Bragg resonances in the yttrium iron garnet – platinum – yttrium iron garnet layered structure
- 作者: Lobanov N.D.1, Matveev O.V.1, Morozova M.A.1
-
隶属关系:
- Saratov State National Research University
- 期: 卷 88, 编号 2 (2024)
- 页面: 288-294
- 栏目: Wave Phenomena: Physics and Applications
- URL: https://medbiosci.ru/0367-6765/article/view/266127
- DOI: https://doi.org/10.31857/S0367676524020214
- EDN: https://elibrary.ru/RQWPYX
- ID: 266127
如何引用文章
全文:
详细
We studied theoretically the interaction between the spin current in a conductor with a strong spin-orbit coupling (platinum, Pt) and the spin wave in yttrium iron garnet ferromagnetic layers (YIG) with periodic thickness modulation under conditions of Bragg resonances and interlayer coupling. It is shown that in the YIG/Pt/YIG sandwich structure the conditions for two Bragg resonances in the first Brillouin area in the spin wave spectrum are fulfilled. The spin current in Pt allows frequency tuning of the resonances and control the depth of the spin wave band gap corresponding to the resonance conditions.
全文:
ВВЕДЕНИЕ
Слоистые структуры из магнитных диэлектриков и проводников с сильной спин-орбитальной связью рассматривают как одни из базовых элементов для разработки чисто спиновых информационных и коммуникационных технологий, в которых движущиеся заряды заменены спиновыми волнами (СВ) или магнонами [1–3]. Наиболее перспективным материалом, в котором возможно распространение СВ, являются ферромагнитные пленки железоиттриевого граната (Y3Fe5O12, YIG), ввиду малого уровня потерь, слабой магнитной анизотропии, возможности масштабирования вплоть до нескольких нанометров и хорошую интегрируемость с полупроводниковыми технологиями [4, 5]. В качестве проводника используют нормальные металлы, в частности пленки платины (Pt), характеризующиеся сильной спин-орбитальной связью и максимальным значением угла Холла, а также имеющие толщину порядка нескольких нм, которая близка к длине диффузии спинов [5].
Электрический ток в Pt за счет обратного спинового эффекта Холла генерирует спиновый ток (СТ). Спиновый ток, в свою очередь, за счет передачи спинового крутящего момента (spin transfer torque) на интерфейсе YIG/Pt приводит к усилению, либо ослаблению СВ в YIG [6, 7, 5]. Соответственно, в слоистых структурах, состоящих из двух слоев YIG, разделенных слоем Pt, СТ приводит к усилению СВ в одном слое YIG и ослабление в другом. В такой структуре возможно нарушение симметрии во времени и пространстве [8–10].
Использование магнонных кристаллов (МК) – ферромагнитных пленок с периодической модуляцией параметров – создает условия для формирования брэгговских резонансов для волновых чисел (L – период структуры), удовлетворяющих условию Брэгга [11]. На частотах брэгговских резонансов формируются запрещенные зоны – полосы непропускания в спектре СВ. В слоистых структурах на основе МК, разделенных диэлектрической прослойкой за счет взаимодействия прямых и отраженных симметричных и антисимметричных нормальных волн связанной структуры число брэгговских резонансов увеличивается [12, 13].
Влияние СТ на формирование брэгговских резонансов в МК до настоящего времени не рассматривалось. Однако, следует ожидать, что за счет различного влияния на прямые и отраженные симметричные и антисимметричные волны, СТ может приводить, к изменению условий и эффективности их взаимодействия. Целью работы является исследование взаимодействия СТ в проводнике с сильной спин-орбитальной связью и СВ в ферромагнитной среде с периодической модуляцией толщины, в условиях брэгговских резонансов и межслойной связи. Построена волновая модель для описания спин-волновой эволюции в структуре YIG/Pt/YIG. Получено дисперсионное соотношение для спиновых волн под действием СТ. Выявлена возможность управления брэгговскими резонансами СВ с помощью СТ.
МОДЕЛЬ И ОСНОВНЫЕ СООТНОШЕНИЯ
На первом этапе рассмотрим слоистую структуру, состоящую из двух ферромагнитных пленок без модуляции толщины (ФП-1 и ФП-2), имеющих толщину d и намагниченность насыщения M0. Ферромагнитные пленки разделены слоем НМ толщины D (меньше толщины скин-слоя). В этом случае ферромагнитные волноводы оказываются связаны, как через дипольное взаимодействие ВЧ магнитных полей [14, 12], так и через обменное взаимодействие Рудермана–Киттеля–Касуя–Иосиды (РККИ) [15]. Взаимодействие РККИ реализуется через электроны проводимости в НМ, поляризация которых зависит от спинов атомов в одном из ферромагнитных слоев, и влияет на спины атомов во втором ферромагнитном слое.
К слою НМ прикладывается напряжение, спиновый эффект Холла проявляется в том, что в направлении перпендикулярном электрическому току JE (т.е., в направлении оси z) происходит разделение электронов с противоположными направлениями спинов . Таким образом, электроны с одним направлением спинов перейдут к верхней поверхности слоя НМ, а электроны с другим направлением спинов перейдут к нижней поверхности НМ. В результате вдоль оси z потечет спиновый ток плотностью JS. Спины у поверхности НМ передают свой спиновый крутящий момент поверхностным спинам в ФП [5, 6]. Благодаря дипольным и обменным взаимодействиям крутящий момент передается другим спинам вглубь толщины ФП и, соответственно, спиновой волне, распространяющейся в ФП1.
То, с каким направлением спинов окажутся электроны у границы, например ФП-1/НМ, зависит от направления тока в НМ. Если направление спинов на границе противоположно направлению оси вокруг которой прецессируют магнитные моменты в ФП (оси x) ), то спиновый крутящий момент направлен противоположно затуханию (damping torque). Тогда увеличивает угол прецессии магнитных моментов в ФП-1 (γ), т.е. усиливает СВ (см. рис. 1а). Если направление спинов на границе сонаправлено с осью, вокруг которой прецессируют магнитные моменты в ФП-1 (). В этом случае спиновый крутящий момент сонаправлен с затуханием . Тогда уменьшает угол γ, т.е. ослабляет СВ (рис. 1б).
Рис. 1. Схема прецессии вектора намагниченности в МК-1 (а) и МК-2 (б). Схема исследуемой структуры (в)
При протекании электрического тока JE > 0 в НМ электроны будут смещаться в сторону интерфейса НМ/ФП-1 (что приведет к усилению СВ в ФП-1), как показано на рис. 1а. Электроны с будут смещаться в сторону интерфейса НМ/ФП-2 (что приведет к ослаблению СВ в ФП-2), как показано рис. 1б. Для тока отрицательной полярности JE < 0 ситуация противоположная.
Магнитная динамика в исследуемой структуре может быть описана уравнением Ландау–Лифшица–Гильберта с учетом члена Слончевского [5, 6, 8]:
, (1)
где – намагниченность ФП-1 и ФП-2, M0– намагниченность насыщения ФП-1 и ФП-2, α – затухание Гильберта, – спиновый крутящий момент, JE – плотность электрического тока, – плотность спинового тока, D – толщина НМ, γ – гиромагнитное соотношение, e – заряд электрона, θSH – угол Холла, S – прозрачность интерфейса между НМ и ФП-1 (ФП-2), – приведенная постоянная Планка. Также в соотношении (1) эффективное магнитное поле , включающее внешнее магнитное поле , обменное взаимодействие (Aex – постоянная обмена в ФП-1 и ФП-2), межслойное обменное взаимодействие РККИ (Kex – постоянная РККИ), дипольную связь между ФП-1 и ФП-2 ( – ВЧ компоненты магнитных полей, – коэффициент связи).
Исследуемая структура помещена во внешнее магнитное поле , направленное вдоль оси x (как показано на рис. 1в), при этом в ФП-1 и ФП-2 вдоль оси y распространяется СВ, представляющая собой волну прецессии вектора намагниченности. Представим вектор намагниченности в виде суммы постоянной компоненты, направленной вдоль внешнего магнитного поля, и переменной ВЧ компоненты .
Распишем соотношение (1) в проекциях на оси координат:
(2)
Введем обозначения , .
Переменные составляющие магнитного поля и намагниченности связаны соотношениями вида [13]:
. (3)
Подставляя (2) и (3) в (1), получим:
, (4)
где.
Для переменных намагниченностей система (4) примет вид:
, (5)
где .
Перейдем к рассмотрению периодической структуры, состоящей двух магнонных кристаллов (МК-1 и МК-2), разделенных слоем НМ. МК-1 и МК-2 представляют собой ферромагнитные пленки, на поверхность которых нанесена периодическая структура с периодом L в виде канавок глубиной ∆ (b = a – ∆ – толщина пленки в области канавки, a – толщина пленки в области столбика), шириной l (ширина столбика c = L – l), как показано на рис. 2.
Рис. 2. Схема исследуемой структуры в проекции zОy
В этом случае толщина ферромагнитных пленок является периодической функцией d = b + δ(y), где . Раскладывая δ(y) в ряд Фурье и ограничиваясь членами с n = 0, ±1 получим [12]:
, (6)
где .
Используя метод связанных волн [16], решение уравнений (5) представим в виде суммы прямых волн и волн, отраженных от периодических канавок:
, (7)
где A1,2 и B1,2 – медленно меняющиеся комплексные амплитуды огибающих прямых и отраженных волн, k0 – постоянная распространения «0» гармоники, k–1 относится к «–1» гармонике, k0 и k–1 связаны условием Брэгга: , где – брэгговское волновое число.
Подставляя соотношения (6) и (7) в уравнения (5), в стационарном случае можно получить систему волновых уравнений для амплитуд огибающих прямых и отраженных волн в виде:
(8)
где, , , , , , , , и – частоты, связанные с эффективным магнитным полем прямых и отраженных волн в МК-1 и МК-2, соответственно.
Полагая производные в (8) равными нулю и приравнивая детерминант получившейся системы к нулю, получим дисперсионное соотношение вида:
. (9)
Диагональные компоненты определителя (9) (при Kex = 0), приравненные к нулю, представляют собой дисперсионные соотношения для прямой и отраженной СВ в однородных пленках без канавок [17, 18, 14]. Недиагональные компоненты χ0,–1, описывают дипольное и РККИ взаимодействие между СВ в МК-1 и МК-2. При χ0,–1 = 0 приходим к дисперсионным уравнениям для СВ в одном МК, нагруженном слоем НМ. Компоненты κ0,–1 описывают связь между прямыми и отраженными волнами в каждом МК. При κ0,–1 = 0 соотношение (9) описывает дисперсионное соотношение для СВ в структуре из двух ферромагнитных пленок без модуляции параметров, разделенных слоем НМ [8]. Компоненты описывают связь между прямыми и отраженными волнами в разных МК.
При брэгговском волновом числе k0,–1 = kB, в отсутствии связи между прямыми и отраженными волнами (κ0,–1 = 0) и потерь (α = 0), решение (9) имеет вид:
, (10)
где . Частоты являются частотами фазового синхронизма прямых и отраженных волн при k0,–1 = kB.
Положим и используем в (8) подстановку , , где q – искомая добавка к волновому числу kB. Приравняем определитель системы к нулю и найдем решение характеристического уравнения, в предположении , в виде:
, (11)
где . Из решений видно, что в случае одиночного слоя YIG в отсутствии СТ (τ = χ = 0) добавка к волновому числу kB является мнимой величиной q = ± jk, что соответствует затуханию СВ на частоте , являющейся частотой брэгговского резонанса. Данная частота является центральной частотой полосы непропускания СВ – запрещенной зоны, а мнимая часть волнового числа пропорциональна глубине запрещенной зоны.
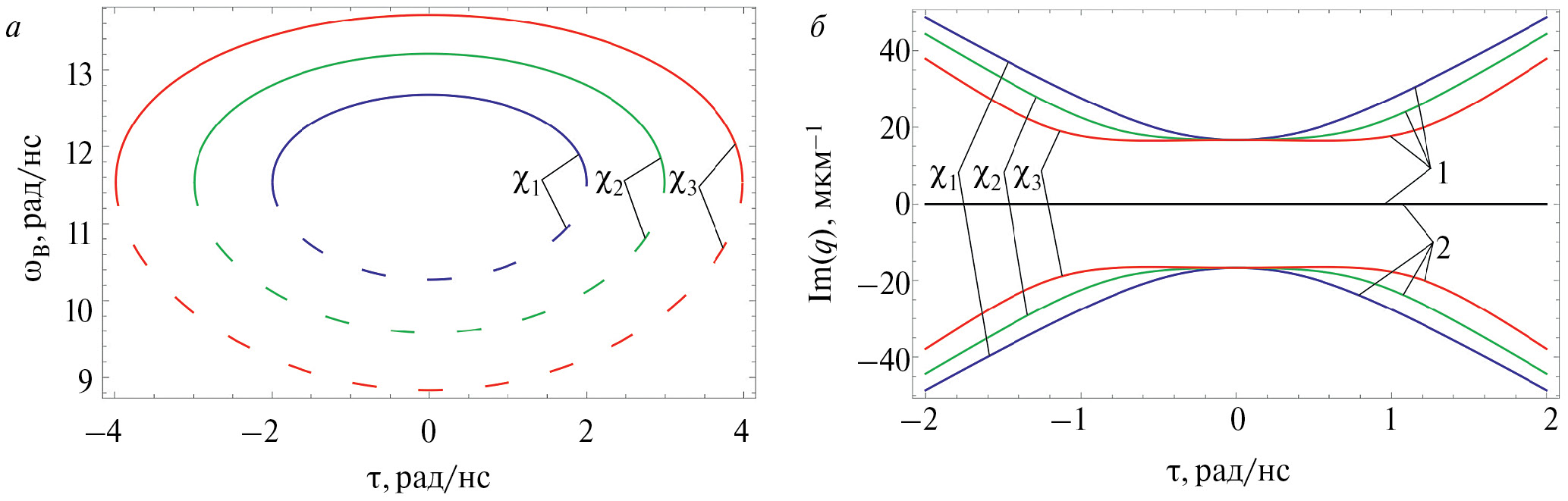
В структуре YIG/Pt/YIG формируются два брэгговских резонанса на частотах , отличных от частоты резонанса в одиночном слое YIG ωB. На рис. 3а приведены зависимости резонансных частот от величины и полярности СТ, построенные с использованием соотношения (10), при разных значениях связи между слоями YIG χ (дипольной связи и обменного РККИ взаимодействия). Видно, что при увеличении СТ высокочастотная запрещенная зона сдвигается вниз по частоте (сплошные кривые), а низкочастотная – вверх по частоте (пунктирные кривые), т.е. частотный интервал между зонами уменьшается и ЗЗ сливаются. При изменении полярности СТ тенденция сохраняется.
Рис. 3. Зависимость от величины и полярности СТ резонансных частот (сплошные кривые) и (пунктирные кривые) (а), мнимых частей добавок к брэгговскому волновому числу Im(q) для прямых волн (кривые 1) и отраженных волн (кривые 2) при разных значениях χ (дипольной связи и обменного РККИ взаимодействия) (б) (χ1 = 2.8 × 1019 рад2/нс2, χ2 = 4.1 × 1019 рад2/нс2, χ3 = 5.5 × 1019 рад2/нс2). Расчетные параметры: D = 10 нм, M0 = 140 Гс, α = 10‒4, L1,2 = 50, с = 25 нм, a = 100 нм, Δ = 40 нм, b = 60 нм, H0 = 800 Э, Aex = 4.7 Гс2 мкм2, θSH = 0.08, S = 1, Kex = 728 Гс2 мкм, Kdip = 0.2
На рис. 3б приведены зависимости мнимых частей добавок Im(q)) при от величины и полярности СТ, построенные с использованием соотношения (11), при разных значениях связи между слоями YIG χ. Видно, что в отсутствии СТ τ = 0 значение Im(q) > 0 для прямых волн (кривые 1) и Im(q) < 0 для отраженных волн (кривые 2), что соответствует затуханию прямых волн и формированию ЗЗ. При увеличении СТ модуль Im(q) увеличивается, т.е. растет глубина ЗЗ. При изменении полярности СТ тенденция сохраняется.
ЗАКЛЮЧЕНИЕ
Таким образом, изучены особенности брэгговских резонансов при распространении спиновых волн в слоистой структуре на основе ферромагнтиных пленок (YIG) с периодической модуляцией толщины, разделенных слоем проводника с сильной спин-орбитальной связью (Pt). Показано, что за счет взаимодействия прямых и отраженных волн возможно формирование запрещенных зон: полос непропускания спиновых волн, соответствующих условиям брэгговских резонансов. Запрещенные зоны формируются при брэгговских волновых числах и частотах, отличных от брэгговских частот для каждого из слоев YIG в отдельности.
Спиновых ток в Pt приводит к различному изменению эффективного магнитного поля для прямых и отраженных волн в каждом МК, что позволяет управлять частотным положением и глубиной запрещенных зон. В частности, при увеличении СТ высокочастотная запрещенная зона смещается вниз по частоте, а низкочастотная запрещенная зона – вверх по частоте, т.е. частотный интервал между зонами уменьшается и зоны сливаются. При этом также увеличивается глубина запрещенных зон на частотах брэгговских резонансов.
Практическая важность результата состоит в том, что управление брэгговским резонансами спиновых волн с помощью спинового тока открывает возможность для использования такой структуры в качестве базового функционального элемента частотно-селективных СВЧ устройств с двойным (электрическим и магнитным) управлением.
Работа выполнена при поддержке Российского научного фонда (проект № 23-29-00759).
1 Эффекты, связанные со спиновой накачкой (spin pumping) в данном случае, будем считать незначительными [5].
作者简介
N. Lobanov
Saratov State National Research University
编辑信件的主要联系方式.
Email: nl_17@mail.ru
俄罗斯联邦, Saratov
O. Matveev
Saratov State National Research University
Email: nl_17@mail.ru
俄罗斯联邦, Saratov
M. Morozova
Saratov State National Research University
Email: nl_17@mail.ru
俄罗斯联邦, Saratov
参考
- Chumak A.V., Vasyuchka V.I., Serga A.A. et al. // Nature Physics. 2015. V. 11. P. 453.
- Баранов П.Г., Калашникова А.М., Козуб В.И. и др. // УФН. 2019. Т. 189. С. 849; Baranov P.G., Kalashnikova A.M., Kozub V.I. et al. // Phys. Usp. 2019. V. 62. P. 795.
- Brataas A., van Wees B., Klein O. et al. // Phys. Reports. 2020. V. 885. P. 1.
- Demidov V.E., Urazhdin S., Anane A. et al. // J. Appl. Phys. 2020. V. 127. Art. No. 170901.
- Zhou Y., Jiao H., Chen Y.T. et al. // Phys. Rev. B. 2013. V. 88. Art. No. 184403.
- Ando K., Takahashi S., Harii K. et al. // Phys. Rev. Lett. 2008. V. 101. Art. No. 036601.
- Demidov V.E., Urazhdin S., Edwards E.R.J., Demokritov S.O. // Appl. Phys. Lett. 2011. V. 99. Art. No. 172501.
- Wang X G., Guo G.H., Berakdar J. // Nature Commun. 2020. V. 11. P. 5663.
- Temnaya O.S., Safin A.R., Kalyabin D.V. et al. // Phys. Rev. Appl. 2022. V. 18. Art. No. 014003.
- Wang X.G., Schulz D., Guo G.H., Berakdar J. // Phys. Rev. Appl. 2022. V. 18. Art. No. 024080.
- Chumak A.V., Serga A.A., Hillebrands B. // J. Physics D. 2017. V. 50. Art. No. 244001.
- Morozova M.A., Sharaevskaya A. Yu., Sadovnikov A.V. et al. // J. Appl. Phys. 2016. V. 120. Art. No. 223901.
- Морозова М.А., Лобанов Н.Д., Матвеев О.В. и др. // Письма в ЖЭТФ. 2022. Т. 115. С. 793; Morozova M.A., Lobanov N.D., Matveev O.V. et al. // JETP Lett. 2022. V. 115. P. 742.
- Вашковский А.В., Стальмахов В.С., Шараевский Ю.П. Магнитостатические волны в электронике сверхвысоких частот. Саратов: Изд-во СГУ, 1993.
- Ruderman M.A., Kittel C. // Phys. Rev. 1954. V. 96. P. 99.
- Marcuse D. Light transmission optics. Bell Laboratory Series. 1972.
- Kalinikos B.A., Slavin A.N. // J. Phys. Cond. Matter. 1986. V. 19. P. 7013.
- Qin H., Hämäläinen S.J., Arjas K. et al. // Phys. Rev. B. 2018. V. 98. Art. No. 224422.
补充文件
