Simulation of atomic motion by random shift of transition frequencies in the method of coupled dipoles
- Authors: Ammosov A.P.1, Voloshin G.V.1, Fofanov Y.A.2, Sokolov I.M.1,2
-
Affiliations:
- Peter the Great Saint Petersburg Polytechnic University
- Institute for Analytical Instrumentation of the Russian Academy of Sciences
- Issue: Vol 88, No 6 (2024)
- Pages: 862-868
- Section: Quantum Optics and Coherent Spectroscopy
- URL: https://medbiosci.ru/0367-6765/article/view/276160
- DOI: https://doi.org/10.31857/S0367676524060031
- EDN: https://elibrary.ru/PHLURB
- ID: 276160
Cite item
Full Text
Abstract
We study the influence of atomic motion on the optical properties of atomic ensembles cooled in special laser traps. We analyze the possibility to simulate the continuous displacement of atoms within the framework of motionless coupled dipoles method, in which slow motion is modeled, firstly, by averaging over their random spatial distribution, and, secondly, by introducing a random shift of their frequencies, simulating Doppler effects. A direct comparison of the results obtained for moving atoms with the model ones revealed a very limited range of applicability of the latter.
Full Text
ВВЕДЕНИЕ
Уникальные физические свойства атомных ансамблей, охлажденных до низких и сверхнизких температур в специальных лазерных ловушках, обуславливают то огромное внимание, которое они привлекают при решении широкого круга задач квантовой информатики, квантовой метрологии, стандартизации частоты и т. п. [1—3]. При этом практически все предложенные схемы применения таких ансамблей, а также большинство методов диагностики основаны на их взаимодействии с электромагнитным излучением, что делает адекватное теоретическое описание этого взаимодействия весьма актуальным.
Сложность построения соответствующих теорий связана с пространственной неупорядоченностью и большой оптической толщиной газовых ансамблей в большинстве используемых ловушек. Еще одной их особенностью является возможность интерференционных эффектов при многократном рассеянии света внутри таких ансамблей (см. обзоры [4—7] и ссылки там).
Способы учета этих факторов существенно различаются в зависимости от плотности атомов. Для разреженных ансамблей, охлаждаемых, например, в магнитооптических ловушках (МОЛ), для которых среднее расстояние между атомами существенно превышает длину световой волны, наиболее эффективным является так называемый метод случайных блужданий (СБ) [7, 8]. Надежно теоретически он может быть обоснован при использовании диаграммной техники для неравновесных систем [6]. Этот метод позволяет учесть большое число реальных факторов, влияющих на взаимодействие атомов со светом. Сюда относятся большая оптическая толщина, пространственная неоднородность и неупорядоченность ансамбля, движение атомов, возможная оптическая анизотропия, поляризация света и т. п. При использовании этого метода возникают некоторые технические сложности при учете интерференционных явлений, однако они не носят принципиального характера и требуют лишь более трудоемких в вычислительном плане расчетов. Помимо технических, у метода случайных блужданий есть и принципиальные ограничения. Он применим только тогда, когда атомы находятся в волновых зонах друг друга. Это не позволяет учесть, например, рекуррентное рассеяние, когда один фотон при случайных блужданиях несколько раз рассеивается на одном и том же атоме.
Рекуррентное рассеяние для разреженных сред в большинстве ситуаций не играет заметной роли. Однако для плотных ансамблей, в которых вероятность такого рассеяния велика, этот недостаток метода СБ является существенным. Здесь свою эффективность показал метод связанных осцилляторов (СО). В рамках этого подхода атомный ансамбль рассматривается, по существу, как гигантская квазимолекула, в которой все атомы связаны друг с другом посредством диполь-дипольного взаимодействия.
Техническая сложность такого описания приводит к тому, что уже при исследовании мезоскопических систем задачу упрощают, используя простые “правдоподобные” модели. Одной из них является модель неподвижных атомов. Обычно считается, что, если характерные доплеровские сдвиги частоты меньше естественной ширины атомных переходов, то влияние движения несущественно и им можно пренебречь. Смещение атомов, обусловленное низкой, но конечной скоростью, учитывают усреднением наблюдаемых по случайному пространственному распределению неподвижных рассеивателей. В более точных подходах помимо изменения пространственной конфигурации пытаются также учесть доплеровские сдвиги частот, которые ослабляют эффективность обмена фотонами между атомами. Это обстоятельство учитывают введением для неподвижных атомов случайного сдвига уровней, разного для разных атомов [9, 10].
Основной целью настоящей работы является детальный анализ этого подхода. Мы рассматриваем несколько наиболее интересных эффектов, проявляющихся в холодных газах — коллективный лэмбовский сдвиг, однофотонное субизлучение, диффузионное пленение и сильную локализацию света. Для каждого эффекта мы проводим два расчета — один на основе метода связанных осцилляторов с учетом непрерывного смещения атомов в процессе эволюции ансамбля, второй — тем же методом, но моделируя движение случайными сдвигами частот атомных переходов и усреднением по пространственным конфигурациям. Мы покажем, что упрощенный подход не учитывает ряда существенных факторов, которые имеют место как для разреженных, так и для плотных атомных ансамблей, что может приводить не только к количественным ошибкам, но и к качественно неверным результатам.
ОСНОВЫ ТЕОРЕТИЧЕСКОГО ПОДХОДА
В основе нашего теоретического подхода лежит метод связанных осцилляторов. Впервые он был предложен в работе Фолди [11], а затем подробно обсужден Лаксом [12]. Позже аналогичный подход был использован для анализа различных типов коллективных эффектов, таких как многократное и рекуррентное рассеяние, коллективный лэмбовский сдвиг и коллективный спонтанный распад, сильная (андерсоновская) локализация света и субизлучение [13—25]. Сейчас имеется несколько близких вариантов этого метода. Мы будем использовать вариант модели связанных осцилляторов, сформулированный в рамках последовательного квантового подхода, описанного в работе [25]. Опуская подробности, отметим лишь основные его особенности.
Используемый вариант основан на решении нестационарного уравнения Шредингера для волновой функции ψ, описывающей состояние замкнутой системы, состоящей из всех атомов и электромагнитного излучения, включая вакуумный термостат при нулевой температуре. Функцию ψ этой системы ищем в виде разложения по собственным функциям гамильтониана невзаимодействующих атомов и света. Рассматривая случай слабого возбуждения и ограничиваясь коллективными состояниями, содержащими не более одного фотона, для амплитуд be однократно возбужденных состояний ψe = |g, g,...e, g,...g> олучаем следующую конечную систему связанных уравнений:
. (1)
Здесь индекс «e» показывает номер атома, возбужденного в состоянии ψe а также тот конкретный зеемановский подуровень, который заселен в этом состоянии.
Первое слагаемое в правой части (1) описывает свободную эволюцию независимых атомов. Второе — влияние внешнего возбуждающего лазерного излучения. Частота Раби этого излучения в точке расположения атома e равна Ωe. Отстройка поля δe может быть различна для различных переходов g ↔ e. Такое различие имеет место при наличии, например, внешнего статического электрического или магнитного поля. Его же мы будем вводить для имитации доплеровских эффектов в приближении неподвижных атомов.
Последнее слагаемое в уравнении (1) учитывает резонансное диполь-дипольное взаимодействие атомов, обусловливающее многоатомные коллективные эффекты, имеющие место в исследуемом ансамбле. Матрица Vee имеет следующий вид:
(2)
Здесь учтено, что в состояниях e и e′ возбуждены соответственно атомы i и j; — матричный элемент оператора дипольного момента для перехода g → e, и — волновое число, соответствующее частоте ω0 этого перехода, c — скорость света в вакууме. Индексы µ или ν обозначают проекции на оси выбранной системы координат.
Размер системы уравнений (1) зависит от структуры энергетических уровней атомов. В данной работе мы рассмотрим V-схему атомных состояний, позволяющую учесть поляризационные эффекты. Основное состояние характеризуется угловым моментом Jg = 0, а возбужденное — Je = 1. При этом возбужденное состояние содержит три зеемановских подуровня, различающихся проекцией углового момента на ось квантования z — m = –1; 0; 1. Времена жизни этих состояний одинаковы и равны τat = 1 / γ.
Даже при такой простой схеме уровней система (1) содержит 3N уравнений, где N — число атомов в рассматриваемом ансамбле. По этой причине ее обычно упрощают. Одним из часто используемых упрощений является использование модели неподвижных атомов. При этом система (1) решается численно для различных случайных пространственных конфигураций неподвижных атомов, а доплеровские сдвиги частоты моделируются введением отстроек δe, распределенных по гауссову закону и разных для разных атомов.
В настоящей работе, наряду с модельным расчетом, мы будем проводить расчеты, считая атомы движущимися. Мы будем рассматривать диапазон температур типичный для магнитооптических и дипольных ловушек — 30—100 мкK. Некоторые расчеты мы проведем для более нагретых ансамблей. При таких температурах импульс атомов значительно больше импульса фотона, что позволяет нам не учитывать изменение скорости, обусловленное отдачей, а также рассматривать движение атомов классическим. Их смещение с течением времени будем задавать явной зависимостью . Распределение атомов в начальный момент времени считаем случайным, но, для простоты, в среднем однородным. Скорости атомов в этот момент времени также считаем случайными величинами. Их проекции предполагаем распределенными по нормальному закону
. (3)
Наиболее вероятная скорость v0 определяется температурой ансамбля T и массой M атомов: , kБ – постоянная Больцмана. Эта скорость и волновое число k0 задают доплеровское уширение спектральных линий.
Форма рассматриваемого ансамбля не является существенной для рассматриваемых в этой работе вопросов. Поэтому для простоты будем считать, что атомы движутся внутри объема, имеющего форму прямоугольного параллелепипеда. Толщина его вдоль луча возбуждения — L. В поперечном сечении это квадрат со стороной Lt. Для того, чтобы не учитывать возможного ухода атомов из этого объема и связанного с этим изменения концентрации, будем полагать, что на границах объема имеются некоторые воображаемые поверхности, на которых атомы испытывают упругие столкновения.
Систему (1) при сделанных предположениях мы решаем численно, что позволяет нам найти амплитуды be(t). На основе вычисленных значений be(t) мы можем найти амплитуды всех других состояний, которые определяют волновую функцию ψ объединенной системы атом–поле (подробнее см. [25]) и, следовательно, свойства как атомного ансамбля, так и рассеянного света. Этот расчет позволяет нам выявить влияние медленного движения на наблюдаемые свойства холодных атомных ансамблей, а сравнение полученных результатов с результатами модельного расчета позволяет определить область применимости последнего. В следующем разделе на основе описанных подходов мы проведем анализ некоторых коллективных эффектов, часть из которых имеет место только в плотных, а часть — как в плотных, так и в разреженных ансамблях.
РЕЗУЛЬТАТЫ
Первой характеристикой холодных атомных ансамблей, расчет которой мы проведем, будет спектральная зависимость коэффициента поглощения когерентного излучения. Это позволит нам определить такую важную величину, как коллективный лэмбовский сдвиг ΔL, обусловленный межатомным диполь-дипольным взаимодействием.
Коэффициент поглощения можно рассчитать разными способами. Можно проанализировать пространственную зависимость усредненной атомной поляризации, наводимой монохроматическим излучением [26], которая для однородного в среднем ансамбля будет совпадать с законом убывания амплитуды когерентной составляющей света. Можно также непосредственно исследовать характер поглощения, рассчитывая оптическую толщину ансамбля [27]. Мы провели серию пробных расчетов обоими способами и получили совпадение результатов.
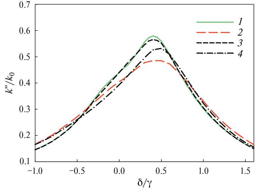
На рис. 1 показана спектральная зависимость мнимой части волнового числа света в среде k''(ω). Коэффициент поглощения нормирован на величину волнового числа резонансного излучения в вакууме k0. Расчет проведен для ансамблей с атомной плотностью . Кривые 1 и 2 получены в модельном расчете, 3 и 4 — при явном учете движения атомов. Двум парам кривых — 1 и 3, и 2 и 4 — соответствуют две температуры ансамбля. Поскольку характер влияния движения определяется соотношением доплеровского и естественного уширения, вместо температур ансамбля на графиках мы будем указывать величину характерного доплеровского сдвига k0v0. Так, кривые 1 и 3 получены для k0v0 = 0.1γ, кривые 2 и 4 — для k0v0 = 0.5γ.
Рис. 1. Сравнение спектров возбуждения атомов в ансамбле, получаемых при моделировании движения доплеровскими сдвигами (кривые 1 и 2) и явном учете смещения атомов с течением времени (кривые 3 и 4), . Кривые 1 и 3 соответствуют k0v0 = 0.1γ, кривые 2 и 4 — k0v0 = 0.5γ
Сравнивая кривые 1 и 3, можно сделать вывод, что моделирование движения случайными сдвигами хорошо воспроизводит спектральную зависимость поглощения для малых скоростей даже в случае больших плотностей, когда коллективные лэмбовские сдвиги соизмеримы с шириной линии атомного перехода. В рассматриваемом случае ΔL = 0.4γ.
При увеличении температуры (кривые 2 и 4) расхождение увеличивается, особенно в области максимума. При том, что форма спектральной кривой и ее сдвиг качественно описываются достаточно хорошо, имеется заметное количественное различие.
Наши расчеты для других плотностей, результаты которых мы здесь не приводим, показали, что по мере уменьшения концентрации атомов диапазон скоростей, для которых моделирование количественно хорошо воспроизводит спектр, расширяется. При плотностях и температурах, характерных для МОЛ, различие лежало в пределах ошибок численного расчета. Таким образом, модель неподвижных атомов со сдвинутыми частотами достаточно хорошо описывает стационарную восприимчивость ансамблей с низкой плотностью и/или при невысоких температурах.
Ситуация меняется при рассмотрении нестационарных процессов, например, при исследовании динамики флуоресценции атомных ансамблей после окончания импульсного возбуждения. Здесь погрешности модельных расчетов проявляются уже для разреженных сред при низких температурах, когда доплеровское уширение в десятки раз меньше естественного. Проблемы использования простой модели при описании нестационарных процессов иллюстрируется рис. 2.
Рис. 2. Динамика мгновенного времени задержки флуоресценции для ансамбля атомов при k0v0 = 0.05, рассчитанная при моделировании движения доплеровскими сдвигами (1) и учете смещения атомов с течением времени (2). Для сравнения показана кривая 3, соответствующая неподвижным атомам
На этом рисунке показана динамика мгновенного времени пленения света τ = τ(t) после возбуждения его резонансным излучением. Величина τ(t) определяется как τ(t) = Г(t)–1, где Г(t) — мгновенная скорость затухания полной интенсивности излучения I(t): .
Расчет проведен для неупорядоченного разреженного ансамбля со средней плотностью атомов . Возбуждение осуществляется импульсом прямоугольной формы, длительность которого Tp = 50γ–1.
Вычисление полной интенсивности, излучаемой по всем направлениям и во всех поляризационных каналах, мы провели, учитывая, что полная излучаемая энергия за некоторый интервал времени равна уменьшению энергии атомной подсистемы. Последняя определяется полной заселенностью всех возбужденных атомных состояний .
Рисунок 2 демонстрирует различия в предсказаниях двух расчетов как на этапе диффузионного пленения (практически горизонтальный участок γt < 80), так и на этапе, на котором задержка флуоресценции определяется вкладом двухатомных кластеров, случайно образующихся в неупорядоченной среде [22]. Этому этапу соответствует область времен γt > 80.
На этапе диффузионного пленения модельный расчет заметно завышает время пленения. Он предсказывает характерные времена τd, практически совпадающие с теми, что наблюдаются для неподвижных атомов (кривая 3). Причиной является неучет для неподвижных атомов дрейфа частоты фотонов при многократном рассеянии в оптически плотной среде. При рассеянии на движущемся атоме фотон испытывает случайный сдвиг частоты порядка k0v0. За счет этого появляется некоторое число нерезонансных фотонов, для которых длина свободного пробега больше, а время пленения меньше, чем резонансных. В случае неподвижных атомов сдвигов частоты при рассеянии не происходит.
Роль дрейфа частоты усиливается при нагревании, что хорошо иллюстрируется рис. 3. На нем показана зависимость диффузионного времени пленения от наиболее вероятной скорости (температуры) для атомного облака размером k0L = 60 и содержащего N = 1080 атомов. Параметр вычислен для момента времени после окончания импульса возбуждения. Кривая 1 рассчитана для движущихся атомов, кривая 2 — результат модельного расчета. Для k0v0 = 0.5γ времена пленения различаются почти в полтора раза.
Рис. 3. Сравнение диффузионного времени пленения τd, рассчитанного методом связанных осцилляторов с учетом непрерывного смещения атомов (1) и тем же методом, но моделируя движения сдвигами частоты (2)
Более существенные различия наблюдаются на этапе субизлучения кластеров. Здесь отличие скоростей субизлучения в полтора раза имеет место при температурах МОЛ. Кривые 1 и 2 на рис. 2 получены для k0v0 = 0.5γ.
Усиление различий связано с тем, что в области малых межатомных расстояний существенную роль начинает играть еще один механизм влияния движения, который не учитывается в модели неподвижных рассеивателей со сдвинутыми частотами.
При изменении расстояния между атомами в кластере происходит изменение спектра его энергетических состояний — их энергий и времен жизни. Скорость этого изменения определяется скоростью атомов. При этом для движущихся атомов помимо адиабатических изменений, когда квазимолекула не меняет своего состояния, возможны переходы между разными подуровнями.
Наиболее сильно этот механизм проявляется для плотных сред, в которых есть аномально долгоживущие состояния и возможен эффект сильной локализации света. Это имеет место, например, в холодных плотных ансамблях, помещенных в магнитное поле [24]. Для таких ситуаций применение модели неподвижных атомов приводит к качественно неверным результатам.
На рис. 4 показана зависимость усредненного коэффициента полного пропускания атомного ансамбля Tr от его толщины k0L при различных температурах. Расчет проведен для k0Lt = 50. Плотность атомов . Величина зеемановского расщепления, вызванного внешним постоянным магнитным полем Δ = 100γ. Отстройка частоты излучения от частоты перехода в свободном атоме δ равна 0.5γ. Для удобства интерпретации результатов приведен коэффициент пропускания, умноженный на толщину ансамбля k0LTr. Пары кривых 1 и 2, 3 и 4, 5 и 6 получены для k0v0 = 0.01γ, k0v0 = 0.025γ и k0v0 = 0.05γ соответственно.
Рис. 4. Зависимость усредненного коэффициента пропускания атомного ансамбля Tr от его толщины k0L при различных температурах. Для удобства приведен коэффициент пропускания, умноженный на толщину ансамбля k0LTr. Кривые 1, 3, 5 рассчитаны с учетом непрерывного смещения атомов, 2, 4, 6 — моделирование движения случайными сдвигами частот переходов неподвижных атомов. Пары кривых 1 и 2, 3 и 4, 5 и 6 получены для k0v0 = 0.1γ, k0v0 = 0.025γ и k0v0 = 0.05γ соответственно
Кривые 1, 3 и 5 рассчитаны с учетом непрерывного смещения атомов, 2, 4, 6 — моделирование движения случайными сдвигами частот переходов неподвижных атомов. Хорошо видно качественное расхождение описываемых этими кривыми результатов. Кривые 2, 4 и 6 демонстрируют убывание, близкое к экспоненциальному. Это означает наличие локализации. Но точный расчет (кривые 1, 3, 5) это не подтверждает. Движение атомов при рассматриваемых температурах разрушает эффект локализации.
Причина в том, что наряду с неадиабатическими переходами, для долгоживущих состояний, существование которых и обуславливает локализацию, равновесная заселенность не успевает устанавливаться из-за смещения атомов. Это смещение вызывает непрерывные переходные процессы, которых нет для неподвижных атомов. Таким образом среднее по времени для движущихся атомов оказывается не равно среднему по ансамблю неподвижных.
ЗАКЛЮЧЕНИЕ
Исследована возможность упростить учет движения атомов в методе связанных осцилляторов. На примере анализа коллективного лэмбовского сдвига, субизлучения, сильной локализации света проведено прямое сравнение результатов, полученных с учетом непрерывного смещения атомов, с результатами предсказываемыми моделью рассеивателей, в которой медленное движение моделируется, во-первых, посредством усреднения по их случайному пространственному распределению, а во-вторых, введением случайного сдвига их частот, имитирующих доплеровские эффекты. Сравнение выявило весьма ограниченную область применимости модельного подхода.
Анализ показал, что причиной этого является ряд эффектов, которые не учитываются в используемой модели. Во-первых, это дрейф частоты света при многократном рассеянии, что модифицирует спектр вторичного излучения. Вторая причина — нестационарные процессы установления равновесия, вызванные смещением атомов. Наконец, движение может вызывать неадиабатические переходы между различными коллективными состояниями.
Проведение исследований поддержано грантом #21-1-1-36-1 Фонда развития теоретической физики и математики БАЗИС. Исследование спектра фотовозбуждения проведено при финансовой поддержке Российского научного фонда (проект № 21-72-10004). Результаты получены с использованием вычислительных ресурсов суперкомпьютерного центра Санкт-Петербургского политехнического университета Петра Великого (http://www.spbstu.ru).
About the authors
A. P. Ammosov
Peter the Great Saint Petersburg Polytechnic University
Email: sokolov_im@spbstu.ru
Russian Federation, Saint Petersburg
G. V. Voloshin
Peter the Great Saint Petersburg Polytechnic University
Email: sokolov_im@spbstu.ru
Russian Federation, Saint Petersburg
Ya. A. Fofanov
Institute for Analytical Instrumentation of the Russian Academy of Sciences
Email: sokolov_im@spbstu.ru
Russian Federation, Saint Petersburg
I. M. Sokolov
Peter the Great Saint Petersburg Polytechnic University; Institute for Analytical Instrumentation of the Russian Academy of Sciences
Author for correspondence.
Email: sokolov_im@spbstu.ru
Russian Federation, Saint Petersburg; Saint Petersburg
References
- Hau L.V. // Nature Photonics. 2008. V. 2. P. 451.
- Bouwmeester D., Ekert A., Zeilinger A. The physics of quantum information. Berlin: Springer-Verlag, 2001.
- Bloom B.J., Nicholson T.L., Williams J.R. et al. // Nature. 2014. V. 506. P. 71.
- Labeyrie G. // Modern Phys. Lett. B. 2008 V. 22. P. 73.
- Müller C.A., Delande D. / in: Les Houches 2009—Session XCI: Ultracold Gases and Quantum Information. Oxford University Press, 2011. P. 441.
- Kupriyanov D.V., Sokolov I.M., Havey M.D. // Phys. Reports. 2017. V. 671. P. 1.
- Guerin W. // Adv. Atom. Mol. Opt. Physics. 2023. V. 72. P. 253.
- Sokolov I.M., Guerin W. // JOSA B. 2019. V. 36. P. 2030.
- Javanainen J., Ruostekoski J., Li Y., Yoo S.-M. // Phys. Rev. Lett. 2014. V. 112. Art. No. 113603.
- Jenkins S.D., Ruostekoski J., Jennewein S. et al. // Phys. Rev. A. 2016. V. 94. Art. No. 023842.
- Foldy L.L. // Phys. Rev. 1945. V. 67. P. 107.
- Lax M. // Rev. Mod. Phys. 1951. V. 23. P. 287.
- Pellegrino J., Bourgain R., Jennewein S. et al. // Phys. Rev. Lett. 2014. V. 113. Art. No. 133602.
- Bromley S.L., Zhu B., Bishof M. et al.// Nature Commun. 2016. V. 7. Art. No. 11039.
- Guerin W., Araujo M.O., Kaiser R. // Phys. Rev. Lett. 2016. V. 116. Art. No. 083601.
- Friedberg R., Manassah J.T. // Phys. Rev. A. 2011. V. 84. Art. No. 023839.
- Balik S., Win A.L., Havey M.D. et al. // Phys. Rev. A. 2013. V. 87. Art. No. 053817.
- Scully M.O. // Phys. Rev. Lett. 2015. V. 115. Art. No. 243602.
- Svidzinsky A.A., Li F., Li H. et al. // Phys. Rev. A. 2016. V. 93. Art. No. 043830.
- Курапцев А.С., Соколов И.М., Баранцев К.А. и др. // Изв. РАН. Сер. физ. 2019. Т. 83. № 3. С. 293; Kuraptsev A. S., Sokolov I. M., Barantsev K. A. et al. // Bull. Russ. Acad. Sci. Phys. 2019. V. 83. P. 242.
- Курапцев А.С., Баранцев К.А., Литвинов А.Н. и др. // Изв. РАН. Сер. физ. 2022. Т. 86. С. 787; Kuraptsev A.S., Barantsev K.F., Litvinov A.N. et аl. // Bull. Russ. Acad. Sci. Phys. 2022. V. 86. P. 661.
- Соколов И.М. // Письма в ЖЭТФ. 2023. Т. 117. № 7. С. 518; Sokolov I.M. // JETP Lett. 2023. V. 117. P. 517.
- Skipetrov S.E., Sokolov I.M. // Phys. Rev. Lett. 2014. V. 112. Art. No. 023905.
- Skipetrov S.E., Sokolov I.M. // Phys. Rev. Lett. 2015. V. 114. Art. No. 053902.
- Соколов И.М., Куприянов Д.В., Хэви М.Д. // ЖЭТФ. 2011. Т. 139. С. 288; Sokolov I.M., Kupriyanov D.V., Havey M.D. // JETP. 2011. V. 112. P. 246.
- Fofanov Ya.A., Kuraptsev A.S., Sokolov I.M., Havey M.D. // Phys. Rev. A. 2011. V. 84. Art. No. 053811.
- Chomaz L., Corman L., Yefsah T. et al. // New J. Phys. 2012. V. 14. Art. No. 055001.
Supplementary files






