Simulation of electron-optical system for 300 GHz relativistic gyrotron
- Authors: Danilov Y.Y.1, Leontyev A.N.1, Malkin A.M.1, Plankin O.P.1, Rozental R.M.1, Semenov E.S.1
-
Affiliations:
- Federal Research Center Gaponov-Grekhov Institute of Applied Physics of the Russian Academy of Sciences
- Issue: Vol 88, No 1 (2024)
- Pages: 95-99
- Section: Wave Phenomena: Physics and Applications
- URL: https://medbiosci.ru/0367-6765/article/view/264556
- DOI: https://doi.org/10.31857/S0367676524010173
- EDN: https://elibrary.ru/RZUOVA
- ID: 264556
Cite item
Full Text
Abstract
Calculations were made for a three-electrode magnetron-injector gun with a thermionic cathode for a relativistic gyrotron in the 300 GHz range, which provides the formation of a helical beam with an energy of 250 keV, a current of 100—300 A, and a pitch factor of 1.1. The possibility of generating radiation with a power of more than 8 MW in a gyrotron with a longitudinally slotted cavity has been shown within the framework of three-dimensional PIC-simulations.
Full Text
ВВЕДЕНИЕ
Генерация мощного излучения в терагерцовом диапазоне представляет интерес для целого ряда приложений. При этом практически единственным способом является использование вакуумных генераторов с электронными потоками. В настоящее время в лампах обратной волны, запитываемых электронными импульсами наносекундной длительности, получено излучение с мощностью около 600 кВт в диапазоне 0.34 ТГц [1]. В генераторах поверхностной волны получена мощность около 2 МВт в диапазоне 0.32—0.35 ТГц при длительности импульса 2 нс [2]. Излучение в широком частотном интервале от 0.1 до 0.5 ТГц с уровнем мощности в десятки мегаватт получено в экспериментах с замагниченной плазмой при релаксации в ней сильноточного релятивистского электронного пучка [3]. В гиротронах в диапазоне 0.67 ТГц получены импульсы длительностью в десятки микросекунд с мощностью в несколько сотен киловатт [4]. Ведется разработка гиротронов, рассчитанных на квазинепрерывную генерацию излучения в диапазоне 0.3 ТГц мегаваттной мощности [5].
Следует отметить, что гиротроны представляются наиболее перспективными приборами с точки зрения освоения терагерцового диапазона. Так, в работе [6] было показано, что на основе сильноточных релятивистских электронных потоков может быть достигнута мощность порядка 80 МВт в диапазоне 0.3 ТГц. Однако сильноточные электронные потоки, как правило, формируемые взрывоэмиссионными катодами, обладают существенным недостатком, связанным с малой длительностью импульсов. Обычно длительность ускоряющего напряжения не превышает нескольких десятков наносекунд, в редких случаях доходя до значений в сотни и более наносекунд. Кроме того, при больших длительностях становится практически невозможно обеспечить стабильные параметры инжекции, что, в свою очередь, сказывается на стабильности генерируемого излучения. В этой связи представляет интерес использование термоэмиссионных катодов, способных формировать электронные потоки со стабильными параметрами. При этом длительность таких потоков в релятивистских областях энергий может составлять десятки микросекунд.
Ранее в ИПФ РАН были успешно реализованы релятивистские гиротроны с электронно-оптическими системами на основе термоэмиссионных катодов с выходной мощностью 5—10 МВт в X-, Ka- и W-диапазонах [7—9]. На новом этапе исследований выполнено моделирование электронно-оптической системы (ЭОС) гиротрона диапазона 300 ГГц. Также показано, что с помощью полученного винтового пучка можно обеспечить режим одномодовой генерации с мощностью более 8 МВт в гиротроне с резонатором продольно-щелевого типа, основанного на связи мод с кратными азимутальными индексами.
МОДЕЛИРОВАНИЕ ЭЛЕКТРОННО-ОПТИЧЕСКОЙ СИСТЕМЫ ГИРОТРОНА
Расчеты ЭОС осуществлялись с помощью программного комплекса ANGEL (ANalyzer of a Gyrating ELectrons) [10], разработанного в Институте прикладной физики РАН. В его основе лежат традиционные алгоритмы анализа на базе методов трубок тока и дискретных источников [11].
В качестве исходного варианта для расчета была использована магнетронно-инжекторная пушка (МИП) релятивистского гиротрона диапазона 95 ГГц [9]. Данная МИП построена по трехэлектродной схеме, в которой напряжение на первом аноде формируется из полного ускоряющего напряжения с помощью активного делителя. Пушка рассчитана на формирование винтового электронного потока с энергией 250—300 кэВ, током 80—100 А и питч-фактором (отношение поперечной скорости электронов к продольной) порядка 1.3. На основе этой МИП был реализован гиротрон с выходной мощностью около 5 МВт, что соответствовало КПД около 20%.
Предварительные оценки показали, что при переходе в диапазон 300 ГГц эффективность релятивистского гиротрона будет снижаться до уровня 5% за счет значительного возрастания омических потерь и снижения коэффициента связи с рабочей модой в силу увеличения сверхразмерности системы. В этой связи представляет интерес возможность увеличения рабочего тока пучка до уровня 300—400 А, чтобы обеспечить получение выходной мощности на уровне 5—10 МВт.
Расчеты показали, что основным препятствием на пути повышения тока пучка является высокое значение напряженности электрического поля на участке плавного перехода между цилиндрической и конической частью катода (рис. 1). В существующей конфигурации данный переход сделан в виде дуги окружности с радиусом R = 10 мм. В результате при фиксированном питч-факторе пучка g = 1.1 с увеличением тока необходимо увеличивать и анодное напряжение, поэтому уже при токе 100 А напряженность поля достигает значений 11.4 кВ/мм, а при токе 300 А – почти 13 кВ/мм (рис. 1).
Рис. 1. Геометрия электродов исходного варианта ЭОС и карта распределения напряженности электрического поля (слева), зависимости напряженности электрического поля при различных радиусах скругления катода для работы с током пучка 300 А (сплошные кривые) и без тока пучка (пунктирные кривые) (справа).
Вместе с тем в предшествующих экспериментальных исследованиях было установлено, что предельное значение напряженности поля, выше которого начинается развитие пробойных явлений, составляет величину 9—10 кВ/мм. Снижение величины электрического поля на участке перехода может быть достигнуто путем увеличения радиуса скругления R. Так, выбирая R = 22 мм, можно снизить значения электрического поля при токе 100 и 300 А до уровня 9.3 и 10.3 кВ/мм соответственно. Значение питч-фактора пучка при этом составляет около 1.1, значение относительного разброса электронов по поперечным скоростям – порядка 40%. При дальнейшем увеличении радиуса до R = 28 мм максимальная величина электрического поля снижается до значений 9.3 кВ/мм. Однако при этом происходит некоторое ухудшение качества пучка, заключающееся в возрастании разброса по поперечным скоростям. На рис. 2 представлена геометрия оптимизированного варианта и траектории движения электронов.
Рис. 2. Геометрия оптимизированного варианта ЭОС и траектории движения электронов.
МОДЕЛИРОВАНИЕ ЭЛЕКТРОННО-ВОЛНОВОГО ВЗАИМОДЕЙСТВИЯ В РЕЗОНАТОРЕ ГИРОТРОНА
Для релятивистских гиротронов существенной проблемой является селективное возбуждение рабочей моды. Одним из возможных решений является использование продольно-щелевых резонаторов, основанных на одновременном возбуждении мод с кратными азимутальными индексами [6]. Принцип селекции колебаний в таком резонаторе можно проиллюстрировать следующим образом: предположим, что в резонаторе круглого сечения одновременно возбуждается две моды на одной частоте, имеющие m и 2m вариаций по азимуту, с одинаковой амплитудой полей на границе волновода. Суммарное поле таких мод на границе волновода будет иметь m вариаций с удвоенной амплитудой и m вариаций с половинной амплитудой. Если при этом в стенке волновода сделать m азимутальных разрывов, то такое сочетание мод будет иметь преимущество по отношению к другим модам, с точки зрения величины дифракционных потерь.
В первом приближении можно положить, что по азимутальной координате боковая поверхность указанного резонатора эквивалентна гофрировке, обеспечивающей селективную связь между двумя H-модами. Магнитный ток, создаваемый собственной модой резонатора с азимутальным индексом m1 на прямоугольном гофре, обладает гармоникой, синхронной собственной моде резонатора с азимутальным индексом m2 при условии:
(1)
где q – натуральное нечетное число, M – число заходов гофра (в нашем случае это число щелей). Селективную связь Н-мод с кратными азимутальными индексами m и 2m обеспечивает структура с M щелями. Винтовой электронный пучок со специально подобранным радиусом инжекции возбуждает моду H2m, n с определенным направлением азимутального вращения. Эта мода возбуждает сонаправленно вращающуюся моду Hm, q посредством связи на 1-й гармонике гофра. Моды H2m, n и Hm, q противоположного направления вращения возбуждаются посредством связи на 3-й гармонике гофра. В результате в резонаторе возбуждается комбинация двух связанных Н-мод с кратными азимутальными индексами m и 2m и близкими корнями производной функции Бесселя. Паразитные осесимметричные моды H0, l не войдут в рабочее колебание посредством связи на 1-й гармонике гофра только при существенном отличии их корней производной функции Бесселя от корней двух связанных Н-мод.
В рамках дипольного приближения [12] можно оценить добротность резонаторной H-моды Qslit, обусловленную излучением через щели продольной компоненты магнитного поля Hz. Значение добротности находится посредством решения самосогласованной системы уравнений для резонаторной моды и волноводных мод в щелях и имеет вид:
(2)
где a, b – длина и ширина щели, R0 и L – радиус и длина цилиндрического участка резонатора, λ – рабочая длина волны, m – азимутальный индекс рабочей моды резонатора, µmp – p-й корень производной функции Бесселя 1-го рода m-го порядка, F(z) – нормированное распределение продольной компоненты поля собственной моды регулярного резонатора. Коэффициент магнитной поляризуемости ê для прямоугольных щелей с поперечными размерами b/a << 1 составляет [13]:
(3)
Для осесимметричных или вращающихся по азимутальной координате мод множитель f(M), описывающий поляризацию рабочей моды резонатора, принимает значение f(M) = M [14]. В свою очередь, для комбинации двух стоячих мод с кратными азимутальными индексами m и 2m и близкими по значению корнями производной функции Бесселя данный множитель запишется в следующем виде:
(4)
где φj – азимутальная координата щели на боковой стенке.
Легко видеть, что в последнем случае при прорезании M = m продольных щелей в боковой стенке резонатора фактор f(M) принимает нулевое значение. В свою очередь, добротность Qslit при этом устремляется к бесконечности, что означает минимизацию потерь на излучение собственной моды, образованной парциальными модами с кратными азимутальными индексами. Среди H-мод с кратными азимутальными индексами можно выделить следующие комбинации с близкими значениями µmp: H6.4 и H12.2 (различие значений µmp составляет 0.6%), H8.7 и H16.4 (0.8%), H11.9 и H22.5 (0.6%) и т.д.
В диапазоне 300 ГГц подходящей является последняя связка мод, для которой радиус пучка оказывается близок к максимуму эффективного коэффициента связи пучка с волной. Полученные при расчете ЭОС параметры пучка были использованы в трехмерном моделировании релятивистского гиротрона с использованием PIC-кода KARAT [15]. Для снижения поперечных дифракционных потерь использовалась двухслойная конфигурация резонатора, в которой внешняя щелевая оболочка смещена относительно внутренней на величину углового размера щелей [16]. На рис. 3 представлена геометрия пространства взаимодействия и мгновенное положение макрочастиц.
Рис. 3. Геометрия пространства взаимодействия релятивистского гиротрона и мгновенное положение макрочастиц в PIC-моделировании: 1 – винтовой электронный пучок, 2 – продольно-щелевой резонатор, 3 – слой поглотителя.
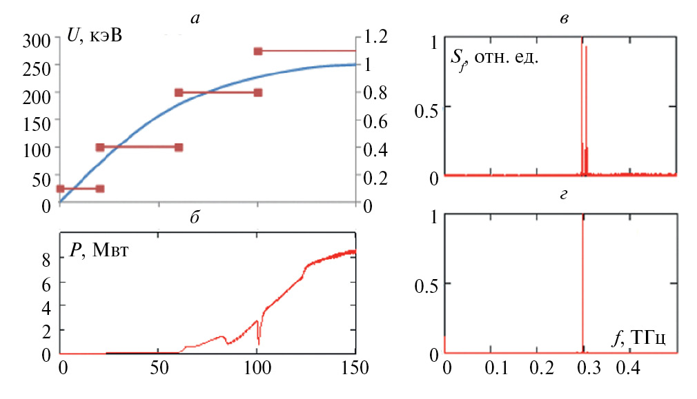
Известно, что в гиротронах на высоких модах большое значение имеет место изменчивость параметров пучка на фронте импульса ускоряющего напряжения, определяющая т.н. “сценарий включения” – последовательность возбуждения и срывов паразитных осцилляций и установление колебаний на рабочей моде. В реальных условиях длительность фронта составляет около 1.5 мкс, что не позволяет в настоящее время осуществить полноценное трехмерное моделирование в силу огромных затрат вычислительного времени. Если бы речь шла только об определении эффективности взаимодействия, то можно было бы уменьшить размерность задачи путем моделирования электронно-волнового взаимодействия с эквивалентной осесимметричной модой [17]. Однако для исследования процессов конкуренции мод такой подход неприменим. В этой связи в моделировании длительность фронта импульса ускоряющего напряжения была снижена на порядок до значения τ = 150 нс (рис. 4а). Такая замена может считаться допустимой при условии существенного превышения данного временного интервала над характерным временем спадания поля в резонаторе τ0:
(5)
где f – частота генерации, Q – добротность рабочей моды, которую для открытых резонаторов гиротронов можно оценить по формуле [18]:
(6)
где L – длина однородного участка резонатора, λ – рабочая длина волны. В моделировании длина однородного участка резонатора составляла L = 10λ, что дает оценку для времени спадания поля τ0 ~ 1/3 нс. Таким образом, можно полагать, что значительное укорочение длительности фронта моделирования не оказывает существенного влияния на динамику процессов конкуренции мод. В силу ряда программных ограничений величина питч-фактора пучка на фронте менялась скачкообразно от значений g = 0.1 в нулевой момент времени до значения g = 1.1 (рис. 4а).
Рис. 4. Зависимость энергии макрочастиц (плавная линия) и питч-фактора (горизонтальные линии) от времени (а). Зависимость выходной мощности от времени (б). Спектры выходного излучения на участке 0—100 нс (в) и 100—150 нс (г).
Результаты моделирования показывают, что на временах от 0 до 100 нс происходит возбуждение более высокочастотной паразитной моды (рис. 4в) и последующее ее подавление рабочей модой на частоте около 300 ГГц (рис. 4г). На временах более 100 нс в спектре излучения присутствует единственная частота, при этом выходная мощность плавно нарастает до значений, превышающих 8 МВт (рис. 4б).
ЗАКЛЮЧЕНИЕ
Проведенный анализ показал, что при определенной модификации, заключающейся в увеличении плавности сочленения цилиндрической и конической части катодного узла, существующая магнетронно-инжекторная пушка релятивистского гиротрона W-диапазона может быть использована для формирования винтового электронного потока для гиротрона диапазона 300 ГГц. Трехмерное моделирование методом крупных частиц процессов конкуренции мод на фронте импульса ускоряющего напряжения подтвердило возможность получения одномодовой генерации в указанном диапазоне с выходной мощностью более 8 МВт.
Исследование выполнено при финансовой поддержке проектов ИПФ РАН FFUF-2021-0001, FFUF-2022-0007.
About the authors
Yu. Yu. Danilov
Federal Research Center Gaponov-Grekhov Institute of Applied Physics of the Russian Academy of Sciences
Email: leontiev@ipfran.ru
Russian Federation, Nizhny Novgorod
A. N. Leontyev
Federal Research Center Gaponov-Grekhov Institute of Applied Physics of the Russian Academy of Sciences
Author for correspondence.
Email: leontiev@ipfran.ru
Russian Federation, Nizhny Novgorod
A. M. Malkin
Federal Research Center Gaponov-Grekhov Institute of Applied Physics of the Russian Academy of Sciences
Email: leontiev@ipfran.ru
Russian Federation, Nizhny Novgorod
O. P. Plankin
Federal Research Center Gaponov-Grekhov Institute of Applied Physics of the Russian Academy of Sciences
Email: leontiev@ipfran.ru
Russian Federation, Nizhny Novgorod
R. M. Rozental
Federal Research Center Gaponov-Grekhov Institute of Applied Physics of the Russian Academy of Sciences
Email: leontiev@ipfran.ru
Russian Federation, Nizhny Novgorod
E. S. Semenov
Federal Research Center Gaponov-Grekhov Institute of Applied Physics of the Russian Academy of Sciences
Email: leontiev@ipfran.ru
Russian Federation, Nizhny Novgorod
References
- Hu L., Song R., Ma G. et al. // IEEE Trans. Electron Devices. 2018. V. 65. No. 6. P. 2149.
- Wang J., Wang G., Wang D. et al. // Sci. Reports. 2018. V. 8. No. 1. P. 1.
- Arzhannikov A.V., Sinitsky S.L., Popov S.S. et al. // IEEE Trans. Plasma Sci. 2022. V. 50. No. 8. P. 2348.
- Глявин М.Ю., Лучинин А.Г., Богдашов А.А. и др. // Изв. вузов. Радиофизика. 2013. Т. 56. № 8. С. 550.
- Mondal D., Yuvaraj S., Rawat M. et al. // IEEE Trans. Electron Devices. 2022. V. 69. No. 3. P. 1442.
- Rozental R.M., Danilov Yu.Yu., Leontyev A.N. et al. // IEEE Trans. Electron Devices. 2022. V. 69. No. 3. P. 1451.
- Zaitsev N.I., Ginzburg N.S., Ilyakov E.V. et al. // IEEE Trans. Plasma Sci. 2002. V. 30. No. 3. P. 840.
- Зайцев Н.И., Завольский Н.А., Запевалов В.Е. и др. // Изв. вузов. Радиофизика. 2003. Т. 46. № 10. С. 914.
- Abubakirov E.B., Chirkov A.V., Denisov G.G. et al. // IEEE Trans. Electron Devices. V. 64. No. 4. P. 1865.
- Планкин О.П., Семенов Е.С. // Вестн. НГУ. Сер. физ. 2013. Т. 8. № 2. С. 44.
- Семенов Е.С., Планкин О.П., Розенталь Р.М. // Изв. вузов “ПНД”. 2015. Т. 23. № 3. С. 94.
- Danilov Yu.Yu., Leontyev A.N., Leontyev N.V. et al. // IEEE Trans. Electron Dev. 2021. V. 68. No. 4. P. 2130.
- Харвей А.Ф. Техника сверхвысоких частот. Т. 1. М.: Советское радио, 1965. 784 с.
- Ваганов Р.Б., Матвеев Р.Ф., Мериакри В.В. Многоволновые волноводы со случайными нерегулярностями. М.: Советское радио, 1972. 232 с.
- Tarakanov V.P. // EPJ Web Conf. 2017. V. 149. Art. No. 04024.
- Rozental R.M., Danilov Yu.Yu., Leontyev A.N. // J. Infrared Millimeter. Terahertz Waves. 2022. V. 43. No. 8. P. 654.
- Rozental R.M., Tarakanov V.P. // J. Infrared Millimeter. Terahertz Waves. 2022. V. 43. No. 6. P. 479.
- Власов С.Н., Жислин Г.М., Орлова И.М. и др. // Изв. вузов. Радиофизика. 1969. Т. 12. № 8. С. 1236.
Supplementary files






