B., Yu H. et al. // RSC Advances. 2014. V. 4. P. 47556.
- Huang X., Han S., Huang W. et al. // Chem. Soc. Rev. 2013. V. 42. P. 173.
- Jia M., Liu G., Sun Z. et al. // Inorg. Chem. 2018. V. 57. No. 3. P. 1213.
- Wang Q., Liao M., Lin Q. et al. // J. Alloys Compounds. 2021. V. 850. Art. No. 156744.
- Runowski M., Woźny P., Lis S. et al. // Adv. Mater. Tech. 2020. V. 5. No. 4. Art. No. 1901091.
- Li P., Jia M., Liu G. et al. // ACS Appl. Bio Mater. 2019. V. 2. No. 4. P. 1732.
Дополнительные файлы







