Synthesis and magnetic properties of Fe1.1Ga0.9O3 measured by electron spin resonance technique
- Authors: Yatsyk I.V.1, Eremina R.М.1, Moshkina Е.M.2, Batulin R.G.3, Shestakov A.V.4
-
Affiliations:
- Federal Research Center Kazan Scientific Center of Russian Academy of Sciences
- Federal Research Center Krasnoyarsk Scientific Center of the Siberian Branch of the Russian Academy of Sciences
- Kazan Federal University
- Prokhorov General Physics Institute of the Russian Academy of Sciences
- Issue: Vol 88, No 7 (2024)
- Pages: 1122-1129
- Section: Spin physics, spin chemistry and spin technologies
- URL: https://medbiosci.ru/0367-6765/article/view/279562
- DOI: https://doi.org/10.31857/S0367676524070195
- EDN: https://elibrary.ru/PAAWOK
- ID: 279562
Cite item
Full Text
Abstract
The crystal formation of Fe-Ga oxides and Fe-Ga-Cu borates was studied in multicomponent flux system based on Bi2Mo3O12-Na2B4O7. Thermal dependence of magnetization of electron spin resonance of obtained Fe1.1Ga0.9O3 single crystal was studied, the Curie — Weiss temperature (θCW = 289 K) and ferrimagnet-paramagnet phase transition temperature TC = 288 K have been defined. The spin-wave resonance lines are observed in the spectrum of magnetic resonance in the ordered phase.
Full Text
Введение
Оксиды и бораты переходных металлов, в том числе содержащие катионы Cu, Fe и Ga, являются базовыми материалами и обладают значительным потенциалом прикладного использования, разнообразными свойствами и широкой вариативностью кристаллических структур. Важной особенностью таких соединений в отношении вышеупомянутых катионов (в частности, трехвалентных Fe3+ и Ga3+) является существование, во многих случаях, непрерывного ряда твердых растворов. Замещение парамагнитного катиона Fe3+ диамагнитным Ga3+ позволяет в определенной степени контролировать свойства соединений изменяя катионное соотношение [1—14].
Среди железных и галлиевых оксидов может быть выделена область фазовой диаграммы, захватывающая переход от фазы гематита α-Fe2O3 в фазу моноклинного β-Ga2O3 путем последовательного замещения Fe3+→ Ga3+. Однако данный переход осуществляется не напрямую, а через ромбическую фазу Fe2-xGaxO3. Ромбические Fe2-xGaxO3 являются достаточно перспективными магнитоэлектрическими мультиферроиками [8—12, 14]. Магнитные и магнитоэлектрические свойства данных соединений в сильной степени зависят от концентрации x. Диапазон стабильности этой фазы в зависимости от концентрации: от x = 0.6 до x = 1.2 [9]. Данное соединение интересно и со структурной точки зрения: присутствует четыре неэквивалентные позиции, занятые катионами железа и галлия, причем, согласно разным источникам, в зависимости от способа приготовления образцов, изменяется и заселенность данных позиций катионами Fe/Ga, влияя на температуру ферримагнитного упорядочения [9].
Добавление двухвалентной подсистемы Cu2+ к Fe-Ga — содержащим системам позволяет значительно расширить спектр рассматриваемых структур и свойств соединений, которые также образуют непрерывный ряд Fe-Ga твердых растворов [15, 16]. В частности, таковыми являются моноклинные людвигиты Cu2Fe1-xGaxBO5, рассматриваемые с ростовой точки зрения в данной работе.
Ромбические Fe2-xGaxO3 и людвигиты Cu2Fe1-xGaxBO5 в своих структурах содержат по 4 неэквивалентные катионные позиции, что влечет за собой возможность возникновения сложных вариантов магнитного упорядочения. Работа с твердыми растворами предполагает тщательный контроль катионного состава на стадии роста, осуществляемый посредством управления условиями получения образцов. В работе для обеспечения таких условий используется раствор-расплавный метод. Данный метод позволяет наблюдать одновременную кристаллизацию нескольких фаз (например, если речь идет о пересечении фазовой границы) без потери в качестве и размерах образцов, и допускает получение образцов с разным составом из одного и того же раствора-расплава с помощью последовательных добавок [17, 18]. Правильный выбор растворителя позволяет выстроить в раствор-расплавной системе промежуточные химические связи (между компонентами растворителя и растворимого), способствующие контролю состава кристалла [18].
Данная работа представляет результаты исследования магнитных свойств ромбического Fe1.1Ga0.9O3, полученных при изучении фазообразования в многокомпонентной раствор-расплавной системе на основе Bi2Mo3O12-Na2B4O7 при кристаллизации Fe-Ga оксидов и боратов, методами электронного спинового резонанса (ЭСР) и магнитометрии.
Условия эксперимента
Для проведения ростовых экспериментов в данной работе использовался раствор-расплавный метод. Растворы-расплавы готовились в платиновом тигле (V = 100 см3) при температуре T = 1100 °C путем последовательного сплавления компонентов раствор-расплавной системы. Приготовленные растворы-расплавы выдерживались в течение 3 часов при температуре T = 1100 °C. Затем оценивалось кристаллообразование и изучалась последовательность высокотемпературных кристаллизующихся фаз (ВТКФ). После поисковой стадии, для выращивания монокристаллических образцов, температура в печи сначала снижалась быстро, со скоростью 200 °C/час до стартовой температуры Tстарт = (Tнас — 5) °C, далее медленно, со скоростями 1—4 °C/сутки. После окончания этапа роста, выросшие монокристаллы отделялись от остатков раствора-расплава травлением в 20 %-ном водном растворе азотной кислоты HNO3.
Измерения спектров ЭСР кристалла Fe2-xGaxO3, имеющего форму иголки с размерами 3×0.2×0.2 мм, были проведены на спектрометре фирмы VarianE-12 X (диапазон 9.4 ГГц) оборудованный резонатором ER4131VT с азотным продувом и возможностью изменения температуры от 300 и до 700 К. Угловые зависимости спектров ЭСР были измерены на спектрометре Bruker ER200 SRC (EMX/plus) на частоте 9.4 ГГц. Спектры ЭСР регистрировались в диапазоне температур от 294 до 448 К.
Намагниченность измерялась на приборе PPMS-9 в диапазоне температур от 10 до 300 К в режимах охлаждения в нулевом поле (ZFC) и в режиме охлаждения в поле (FC). Петли магнитного гистерезиса измерялись в диапазоне полей до 5 Тл.
Для уточнения стехиометрической формулы монокристалла использовался метод рентген-флуоресцентного анализа (РФА), выполненный на приборе Bruker S2 Ranger.
Изучение особенностей раствор-расплавной кристаллизации Fe-Ga оксидов и Fe-Ga-Cu боратов
Как отмечалось ранее, при работе с раствор-расплавным методом ключевую роль играет выбор растворителя. Ввиду высокой важности контроля состава твердых растворов Fe-Ga и Fe-Ga-Cu соединений, необходимо изучить возможное влияние компонентов растворителя, используемого в данной работе, на состав кристаллизуемого вещества. Стартовая изучаемая раствор-расплавная система имела следующий вид:
(1)
Система (1) рассчитана на стехиометрию людвигита Cu2FeBO5, в качестве кристаллообразующего и не содержит оксид галлия Ga2O3 на первоначальном этапе, а в качестве растворителя используется смесь Bi2Mo3O12-Na2B4O7, без дополнительного введения оксида бора B2O3 сверх стехиометрии буры Na2B4O7. На первоначальном этапе концентрация кристаллообразующего n составила 33 %.
Ранее [18], на аналогичных системах для Mn-содержащих людвигитов, было показано существенное влияние оксида MoO3 на присутствие фазы, содержащей катионы Mn2+, и влияние добавок оксида Na2O (либо буры Na2B4O7) на присутствие фазы, содержащей катионы Mn3+. В системе (1) доля буры Na2B4O7 на массу Fe2O3 рассчитывалась аналогично отношению Na2O / Mn2O3 = 1 в [18] (в соответствии с возможным формированием промежуточных химических связей типа NaFeO2 и NaMnO2). Однако кристаллообразование в системе (1) значительно отличается от ранее изученной марганец-содержащей системы, что может быть обусловлено разными температурами разложения трехокисей Mn2O3 и Fe2O3: температуры разложения Mn2O3 с потерей кислорода и образованием оксида Mn3O4, содержащий марганец в валентном состоянии (2+, 3+) лежат в диапазоне рабочих температур (900—1100 °C), а оксид Fe2O3 остается стабильным при существенно больших температурах. Таким образом, в отличие от изменяющейся валентности катионов марганца, валентность катиона Fe3+ остается стабильной, что в значительной мере влияет на последовательность ВТКФ. Несмотря на возможность катионов Fe2+ входить в структуру молибдата, изоструктурному Mn2+MoO4, как было показано в [18] существованием твердых растворов Mn1-xFexMoO4, фаза Fe2+MoO4 в системе (1) не реализуется. Так, высокотемпературной кристаллизующейся фазой стартовой системы (1) является фаза гематита α-Fe2O3, содержащая только катионы Fe3+, несмотря на стехиометрию людвигита в части кристаллообразующего. Видимо, ввиду того что растворимость оксидов меди и бора значительно превышает растворимость Fe2O3, увеличивается вероятность вхождения Fe2O3 в кристаллическую фазу, нежели CuO и B2O3, как следствие — кристаллизация только железосодержащей фазы гематита.
На следующем этапе в раствор-расплавную систему (1) был введен оксид CuO в соотношении Bi2Mo3O12: CuO = 1:0.5. Такое изменение состава раствора-расплава позволило изменить ВТКФ на фазу шпинели CuFe2O4 — медь-содержащую фазу. После увеличения доли оксида меди до Bi2Mo3O12: CuO = 1:1, произошла очередная смена ВТКФ на фазу людвигита Cu2FeBO5. Таким образом, кристаллизация фазы железо-медного людвигита из раствора-расплава на основе Bi2Mo3O12-Na2B4O7 возможна при введении оксида CuO в растворитель сверх стехиометрии людвигита.
Ранее [16] было показано, что получение медь-галлиевого людвигита Cu2GaBO5 возможно из подобных растворов-расплавов без необходимости добавления оксида меди сверх стехиометрии. На следующем этапе, в раствор-расплав были добавлены оксиды Ga2O3 и B2O3 из расчета на то, чтобы убрать всю «лишнюю» медь из растворителя. Таким образом, новая раствор-расплавная система может быть записана в следующем виде:
(2)
Концентрация n в данной системе была равна n = 31 %. В данной системе наблюдается кристаллизация двух фаз — фазы людвигита Cu2Fe1-xGaxBO5 и фазы ромбического Fe2-xGaxO3, причем без введения меди в растворитель, как в системе (1) в отсутствии оксида галлия в растворе-расплаве. Далее была увеличена концентрация оксида Ga2O3 до предельного соотношения Fe: Ga = 3:2, соответствующего границе стабильности фазы ромбического Fe2-xGaxO3. ВТКФ данной системы является фаза Fe2-xGaxO3. Монокристаллы данного соединения были получены при спонтанной кристаллизации, температура насыщения раствора-расплава составила Tнас = 980 ˚C, скорость понижения температуры — dT/dt = 8 ˚C/сут, рост проходил в течение 24 часов. Выросшие кристаллы представляют собой черные ортогональные призмы с максимальным размером 3×0.2×0.2 мм.
Фазовый состав полученных кристаллов контролировался с помощью рентгеноструктурного анализа. Реальный химический состав ромбического Fe2-xGaxO3, а именно соотношение Fe/Ga исследовалось методом РФА. Анализ показал равномерное распределение железа и галлия в образце. Для получения наиболее объективных результатов, были проанализированы 9 точек отобранного для исследования магнитных свойств монокристалла. Реальный состав данного соединения соответствует формуле Fe1.1Ga0.9O3. Таким образом, реальное соотношение Fe/Ga меньше аналогичного соотношения «по закладке», что согласуется с разницей коэффициентов распределения оксидов Fe2O3 и Ga2O3 в исследуемых растворах-расплавах: оксид галлия характеризуется меньшей растворимостью, вследствие чего в большем количестве входит в кристаллизующуюся фазу, нежели железо. Аналогичный механизм может быть применим для анализа перехода к фазе ромбических Fe2-xGaxO3 от фазы людвигита при сравнении растворимости B2O3, CuO и Ga2O3.
Магнитные свойства Fe1.1Ga0.9O3
Монокристаллический образец Fe1.1Ga0.9O3 имеет форму иглы, где вдоль самой иглы направлена ось с, а перпендикулярно игле — плоскость ab.
Температурные зависимости намагниченности были получены в температурном диапазоне 4.2—304 K в магнитном поле H = 50, 100 Э (рис. 1а). Качественно, данные кривые соответствуют результатам, полученным в [19] для FeGaO3. Уже при комнатной температуре наблюдается резкий рост намагниченности, соответствующий ферримагнитному фазовому переходу. Ниже температуры перехода наблюдается бифуркация кривых FC и ZFC в широком температурном диапазоне, зависящем от величины приложенного поля. Ниже точки бифуркации (температура, соответствующая расхождению кривых FC и ZFC) наблюдается плавный изгиб кривой FC и дальнейший рост.
Рис. 1. Температурные зависимости Fe1.1Ga0.9O3: намагниченности (FC- и ZFC-режим) (a); ∂(M2)/∂T в ориентации, когда магнитное поле параллельно оси с кристалла (б).
Для более точного определения температуры ферримагнитного фазового перехода, были построены зависимости ∂M2/∂T(T), пропорциональные магнитному вкладу в теплоемкость для ферромагнетиков [20]. Результирующие кривые представлены на рис. 1б.
Для уточнения температуры ферримагнитного фазового перехода TC были использованы зависимости ∂M2/∂T(T), используемые для анализа магнитных свойств ферромагнетиков, так как данный подход хорошо зарекомендовал себя и для анализа ферримагнитных систем [20—22]. В сравнении с подходом для определения температуры фазовых переходов для антиферромагнетиков, где необходимо анализировать зависимость ∂(χ·T)/∂T(T) [22—24], результирующие кривые позволяют получить однозначные значения с достаточной точностью.
Согласно температурным зависимостям производной квадрата намагниченности, температура ферримагнитного фазового перехода, исходя из результатов магнитометрии, составила TC = 288 K.
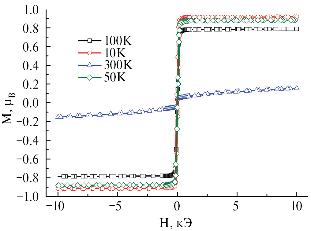
Полевые зависимости намагниченности Fe1.1Ga0.9O3 представлены на рис. 2. Ниже температуры TC полевые зависимости представляют собой практически прямоугольные петли с вертикальными стенками и характеризуются малой коэрцитивной силой — 60 Э при температуре T = 10 K. За пределами полевого гистерезиса намагниченность достигает намагниченности насыщения и остается постоянной в измеряемом диапазоне полей.
Рис. 2. Полевые зависимости намагниченности Fe1.1Ga0.9O3.
Магнитный момент насыщения образца, определенный из полевых зависимостей намагниченности, не превышает 0.9 μB, что значительно меньше рассчитанного μэф = 6.2 μB. Такое отклонение может быть объяснено проявлением ферримагнитного состояния вещества. Данный вопрос нуждается в проведении более детальных исследованиях магнитного поведения, запланированных в будущем.
Зависимость спектров электронного спинового резонанса от угла измерялись в двух ориентациях: 1) внешнее магнитное поле лежит в плоскости ab (рис. 3а); 2) внешнее магнитное поле лежит в плоскости bc (рис 3б).
Рис. 3. Эволюция линии ЭСР при изменении угла для Fe1.1Ga0.9O3 при комнатной температуре (297 К) в плоскости ab (а), bc (б).
В спектре ЭСР для плоскости ab наблюдается две интенсивные линии, которые имеют резкую угловую зависимость. Около 80о интенсивность линий спектра ЭСР достигает минимума, и положение резонансного поля смещается в сильные поля, вторая линия ЭСР не регистрируется в данном полевом диапазоне (от 0 до 1.4 Тл). Предположительно данное направление соответствует оси b, а соответственно 170° направление оси a.
На рис. 3б представлена эволюция линии спинового резонанса от угла в плоскости bc. Регистрируется только одна линия ЭСР. Форма линии аппроксимировалась выражением:
(3)
где Hres — положение резонансной линии, ΔH — ширина линии, а α — параметр асимметрии линии [25].
Из анализа формы линии были получены: угловые зависимости ширины линии ЭСР и резонансного поля (рис. 4). При 70о наблюдается резкое увеличение ширины линии ЭСР и резонансного поля до 700 мТл. Можно предположить, что данному углу соответствует ось b.
Рис. 4. Угловая зависимость ширины линии ЭСР (а) и резонансного поля (б) для Fe1.1Ga0.9O3 при комнатной температуре (297 К) в плоскости bc.
Угловую зависимость резонансного магнитного поля можно описать выражением [26] для ферромагнитных областей:
(4)
где HA1 = K1/M0 и HA2 = K2/M0 — поля анизотропии, а H0z — проекция магнитного поля Hz на направление M0. Из аппроксимации угловой зависимости резонансного значения магнитного поля были получены следующие параметры: H0z = 15.2 ± 0.2 мТл; HA1 = 4.9 ± 0.2 мТл; HA2 = –1.8 ± 0.2 мТл.
Измерены спектры ЭСР при изменении температуры от 250 K и до 448 K. Положение кристалла относительно внешнего поля было выбран таким образом, что линия спектра ЭСР находилась в самых низких полях, предположительно данное направление соответствует направлению оси a. Эволюция линии спектра ЭСР при изменении температуры представлена на рис. 5. Спектр возможно было зарегистрировать при температуре 250 К в высоких полях (1.4 Тл). При увеличении температуры линия смещалась к низким полям (330 мТл), а интенсивность линии росла и максимум достигает при температуре 320 К, далее интенсивность убывает обратно пропорционально температуре. При температуре 280 К в спектре отчетливо видно две линии, которые проявлялись при комнатной температуре и имеют угловую зависимость. При повышении температуры линии стремятся к резонансному полю около 330 мТл и совпадают. Далее линия ЭСР ведет себя как одиночная линия.
Рис. 5. Эволюция линии спектра ЭПР при изменении температуры для Fe1.1Ga0.9O3 при угле 160о в плоскости ab.
Используя выражение (3), аппроксимировали форму линии при изменении температуры. Температурные зависимости экспериментальных спектров и их аппроксимация представлены на рис. 6. Отметим, что интегральная интенсивность обратно пропорциональна температуре, что явно подчиняется закону Кюри—Вейса. При сравнении интегральной интенсивности с восприимчивостью того же образца при той же температуре, можно отнормировать интегральную интенсивность и построить температурную зависимость обратной магнитной восприимчивости (рис. 7). Аппроксимируя полученную зависимость прямой, мы определили константу Кюри C = 2.28 К/(см3·моль) и температуру Кюри—Вейсса θCW = 289 K.
Рис. 6. Температурная зависимость интегральной интенсивности (а), ширины линии ЭСР (б) и резонансного поля (в) для Fe1.1Ga0.9O3 в плоскости ac.
Рис. 7. Температурная зависимость магнитной восприимчивости для Fe1.1Ga0.9O3 в температурном диапазоне от 300 до 450 K.
При подробном рассмотрении угловой зависимости спектров ЭСР (рис. 8) наблюдается множество дополнительных линий, которые невозможно объяснить одним парамагнитным или ферромагнитным центром. Однако можно предположить, что наличие таких сигналов связано со спин-волновым резонансом [26, 27]. Более подробный и детальный анализ данного явления требует отдельного исследования.
Рис. 8. Подробное рассмотрение угловой зависимости спектров ЭСР для Fe1.1Ga0.9O3 при комнатной температуре (297 К) в плоскости ab.
Заключение
В результате исследования кристаллообразования в раствор-расплавной системе на основе Bi2Mo3O12-Na2B4O7-B2O3 при растворении смеси оксидов Fe2O3-CuO-Ga2O3 с различным содержанием оксида галлия, была получена последовательность высокотемпературных кристаллизующихся фаз и монокристаллические образцы, среди которых гематит α-Fe2O3, шпинель CuFe2O4, людвигит Cu2Fe2-xGaxBO5 и ромбический Fe2-xGaxO3.
Были исследованы угловые и температурные зависимости спектров электронного спинового резонанса монокристалла ромбического Fe1.1Ga0.9O3 (состав указан по данным РФА) в плоскостях ab и bc, с высокой точностью определены направления кристаллографических осей. Установлено, что исследуемое соединение является ферримагнетиком с температурой магнитного фазового перехода TC ≈ 288 K. Совместный анализ результатов, полученных методами ЭСР и магнетометрии, позволил оценить постоянную Кюри C = 2.28 К/(см3·моль) и температуру Кюри θ = 289 K, несмотря на отсутствие высокотемпературных измерений намагниченности.
В спектрах электронного спинового резонанса при ориентации внешнего магнитного поля перпендикулярно оси с обнаружено множество линий (около 9 штук), что может соответствовать спин-волновому резонансу в монокристалле Fe1.1Ga0.9O3. Для более детального анализа спектров ЭСР нужны дальнейшие исследования.
Исследование выполнено за счет гранта Российского научного фонда № 22-12-20019 (https://rscf.ru/project/22-12-20019/) и Красноярского краевого фонда науки. Работа авторов (Яцык И. В. и Еремина Р. М.) из Казанского физико-технического института им. Е. К. Завойского выполнена при финансовой поддержке в рамках темы государственного задания КФТИ-ОСП ФИЦ Казанского научного центра РАН. Авторы выражают благодарность Институту геологии и нефтегазовых технологий Казанского (Приволжского) федерального университета за исследование методом рентген-флуоресцентного анализа.
About the authors
I. V. Yatsyk
Federal Research Center Kazan Scientific Center of Russian Academy of Sciences
Author for correspondence.
Email: i.yatzyk@gmail.com
Zavoisky Physical-Technical Institute
Russian Federation, KazanR. М. Eremina
Federal Research Center Kazan Scientific Center of Russian Academy of Sciences
Email: i.yatzyk@gmail.com
Zavoisky Physical-Technical Institute
Russian Federation, KazanЕ. M. Moshkina
Federal Research Center Krasnoyarsk Scientific Center of the Siberian Branch of the Russian Academy of Sciences
Email: i.yatzyk@gmail.com
Kirensky Institute of Physics
Russian Federation, KrasnoyarskR. G. Batulin
Kazan Federal University
Email: i.yatzyk@gmail.com
Institute of Physics
Russian Federation, KazanA. V. Shestakov
Prokhorov General Physics Institute of the Russian Academy of Sciences
Email: i.yatzyk@gmail.com
Russian Federation, Moscow
References
- Ерёмина Р.М., Мошкина Е.М., Гаврилова Т.П. и др. // Изв. РАН. Сер. физ. 2019. Т. 83. № 7. С. 999; Eremina R.M., Moshkina E.M., Gavrilova T.P. et al. // Bull. Russ. Acad. Sci. Phys. 2019. V. 83. No. 7. P. 912.
- Курилова А.В., Соколов А.Э., Сухачёв А.Л. и др. // Изв. РАН. Сер. физ. 2022. Т. 86. № 5. С. 726; Kurilova A.V., Sokolov A.E. Sukhachev A.L. et al. // Bull. Russ. Acad. Sci. Phys. 2022. V. 86. No. 5. P. 610.
- Тарасенко Т.Н., Михайлов В.И., Кравченко З.Ф. и др. // Изв. РАН. Сер. физ. 2020. Т. 84. № 9. С. 1307; Tarasenko T.N., Mikhaylov V.I., Kravchenko Z.F. et al. // Bull. Russ. Acad. Sci. Phys. 2020. V. 84. No. 9. P. 1113.
- Абдрахманов В.Л., Завьялов Д.В., Конченков В.И. и др. // Изв. РАН. Сер. физ. 2020. Т. 84. № 1. С. 61; Abdrakhmanov V.L., Zav'yalov D.V., Konchenkov V.I. et al. // Bull. Russ. Acad. Sci. Phys. 2020. V. 84. No. 1. P. 53.
- Салихов С.В., Толеуханова С.К., Бордюжин И.Г., Савченко А.Г. // Изв. РАН. Сер. физ. 2019. Т. 83. № 10. С. 1394; Salikhov S.V., Toleukhanova S.K., Bordyuzhin I.G., Savchenko A.G. // Bull. Russ. Acad. Sci. Phys. 2019. V. 83. No 10. P. 1275.
- Калашникова А.М., Писарев Р.В., Безматерных Л.Н. и др. // Письма в ЖЭТФ. 2005. Т. 81. № 9. С. 568; Kalashnikova A.M., Pisarev R.V., Bezmaternykh L.N. et al. // JETP Lett. 2005. V. 81. No. 9. P. 452.
- Troyanchuk I.O., Bushinsky M.V., Karpinsky D.V. et al. // J. Magn. Magn. Mater. 2015. V. 394. P. 212.
- Bezmaternykh L.N., Mashchenko V.G., Temerov V.L. // J. Cryst. Growth. 1988. V. 87. P. 578.
- Roy Amritendu, Mukherjee Somdutta, Gupta Rajeev et al. // Ferroelectrics. 2014. V. 473. P. 154.
- Lefevre C., Roulland F., Thomasson A. et al. // J. Phys. Chem. 2013. V. 117. P. 14832.
- Kaneko Y., Arima T., He J.P. et al. // J. Magn. Magn. Mater. 2004. V. 272—276. P. 555.
- Arima T., Higashiyama D., Kaneko Y. et al. // Phys. Rev. B. 2004. V. 70. Art. No. 064426.
- Bakr Mohamed M., Fuess H. // J. Magn. Magn. Mater. 2011. V. 323. P. 2090.
- Saha R., Shireen A., Shirodkar S.N. et al. // J. Solid State Chem. 2011. V. 184. P. 2353.
- Moshkina E.M., Gavrilova T.P., Gilmutdinov I.F. et al. // J. Cryst. Growth. 2020. V. 545. P. 125723.
- Petrakovskii G.A., Bezmaternykh L.N., Velikanov D.A. et al. // Phys. Solid State. 2009. V. 51. P. 2077.
- Moshkina E., Molokeev M., Belskaya N. et al. // Cryst. Eng. Comm. 2021. V. 23. P. 6761.
- Moshkina E., Seryotkin Y., Bovina A. et al. // J. Cryst. Growth. 2018. V. 503(1). P. 1.
- Mukherjee S., Garg A., Gupta R. // Appl. Phys. Lett. 2012. V. 100. Art. No. 112904.
- Moshkina E., Ritter C., Eremin E. et al // J. Phys. Cond. Matter. 2017. V. 29. P. 245801.
- Chikazumi S. Physics of ferromagnetism. Ch. 15—17. New York: Oxford University Press, 1997.
- Moshkina E., Eremin E., Veligzhanin A. et al. // J. Magn. Magn. Mater. 2023. V. 584. P. 171072.
- Мошкина Е.М., Молокеев М.С., Еремин Е.В. и др. // ФТТ. 2023. Т. 65. № 6. С. 1054.
- Мошкина Е.М., Бельская Н.А., Молокеев М.С. и др. // ЖЭТФ. 2023. Т. 163. № 1. С. 24.
- Janhavi P., Joshiand S., Bhat V. // J. Magn. Reson. 2004. V. 168. P. 284.
- Гуревич А.Г. Магнитный резонанс в ферритах и антиферромагнетиках. Москва: Наука, 1973. 593 с.
- Исхаков Р.С., Столяр С.В., Чеканова Л.А. и др. // Изв. РАН. Сер. физ. 2011. Т. 75. № 2. С. 197; Iskhakov R.S., Stolyar S.V., Chekanova L.A. // Bull. Russ. Acad. Sci. Phys. 2011. V. 75. No. 2. P. 181.
Supplementary files










