Fluorescent research of antibiotic phototransformation in aqueous solution
- Authors: Bezlepkina N.P.1, Tchaikovskaya O.N.1,2, Bocharnikova E.N.1
-
Affiliations:
- National Research Tomsk State University
- Institute of Electrophysics of the Ural Branch of the Russian Academy of Sciences
- Issue: Vol 88, No 6 (2024)
- Pages: 952-959
- Section: Luminescence and Laser Physics
- URL: https://medbiosci.ru/0367-6765/article/view/276200
- DOI: https://doi.org/10.31857/S0367676524060178
- EDN: https://elibrary.ru/PFVPWO
- ID: 276200
Cite item
Full Text
Abstract
We presented a spectral-luminescent study of the sulfaguanidine phototransformation in aqueous solution under the action of ultraviolet lamp OUVb-04 (180—275 nm), KrCl (222 nm), XeBr (282 nm) and XeCl (308 nm) excilamps. An analysis of the conversion of sulfaguanidine in water shows that, under the action of XeBr excilamp radiation, the efficiency of sulfaguanidine phototransformation in water is comparable to the decrease upon excitation of OUVb-04, but higher than upon irradiation with KrCl or XeCl excilamps. The maximum loss for sulfaguanidine is 99 % without the introduction of additional oxidizing agents. After irradiation, several photoproducts of various nature were recorded.
Keywords
Full Text
ВВЕДЕНИЕ
В последние годы все большее внимание уделяется проблемам загрязнения окружающей среды различными лекарственными препаратами. В связи с этим ученые ищут и разрабатывают новые методы борьбы с такими загрязнениями. Неконтролируемое загрязнение окружающей среды антибиотиками способствует образованию патогенных микроорганизмов и микробов, у которых может появляться резистентность к антибиотикам. Некоторые из них образуют более устойчивую форму — биопленки. В работе [1] исследовалась бактерицидная активность различных типов наноматериалов и поверхностных наноструктур, полученных с помощью современных лазерных технологий. Было показано, что лазерно-нано/микро структурированные поверхности обладают бактерицидным действием в отношении патогенных бактерий, особенно эффективно это воздействие проявляется при непосредственном контакте микробов с поверхностью. Предложенный инновационный мобильный способ аппликационного лазерного переноса наночастиц серебра или меди на поверхность зрелых бактериальных биопленок патогенных микроорганизмов S. aureus и P. aeruginosa приводит к их практически полной гибели [1].
Известно, что биодеградация и фотодеградация являются одними из основных процессов, в результате которых происходит удаление загрязняющих веществ в природных водах. Относительно новыми являются методы, основанные на фотоокислительных процессах, и особенно большое внимание уделяется процессу разложения лекарственных препаратов и их остаточных количеств под действием ультрафиолетового (УФ) излучения для того, чтобы внедрить его в водоочистные системы. Например, аэробная грануляция и процессы УФ/H2O2 могут эффективно разлагать загрязнители, такие как сульфолан [2—4]. В другом исследовании изучалась деградация сульфаметоксазола под действием УФ-излучения и УФ-излучения в сочетании с H2O2 [5]. Ранее были проведены исследования фотолиза сульфаниламидных антибиотиков, таких как сульфаметазин и сульфадиазин с помощью УФ-облучения в водной среде [6—8]. В этих исследованиях изучено фотохимическое поведение антибиотиков и влияние растворенных веществ на их фотохимическое поведение. Было исследовано фотолитическое поведение сульфаметазина в чистой воде и установлено, что основным путем трансформации является разложение через триплетное возбужденное состояние сульфаметазина [6]. Фотохимическая деградация сульфадиазина была исследована под действием УФ и комбинации УФ/H2O2, и лучшие результаты фотодеградации сульфадиазина были достигнуты с использованием УФ-излучения с добавлением H2O2 в облучаемый раствор 100 мг·дм-3 [7]. Авторы [8] исследовали фотохимическое окисление сульфаметоксазола, сульфатиазола и сульфаметазина в их смешанном растворе с использованием комбинации УФ/H2O2 и обнаружили, что сульфаниламиды полностью разлагаются в данной системе.
В работе [9] исследовали фотохимическое поведение сульфагуанидина при облучении 254 и 302 нм в водных растворах в зависимости от рН. Данные исследования показали, что фотохимическое превращение может происходить в естественных условиях (рН < 7), но в искусственно созданной щелочной среде (pH > 10) фототрансформация более эффективна, так как при больших значениях pH значительно увеличивается константа скорости деградации сульфагуанидина [9]. Анализ высокоэффективной жидкостной хроматографии облученного раствора сульфагуанидина с конверсией 20 % показывает образование четырех первичных фотопродуктов под действием солнечного света [9]. Сульфаниловая кислота была образована в результате фотогидролиза, а гидроксильные продукты — в результате фотоокисления ароматического кольца и фоторасщепления SN-связи. Изучению спектрально-люминесцентных свойств водного раствора сульфагуанидина после воздействия импульсного электронного пучка посвящена работа [10]. Авторы сделали вывод, что сульфагуанидин подвергается плазмохимическому разложению и претерпевает значительную трансформацию после облучения электронным пучком. В настоящее время мало работ посвящено изучению фотохимического поведения сульфагуанидина в воде под действием УФ-излучения эксиламп, поэтому исследования в данной области становятся особенно актуальны. Эффект от воздействия УФ излучения на живой организм связан со стимуляцией и угнетением жизненных функций. Однако до сих пор остается открытым вопрос о физическом механизме воздействия УФ излучения на биологические объекты [11]. Действие УФ излучения обусловлено химическими изменениями поглощающих его молекул. За время облучения интенсивность флуоресценции, соответствующей целым молекулам, падает в несколько раз. Поскольку интенсивность эмиссий (в данном диапазоне концентраций) пропорциональна концентрации исследуемых объектов в растворе, то соответственно в несколько раз падает и концентрация этих молекул в растворе при облучении. Одновременно с уменьшением абсолютной концентрации исходного вещества увеличивается удельная концентрация фрагментов целых молекул, то есть наблюдается обогащение облучаемого раствора продуктами диссоциации при УФ облучении [12].
Многие лекарственные препараты плохо поддаются биологическому разложению. Прямой фотолиз может рассматриваться как потенциальный способ деградации [13] органических соединений в водных растворах [14], который может свести к минимуму концентрацию загрязняющих веществ в доступных для солнечного света частях окружающей среды, таких как поверхность воды или верхний слой почвы. Важно отметить, что фотолиз сульфагуанидина может зависеть от различных факторов, таких как тип растворителя, присутствие других веществ и длина волны источника излучения.
Цель работы: спектрально-люминесцентное исследование эффективности фототрансформации сульфагуанидина в воде под действием УФ излучения с разной длиной волны.
ОБЪЕКТ ИССЛЕДОВАНИЯ
Сульфагуанидин (4-Амино-N-(аминоиминометил)бензолсульфонамид) — противомикробное лекарственное средство бактериостатического действия, производное гуанидина и сульфаниламида, которое содержит несколько активных фрагментов (рис. 1), включая анилиновую, сульфоновую и гуанидиновую группы [15, 16]. Вещество относится к фармакологической группе сульфаниламидов и используется для лечения кишечных инфекций, включая бактериальную дизентерию, и предоперационной подготовки кишечника. Как и другие сульфаниламиды, обладает нефротоксичностью и рядом других серьезных побочных эффектов, в связи с чем в ряде стран препарат запрещен к применению. Химическая формула сульфагуанидина — C7H10N4O2S. Данные радиолиза сульфагуанидина [17] доказали, что в растворе обнаружены в различном соотношении сульфаниловая и фталиваевая кислоты, сульфацетамид, таламид, сульфаниламид (рис. 1), фенольные соединения и окрашенный продукт.
Рис. 1. Структурные формулы сульфагуанидина (а) и его предполагаемых продуктов трансформации: (б) сульфаниламид, (в) сульфаниловая кислота, (г) сульфацетамид, (д) фтaлевая кислотa, (е) фталилсульфацетамид (таламид), (ж) сульфасукцидин, (з) фотопродукт Р1, (и) фотопродукт Р2
Несмотря на большое сходство химической структуры, авторы отмечали, что эти ароматические соединения под действием УФ облучения при различных рН среды и растворителя идут по разным сложным путям фрагментации, что приводит к образованию различных продуктов [18—20]. Их результаты показали, что возможный фотопродукт, такой как алкиламин, может реагировать с о-фталевым альдегидом с образованием флуоресцентного производного изоиндола.
Расщепление сульфаниламидов происходит легче по связи S-N, чем по связи C-S [20]. В результате фотохимических реакций образуются амин, ArSO2 и свободные радикалы, которые могут вступать в бимолекулярные окислительно-восстановительные реакции с образованием RSO3 и R-S соединений. Авторы еще раз указали, что образование окрашенного («синего») продукта при фотолизе сульфагуанидина, а также других вторичных соединений происходит за счет именно сульфаниламида в качестве промежуточного продукта.
Сульфагуанидин представляет собой белый мелкокристаллический порошок без запаха, мало растворим в воде, растворах щелочей, этаноле и ацетоне. В данной работе использован сульфагуанидин химической чистоты 95 %, синтезированный коммерческой компанией Sigma Aldrich (EC Number: 200-345-9, PubChem Substance ID: 24899810). Сульфагуанидин трудно поддается биодеградации и может накапливаться в окружающей среде, создавая значительный экотоксикологический эффект с мутагенностью и тератогенным действием, представляя серьезную угрозу экологическому балансу, здоровью человека и безопасности питьевой воды [21].
МЕТОДИКА ЭКСПЕРИМЕНТА
В качестве растворителя использовали дистиллированную воду (рН = 5.6), полученную на аквадистилляторе ДЭ-4 Т3МОИ. Для приготовления раствора с начальной концентрацией C = 10–3 моль·л–1 потребовалось 42.85 мг чистого вещества сульфагуанидина. Для улучшения растворимости сульфагуанидина в воде раствор был помещен в ультразвуковую мешалку и нагрет до 45 °C. Готовый водный раствор сульфагуанидина с концентрацией C = 5·10–5 моль·л–1 облучали в стеклянных стаканах диаметром 4.6 см при комнатной температуре в стационарном фотореакторе [22]. Источниками излучения были выбраны: ультрафиолетовая бактерицидная лампа ОУФб-04 (диапазон излучения от 180 до 275 нм); KrCl, XeBr и XeCl эксилампы с длиной волны излучения 222, 282 и 308 нм, соответственно. Расстояние от источника до поверхности облучаемого раствора составляло 4 см, контрольное время облучения — 0, 1, 2, 4, 8, 16, 32 и 64 минут. Объем облучаемого раствора V = 90 мл. В определенные моменты времени (0, 1, 2, 4, 8, 16, 32 и 64 мин) брали пробы для регистрации спектрально-люминесцентных характеристик. После измерения пробу возвращали обратно в стакан с облучаемым раствором, чтобы не изменялся исходный объем. За время облучения максимальная энергия, поглощенная исследуемым раствором, не превышала 10 Дж·см-3. Эффективность фотодеградации сульфагуанидина исследовали методами спектроскопии электронного поглощения и флуоресценции. Спектры были зарегистрированы на спектрофотометре СМ2203 (SOLAR, Беларусь) и спектрофлуориметре VARIAN Cary Eclipse (Agilent, США‒Нидерланды‒Австралия) при комнатной температуре 293 К в диапазоне 200—800 нм. Длина волны возбуждения флуоресценции 260, 300 и 350 нм. 260 нм соответствует длине волны поглощения сульфагуанидина, 300 нм и 350 нм — поглощению предполагаемых фотопродуктов. Для доказательства различного состава облученных растворов были записаны спектры возбуждения флуоресценции на различных длинах волн эмиссии. Чтобы сделать выводы об эффективности фототрансформации сульфагуанидина были построены кривые конверсии исходного соединения и образования окрашенного фотопродукта по данным спектров поглощения и флуоресценции. В непрерывных процессах конверсию рассчитывают через концентрацию реагента в исходной и реакционной смеси. Так как в данном исследовании не проводилась идентификация фотопродуктов, изменение концентрации сульфагуанидина для построения кривой конверсии определяли по калибровочной кривой, построенной по изменению интенсивности флуоресценции на длине волны 344 нм в зависимости от концентрации антибиотика.
РЕЗУЛЬТАТЫ ЭКСПЕРИМЕНТА
Исследование изменений в экспериментальных спектрах поглощения в области от 220 до 800 нм (рис. 2а и рис. 2б) при облучении лампами показало, что сульфагуанидин претерпевает существенную трансформацию.
Рис. 2. Спектры поглощения (а, б) и флуоресценции (в-е) сульфагуанидина в воде под действием излучения ОУФб-04 (а, в, д, е) и XeBr эксилампы (б, г). Длина волны возбуждения флуоресценции λ = 260 нм (в, г), 300 нм (д) и 350 нм (е). Время облучения: 1 — 0 мин, 2 — 1 мин, 3 — 2 мин, 4 — 4 мин, 5 — 8 мин, 6 — 16 мин, 7 — 32 мин, 8 — 64 мин
Ранее [22] были приведены результаты экспериментального и квантово-химического исследования фототрансформации сульфагуанидина в воде под действием излучения 222 нм. Анализ экспериментальных данных показал, что после облучения происходит фотолиз сульфагуанидина в воде с образованием нескольких окрашенных фотопродуктов: после 4 мин облучения раствор имеет розовый оттенок, после 16 мин — синий, после 64 мин — коричневый. Данные квантово-химического расчета показали, что спектры поглощения всех первичных фотопродуктов лежат в области от 260 до 315 нм [22]. Так как в спектрах поглощения наблюдается уменьшение оптической плотности в области 260 нм (рис. 2а и 2б), можно сделать вывод, что это связано с фотодеградацией сульфагуанидина и уменьшением его концентрации в облучаемых растворах. Увеличение поглощения в диапазоне от 300 до 400 нм указывает на образование первичного фотопродукта, а появление широкой полосы с максимумом в области 560—570 нм — на образование вторичного окрашенного фотопродукта. Аналогичные изменения спектра поглощения были представлены в работе [9]. Образование окрашенного фотопродукта подтверждалось изменением окраски исследуемого раствора в процессе облучения ОУФб-04 и XeBr лампами до синего цвета.
Согласно [22] в область поглощения 200—240 нм, возникающей при облучении водного раствора сульфагуанидина, входит электронный переход в возбужденно-электронное состояние S4(πσ) сульфаниловой кислоты, S3(πσ) фотопродуктов Р1 и Р2 (рис. 1з и 1и), локализованных на связи С4-S8, в которой возможен разрыв этой связи, и состояние S3(πσ) фотопродукта Р3, локализованное на связи С4-N10. Последнее обстоятельство позволяет предполагать, что в процессе облучения происходит дальнейшая трансформация первичных фотопродуктов сульфагуанидина, а последующее взаимодействие конечных фотопродуктов между собой и растворителем приводит к возникновению окрашенного фотопродукта, поглощающего в области около λmax = 560 нм.
Изменения в спектрах флуоресценции сульфагуанидина в воде до и после облучения (рис. 2) указывают на то, что активно образующийся фотопродукт излучает в области 400—420 нм и в процессе облучения, так же, как и исходное соединение, распадается (рис. 2е).
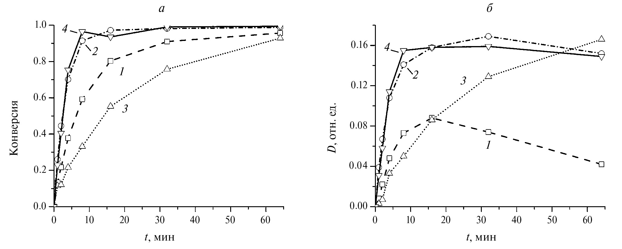
По экспериментальным спектрам флуоресценции и поглощения (диаграмму образования фотопродукта по спектрам поглощения строили) была построена диаграмма убыли сульфагуанидина и образования фотопродукта в фотореакторе (рис. 3). На рис. 3а приведена конверсия сульфагуанидина под действием различных источников облучения. При возбуждении флуоресценции в 260 нм зафиксировано уменьшение интенсивности флуоресценции в области 344 нм, что указывает на эффективную убыль сульфагуанидина под действием УФ излучения и уменьшение его концентрации в облучаемом растворе. Анализ убыли сульфагуанидина (рис. 3а) показал, что под действием излучения ОУФб-04 и XeBr ламп фототрансформация антибиотика протекает эффективнее (рис. 3), чем при облучении KrCl и XeCl эксилампами.
Рис. 3. Убыль сульфагуанидина (а) и образование фотопродукта (б) в зависимости от источника облучения (1 — KrCl, 2 — XeBr, 3 — XeCl, 4 — ОУФб-04). По данным из спектров флуоресценции (а) на длине волны на 344 нм и поглощения (б) на 560 нм
Из рис. 3б видно, что окрашенный продукт, поглощающий в области 560 нм, в процессе облучения KrCl эксилампой активно распадается. При облучении ОУФб-04, XeBr и XeCl эксилампами зафиксировано только накопление этого фотопродукта. Спектры возбуждения флуоресценции сульфагуанидина в воде (рис. 4) указывают на то, что при распаде антибиотика образуется соединение, которое имеет поглощение в области от 240 нм до 340 нм, а флуоресценция в области 420 нм образована соединением, имеющим длинноволновую полосу поглощения в области 310—320 нм.
Рис. 4. Спектры возбуждения флуоресценции сульфагуанидина в воде после облучения ОУФб-04 лампой. Время облучения: 1 — 0 мин, 2 — 1 мин, 3 — 2 мин, 4 — 4 мин, 5 — 8 мин, 6 — 16 мин, 7 — 32 мин, 8 — 64 мин. Длина волны эмиссии 350 нм (а) и 430 нм (б)
Ранее были выполнены квантово-химические расчеты для молекулы сульфагуанидина в комплексе с водой состава 1:3 [16]. Расчет потенциала Морзе для основного и некоторых возбужденных состояний комплекса сульфагуанидина с водой показал, что потенциальная кривая состояния S3(ππ) имеет минимум и соответствует прочной связи С4–S8 в этом состоянии, а потенциальные кривые синглетного и триплетного электронно-возбужденных состояний, локализованных на связи С4–S8, соответствуют ее разрыву [22]. Отсутствие минимума у потенциальных кривых электронно-возбужденных состояний S4—8(πσ) и Т4—8(πσ) свидетельствует о возможности разрыва данной связи как в синглетном, так и в триплетном состояниях [22]. Установлено, что разрыв связи С4–S8 более вероятен в синглетном состоянии, хотя вероятность фотодиссоциации может быть снижена его меньшим, чем для триплетного состояния, временем жизни и наличием потенциального барьера [22].
Таким образом, можно предположить, что излучение KrCl эксилампы с длиной волны 222 нм, обладающей более высокой энергией фотона, может переводить молекулу сульфагуанидина на более высокие энергетические уровни, откуда возможен переход в триплетное возбужденное состояние, из-за чего процесс фотодиссоциации может замедляться. Кроме того, часть энергии расходуется на безызлучательные процессы, такие как внутренняя конверсия и интеркомбинационная конверсия, что также снижает эффективность фототрансформации. Эксилампа XeBr с длиной волны излучения 282 нм с более низкой энергией фотона переводит молекулу сульфагуанидина напрямую в синглетное возбужденное состояние, из которого более вероятна фотодиссоциация молекулы, основная часть энергии которой расходуется на разрыв связи С4–S8.
Эксилампа XeCl, излучающая на длине волны 308 нм, с самой низкой энергией фотона из всех используемых источников УФ-излучения также способна переводить молекулу сульфагуанидина в возбужденное состояние, из которого возможна диссоциация, однако как показали экспериментальные данные, ее эффективность значительно меньше, чем под действием излучения других ламп. УФ бактерицидная лампа ОУФб-04, излучающая УФ волны в диапазоне от 180 до 275 нм, что охватывает большую часть спектра поглощения сульфагуанидина, оказалась наиболее эффективна для фотолиза антибиотика, что согласуется с полученными экспериментальными данными. Результаты доказывают, что ультрафиолетовая лампа ОУФб-04 и XeBr эксилампа эффективны для фототрансформации сульфагуанидина в воде. После 64 мин облучения максимальная убыль сульфагуанидина составила 99 % под действием излучения этих ламп, 96 % при облучении KrCl и 93 % при облучении XeCl эксилампой.
ЗАКЛЮЧЕНИЕ
Таким образом, установлено, что в процессе облучения происходит трансформация первичных фотопродуктов сульфагуанидина с их последующим разрушением, образованием вторичных фотопродуктов и появлением окрашенного фотопродукта, поглощающего в области λmax = 560 нм. Спектры поглощения всех первичных фотопродуктов лежат в области от 260 до 400 нм. Установлено, что наиболее эффективными для фотодеградации сульфагуанидина являются ультрафиолетовая лампа ОУФб-04 и XeBr эксилампа, после 64 мин облучения максимальная убыль сульфагуанидина составляет 99 %. После облучения KrCl эксилампой максимальная убыль сульфагуанидина составила 96 %, после облучения XeCl эксилампой — 93 %. Обнаружено, что под действием излучения KrCl эксилампы происходит разрушение окрашенного фотопродукта сульфагуанидина.
Результаты были получены в рамках выполнения темы государственного задания Минобрнауки России (проект № FSWM-2020-0033).
About the authors
N. P. Bezlepkina
National Research Tomsk State University
Author for correspondence.
Email: nadezhda.bezlepkina174833@mail.ru
Russian Federation, Tomsk
O. N. Tchaikovskaya
National Research Tomsk State University; Institute of Electrophysics of the Ural Branch of the Russian Academy of Sciences
Email: nadezhda.bezlepkina174833@mail.ru
Russian Federation, Tomsk; Yekaterinburg
E. N. Bocharnikova
National Research Tomsk State University
Email: nadezhda.bezlepkina174833@mail.ru
Russian Federation, Tomsk
References
- Ионин А.А., Гончуков С.А., Зазымкина Д.А. и др. // Изв. РАН. Сер. физ. 2020. Т. 84. № 11. С. 1537; Ionin A.A., Gonchukov S.A., Zazymkina D.A. et al. // Bull. Russ. Acad. Sci. Phys. 2020. V. 84. No. 11. P. 1321.
- Daughton C.G., Ternes T.A. // Environ. Health Perspect. 1999. V. 107. P. 907.
- Ternes T.A., Meisenheimer M., McDowell D. et al. // Environ. Sci. Technol. 2002. V. 36. P. 3855.
- Khan M.F., Yu L., Hollman J. et al. // Environ. Sci. Water Res. Technol. 2020. V. 6. No. 6. P. 1711.
- Borowska E., Felis E., Miksch K. // J. Adv. Oxid. Technol. 2015. V. 18. No. 1. P. 69.
- Yi Z., Wang J., Tang Q., Jiang T. // RSC Advances. 2018. V. 8. No. 3. P. 1427.
- Lemanska-Malinowska N., Felis E., Surmacz-Górska J. // Arch. Environ. Prot. 2013. V. 39. No. 3. P. 79.
- Zhu G., Sun Q., Wang C. et al. // Int. J. Environ. Res. Public. Health. 2019. V. 16. No. 10. Art. No. 1797.
- Mersly L.E.L., Mouchtari E.M.E., Zefzoufi M. et al. // J. Photochem. Photobiol. A. 2022. V. 430. Art. No. 113985.
- Tchaikovskaya O.N., Bocharnikova E.N., Solomonov V.I. et al. // Bull. Russ. Acad. Sci. Phys. 2023. V. 87. Suppl. 2. P. S217.
- Семибратова В.А., Егранов А.В. // Изв. РАН. Сер. физ. 2019. Т. 83. № 3. С. 345; Semibratova V.A., Egranov A.V. // Bull. Russ. Acad. Sci. Phys. 2019. V. 83. No. 3. P. 287.
- Литвинов В.А., Коппе В.Т., Логачев Ю.Е., Бобков В.В. // Изв. РАН. Сер. физ. 2010. Т. 74. № 2. С. 203; Litvinov V.A., Koppe V.T., Logachev Y.E., Bobkov V.V. // Bull. Russ. Acad. Sci. Phys. 2010. V. 74. No. 2. P. 183.
- Burrows H.D., Canle L.M., Santaballa J.A., Steenken S. // J. Photochem. Photobiol. B. 2002. V. 67. No. 2. P. 71.
- Lin A.Y.C., Lin Y.C., Lee W.N. // Environ. Pollution. 2014. V. 187. P. 170.
- Tchaikovskaya O.N., Bocharnikova E.N., Bazyl O.K. et al. // Molecules. 2023. V. 28. No. 10. Art. No. 4159.
- Базыль О.К., Чайковская О.Н., Чайдонова В.С. и др. // Опт. и спектроск. 2022. Т. 130. № 5. С. 627; Bazyl O.K., Tchaikovskaya O.N., Chaydonova V.S. et al. // Opt. Spectrosc. 2022. V. 130. No. 5. P. 487.
- Phillips G.O., Power D.M., Sewart M.C. // Radiat. Res. 1973. V. 53. No. 2. P. 204.
- Numan A., Villemure J.L., Lockett K.K., Danielson N.D. // Microchem. J. 2002. V. 72. No. 2. P. 147.
- Sun J., Chen L., Zhang X. et al. // Food Chem. 2023. V. 424. Art. No. 136410.
- Wojnárovits L., Tóth T., Takács E. // Crit. Rev. Environ. Sci. Technol. 2018. V. 48. No. 6. P. 575.
- Jiang J., Wang G. // IOP Conf. Ser. Earth Environ. Sci. 2017. V. 100. Art. No. 012040.
- Безлепкина Н.П., Чайковская О.Н., Бочарникова Е.Н., Базыль О.К. // Опт. и спектроск. 2023. Т. 131. № 4. С. 543; Bezlepkina N.P., Tchaikovskaya O.N., Bocharnikova E.N., Bazyl' O.K. // Opt. Spectrosc. 2023. V. 131. No. 4. P. 508.
Supplementary files






