Spectra and angle distributions of the atmospheric neutrinos and muons from the charm particle decays
- Authors: Sorokovikov M.N.1, Morozova A.D.1,2, Sinegovskaya T.S.3, Sinegovsky S.I.1,2
-
Affiliations:
- Joint Institute for Nuclear Research
- Irkutsk State University
- Irkutsk State Transport University
- Issue: Vol 88, No 3 (2024)
- Pages: 507-511
- Section: Physics of Cosmic Rays
- URL: https://medbiosci.ru/0367-6765/article/view/267689
- DOI: https://doi.org/10.31857/S0367676524030247
- EDN: https://elibrary.ru/QKLVTS
- ID: 267689
Cite item
Full Text
Abstract
A new calculation of the prompt component of atmospheric leptons — muon neutrinos and muons from the decays of charmed particles is performed for the same hadron cascade model that was used in calculating the characteristics of atmospheric leptons from the decays of π- and K-mesons. Spectral zenith-angular distributions of prompt and (π, K)-leptons are obtained. The cross-energy intervals are found for which the prompt lepton fluxes contribution comparably to the fluxes of (π, K)-muons and neutrinos. The possibility is shown of the prompt neutrinos detecting at energies much lower of the cross-energy.
Full Text
ВВЕДЕНИЕ
Нейтрино высоких энергий от распадов мезонов и барионов, рождающихся в адронных взаимодействиях космических лучей (КЛ) с атмосферой Земли, образуют неустранимый фон в задаче детектирования нейтрино от удаленных астрофизических источников. Атмосферные мюоны являются важным объектом исследования hA-взаимодействий при высоких энергиях и инструментом изучения характеристик КЛ. Расчет энергетического спектра и зенитно-углового распределения атмосферных мюонов и нейтрино как фона актуален для обработки данных нейтринных телескопов Baikal-GVD [1, 2], IceCube [3], ANTARES [4] и KM3NeT [5].
Потоки атмосферных нейтрино и мюонов включают две компоненты, различающиеся спектром и зенитно-угловым распределением. Анизотропная составляющая (от распадов π- и K-мезонов) характеризуется более мягким спектром — это (π, K)-нейтрино и мюоны (conventional). Квазиизотропный поток лептонов формируется при высоких энергиях (≥ 100 ТэВ) в результате рождения и распада очарованных адронов (D±, D0, D0, Λс), он имеет более жесткий спектр — это (D, Λс)-лептоны (prompt). Несмотря на многолетние усилия эта компонента все еще не обнаружена экспериментально.
На эксперименте (D, Λс)-лептоны пытаются обнаружить по спектральной характеристике, ориентируясь на возможную область значений кросс-энергии вблизи тех, что предсказываются в расчетах. В настоящей работе показана перспективная возможность поиска (D, Λс)-компоненты, основанная на анализе зенитно-углового усиления атмосферных лептонов.
Использована следующая схема исследования: 1) расчет сечений рождения очарованных частиц в hA-соударениях в рамках обновленной версии модели кварк-глюонных струн [6, 7], параметры которой были изменены [8] с учетом данных экспериментов при высоких энергиях; 2) расчет дифференциальных спектров атмосферных лептонов для отдельных зенитных углов; 3) расчет зенитно-углового усиления как функции энергии для (π, Κ)-компоненты (спектральное зенитно-угловое распределение); 4) расчет основных характеристик атмосферных (D, Λс)-лептонов, в том числе вычисление кросс-энергии, вблизи которой поток (D, Λс)-нейтрино становится сравнимым по величине с потоком (π, K)-нейтрино (кросс-энергия).
СПЕКТРЫ АТМОСФЕРНЫХ ЛЕПТОНОВ OТ (π, K)-РАСПАДОВ
В работе используется расчет потоков атмосферных мюонов и мюонных нейтрино от (π, K)-распадов [9—17], выполненный на основе оригинального метода решения уравнений атмосферного адронного каскада при высоких энергиях (метод Z(E, h)-функций) [9—12] для модели hA-взаимодействий QGSJET-II-03 [18—20] и модели Кимеля—Мохова (КМ) [21, 22] с использованием параметризации спектра космических лучей H3a [23].
Предсказания потока (π, K)-нейтрино для КМ и QGSJET-II-03 оказались [16, 17] близкими и хорошо согласующимися с экспериментальными данными, в том числе и с недавними измерениями ANTARES [4] и IceCube [24, 25].
ХАРАКТЕРИСТИКИ СПЕКТРА АТМОСФЕРНЫХ (D, Λс)-ЛЕПТОНОВ
Лептоны от распадов очарованных частиц рассчитаны в рамках того же метода Z(E, h)-функций, что и (π, Κ)-компонента. Все представленные в работе результаты получены для спектра КЛ Хилласа—Гайссера H3a.
Расчет сечений рождения очарованных частиц был выполнен в рамках модели кварк-глюонных струн (МКГС или QGSM) [6, 7]. МКГС — непертурбативный подход, описывающий мягкие адронные процессы. Для расчета сечений рождения чарма существенную роль играет интерсепт сс-траектории Редже αψ (0) . Экспериментальные данные о рождении очарованных частиц последних лет указывают на предпочтительность линейной сс-траектории Редже с αψ (0) = –2.2, которая учитывает эффекты за рамками теории возмущений (ТВ). Нелинейную траекторию Редже и интерсепт αψ (0) = 0 получают из расчетов в рамках ТВ КХД, однако надежность расчетов в первых порядках ТВ для сравнительно небольших передач энергии невысока. Неопределенность интерсепта влияет на потоки (D, Λс)-нейтрино: расчет с αψ (0) = –2.2 в 2 раза меньше потока для αψ (0) = 0 (ширина полосы на рис. 1а).
Рис. 1. Дифференциальные спектры атмосферных лептонов вблизи вертикали: широкая полоса (а) — спектр мюонных (D, Λс)-нейтрино в модели QGSM + H3a; линии вдоль полосы — результаты расчетов co спектром H3a других моделей рождения очарованных частиц; две кривые, пересекающие широкую полосу, — спектры (π, Κ)-нейтрино для моделей КМ и QGSJET II-03; узкие полосы — (D, Λс)-нейтрино (б) и мюоны (в), пересекающие линии (π, Κ)-лептонов. Спектры (π, Κ)-лептонов рассчитаны для двух моделей адрон-ядерных взаимодействий — КМ + H3a (сплошная линия) и QGSJET II-03 + H3a (штриховая линия)
Параметр МКГС а1 обеспечивает различие между лидирующей и нелидирующей фрагментацией (усиливает фрагментацию валентных кварков). Нет ясных аргументов для выбора значения и этого параметра, и разные авторы используют различные значения, среди которых выделяются два крайних: a1 = 30 [6] и a1 = 2 [26]. Неопределенность, вносимая в потоки (D, Λс)-лептонов параметром а1, составляет ~10—20% (узкая полоса на рис. 1б и 1в).
Дифференциальный спектр (D, Λс)-нейтрино для модели QGSM показан на рис. 1а (широкая полоса) вместе со спектрами (π, K)-нейтрино. Здесь же представлены спектры, рассчитанные другими авторами в рамках иных моделей рождения чарма: SIBYLL 2.3c [27], BEJKRSS [28], GRRST [29], PROSA [30, 31]. На рис. 1б и 1в показано сравнение вертикальных спектров (D, Λс)-лептонов в QGSM (узкая полоса) со спектрами (π,Κ)-лептонов. Кросс-энергия является полезной, но не единственной меткой, позволяющей на эксперименте обнаружить превышение сигнала над ожидаемым от атмосферных (π, K)-нейтрино. Кросс-энергия нейтрино с учетом полосы неопределенности: 550—675 ТэВ (QGSJET II-03) и 0.95—1.15 ПэВ (КМ). Для мюонов — 2.5—3.5 ПэВ (QGSJET II-03) и 6—8 ПэВ (КМ).
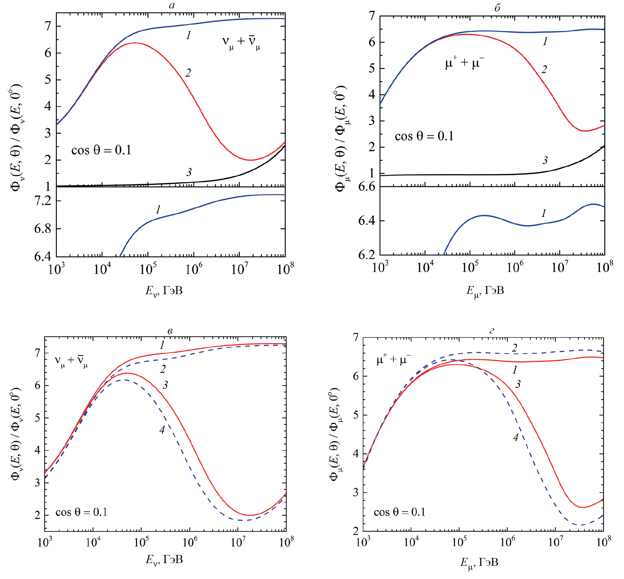
На рис. 2 представлено отношение дифференциальных спектров лептонов для двух крайних значений зенитного угла — вблизи горизонтали и вертикали. Это спектральное зенитно-угловое усиление (анизотропия потока атмосферных лептонов), которое можно вычислить для любого угла. Отдельно показаны усиления (D, Λс)-лептонов и (π, Κ)-компоненты, а также их суммарного спектра (КМ + QGSM, QGSJET II-03 + QGSM). Анизотропия потоков (D, Λс)-лептонов вычислена для параметров αΨ(0) = –2.2 и a1 = 2.
Рис. 2. Спектральное зенитно-угловое усиление дифференциальных потоков атмосферных нейтрино (а) и мюонов (б), рассчитанное для зенитного угла θ ≈ 84.26°: 1 — (π, K)-лептоны (КМ); 2 — суммарный спектр КМ + QGSM; 3 — (D, Λс)-лептоны (QGSM); панели внизу (а, б) — (π, K)-лептоны с лучшим разрешением, на которых видна немонотонность анизотропии, отражающая последовательное “включение” и насыщение доминирующих источников — от вкладов двухчастичных распадов заряженных пионов и каонов, к трехчастичным полулептонным распадам заряженных и нейтральных каонов. Это приводит к широкому распределению с “горбами”; 2-й горб (мюоны) как раз отвечает редкому Гi/Г ≃ 4 × 10–4) полулептонному распаду короткоживущего нейтрального каона KS (время жизни 0.9 × 10–10 с). Влияние модели адронного каскада на спектральное зенитно-угловое усиление потоков атмосферных нейтрино (в) и мюонов (г): 1 — (π, K)-лептоны для модели КМ; 2 — (π, K)-лептоны для модели QGSJET II-03; 3 — суммарный спектр КМ + QGSM; 4 — то же, что и 3, но для модели QGSJET II-03 + QGSM
Влияние модели адронного каскада на анизотропию потоков атмосферных лептонов показано на рис. 2в и 2г. Различие усиления (π, Κ)-нейтрино (и мюонов) для моделей КМ и QGSJET II-03 не превышает 5%, тогда как (π, Κ)-потоки для этих моделей отличаются до ~ 50% (см. рис. 1б и 1в).
ЗАКЛЮЧЕНИЕ
Таким образом, выполнен новый расчет и новый анализ (D, Λс)-компоненты атмосферных лептонов. Найдены интервалы энергий, в которых (D, Λс)-нейтрино и мюоны дают вклад в потоки, сопоставимый с вкладом (π, K)-нейтрино и мюонов.
Новый анализ позволил увидеть интересное поведение анизотропии потока нейтрино с ростом энергии. В области энергий, на порядок меньших кросс-энергии дифференциальных спектров, кривая анизотропии потока нейтрино заметно деформируется вкладом дополнительного источника —нейтрино от распадов очарованных адронов. При отсутствии явных экспериментальных доказательств существования (D, Λс)-компоненты появление максимума анизотропии атмосферных нейтрино в измерениях будет фактом, свидетельствующим об экспериментальном обнаружении атмосферных (D, Λс)-нейтрино. Резко изменяющаяся с ростом энергии анизотропия на фоне ожидавшегося для (π, Κ)-компоненты — фактор, который при достаточной точности экспериментальных измерений спектра и углового распределения атмосферных нейтрино может быть использован для обработки данных нейтринных экспериментов.
Работа выполнена на УНУ “Астрофизический комплекс МГУ—ИГУ”, поддержана Минобрнауки России (соглашение EB-075-15-2021-675, гос. задание FZZE-2022-0001, FZZE-2020-0017, FZZE-2020-0024).
About the authors
M. N. Sorokovikov
Joint Institute for Nuclear Research
Author for correspondence.
Email: sorokovikov@jinr.ru
Russian Federation, Dubna
A. D. Morozova
Joint Institute for Nuclear Research; Irkutsk State University
Email: sorokovikov@jinr.ru
Russian Federation, Dubna; Irkutsk
T. S. Sinegovskaya
Irkutsk State Transport University
Email: sorokovikov@jinr.ru
Russian Federation, Irkutsk
S. I. Sinegovsky
Joint Institute for Nuclear Research; Irkutsk State University
Email: sorokovikov@jinr.ru
Russian Federation, Dubna; Irkutsk
References
- Аврорин А.В., Аврорин А.Д., Айнутдинов В.М. и др. (Коллаборация Baikal-GVD) // ЖЭТФ. 2022. Т. 161. № 4. С. 476; Avrorin A.V., Avrorin A.D., Aynutdinov V.M. et al. (Baikal-GVD Collaboration) // JETP. 2022. V. 134. No. 4. P. 399.
- Аврорин А.В., Аврорин А.Д., Айнутдинов В.М. и др. (Коллаборация Baikal-GVD) // Изв. РАН. Сер. физ. 2019. Т. 83. № 8. С. 1016; Avrorin A.D., Avrorin A.V., Aynutdinov V.M. et al. (Baikal-GVD Collaboration) // Bull. Russ. Acad. Sci. Phys. 2019. V. 83. No. 8. P. 921.
- Abbasi R., Ackermann M., Adams J. et al. (IceCube Collaboration) // Astrophys. J. 2022. V. 928. No. 1. Art. No. 50.
- Albert A., Alves S., Andre M. et al. (ANTARES Collaboration) // Phys. Lett. B. 2021. V. 816. Art. No. 136228.
- Ageron M., Aiello S., Ameli F. et al. (KM3NeT Collaboration) // Eur. Phys. J. C. 2020. V. 80. No. 2. Art. No. 99.
- Кайдалов А.Б., Пискунова О.И. // Ядерн. физика. 1986. Т. 43. С. 1545.
- Кайдалов А.Б. // Ядерн. физика. 2023. Т. 66. № 11. С. 2044; Kaidalov A.B. // Phys. Atom. Nucl. 2003. V. 66. No. 11. P. 1994.
- Sinegovsky S.I., Sorokovikov M. N. // Eur. Phys. J. C. 2020. V. 80. Art. No. 34.
- Kochanov A.A., Sinegovskaya T.S., Sinegovsky S.I. // Astropart. Phys. 2008. V. 30. P. 219.
- Sinegovskaya T.S., Morozova A.D., Sinegovsky S.I. // Phys. Rev. D. 2015. V. 91. Art. No. 063011.
- Sinegovsky S.I., Kochanov A.A., Sinegovskaya T.S. et al. // Int. J. Mod. Phys. A. 2010. V. 25. P. 3733.
- Кочанов А.А., Синеговская Т.С., Синеговский С.И. // ЖЭТФ. 2013. Т. 143. С. 459; Kochanov A.A., Sinegovskaya T.S., Sinegovsky S.I. // JETP. 2013. V. 116. P. 395.
- Морозова А.Д., Кочанов А.А., Синеговская Т.С. и др. // Изв. РАН. Сер. физ. 2017. Т. 81. № 4. С. 555; Morozova A.D, Kochanov A.A., Sinegovskaya T.S. et al. // Bull. Russ. Acad. Sci. Phys. 2017. V. 81. No. 4. P. 516.
- Кочанов А.А., Морозова А.Д., Синеговская Т.С. и др. // Изв. РАН. Сер. физ. 2019. Т. 83. № 8. С. 1030; Kochanov A.A., Morozova A.D., Sinegovskaya T.S. et al. // Bull. Russ. Acad. Sci. Phys. 2019. V. 83. No. 8. P. 933.
- Kochanov A.A., Morozova A.D., Sinegovskaya T.S. et al. // J. Phys. Conf. Ser. 2019. V. 1181. Art. No. 012054.
- Кочанов А.А., Морозова А.Д., Синеговская Т.С. и др. // Изв. РАН. Cер. физ. 2021. Т. 85. № 4. С. 570; Kochanov A.A., Morozova A.D., Sinegovskaya T.S. et al. // Bull. Russ. Acad. Sci. Phys. 2021. V. 85. No. 4. P. 433.
- Kochanov A.A., Morozova A.D., Sinegovskaya T.S. et al. // arXiv: 2109.13000. 2021.
- Калмыков Н.Н., Остапченко С.С., Павлов А.И. // Изв. РАН. Сер. физ. 1994. Т. 58. № 12. С. 21; Kalmykov N.N., Ostapchenko S.S., Pavlov A.I. // Bull. Russ. Acad. Sci. Phys. 1994. V. 8. P. 1966.
- Kalmykov N.N., Ostapchenko S.S., Pavlov A.I. // Nucl. Phys. B. (Proc. Suppl.) 1997. V. 52. P. 17.
- Ostapchenko S. // Nucl. Phys. B. (Proc. Suppl.). 2008. V. 175—176. P. 73.
- Кимель Л.Р., Мохов Н.В. // Изв. вузов. Физ. 1974. Т. 17. № 10. С. 17.
- Калиновский А.Н., Мохов Н.В., Никитин Ю.П. Прохождение частиц высоких энергий через вещество. М.: Энергоатомиздат, 1985. 248 с.
- Gaisser T.K. // Astropart. Phys. 2012. V. 35. P. 801.
- Aartsen M.G., Ackermann M., Adams J. et al. (IceCube Collaboration) // Eur. Phys. J. C. 2015. V. 75. Art. No. 116.
- Aartsen M.G., Ackermann M., Adams J. et al. (IceCube Collaboration) // Eur. Phys. J. C. 2017. V. 77. Art. No. 692.
- Аракелян Г.Г. // Ядерн. физика. 1998. Т. 61. С. 1682; Arakelyan G. H. // Phys. Atom. Nucl. 1998. V. 61. No. 9. P. 1570.
- Fedynitch A., Riehn F., Engel R. et al. // Phys. Rev. D. 2019. V. 100. Art. No. 103018.
- Bhattacharya A., Enberg R., Jeong Y.S. et al. // JHEP. 2016. V. 2016. No. 11. Art. No. 167.
- Gauld R., Rojo J., Rottoli L. et al. // JHEP. 2016. V. 2016. No. 2. Art. No. 130.
- Zenaiev O., Garzelli M.V., Lipka K. et al. (PROSA Collaboration) // JHEP. 2020. V. 2020. No. 4. Art. No. 118.
- Garzelli M.V., Moch S., Zenaiev O. et al. (PROSA Collaboration) // JHEP. 2017. V. 2017. No. 5. Art. No. 4.
Supplementary files




