Nuclear scanning microprobe in the study of silicon carbide epilayers
- Authors: Buzoverya M.E.1, Karpov I.A.1, Arkhipov A.Y.1, Skvortsov D.A.2, Neverov V.A.2, Mamin B.F.2
-
Affiliations:
- Russian Federal Nuclear Center — All-Russia Research Institute of Experimental Physics
- National Research Ogarev Mordovia State University
- Issue: Vol 88, No 8 (2024)
- Pages: 1287-1292
- Section: Fundamental problems and applications of physics of atomic nucleus
- URL: https://medbiosci.ru/0367-6765/article/view/279601
- DOI: https://doi.org/10.31857/S0367676524080201
- EDN: https://elibrary.ru/OPKVCM
- ID: 279601
Cite item
Full Text
Abstract
We presented the results of the study of surfaces of homoepitaxial 4H-SiC layers using a nuclear scanning microprobe in the Rutherford backscattering mode. Analysis of the state of the sample surfaces and synthesis modes showed that an increase in the silicon (Si) content in the upper layers of some samples precedes the formation of highly defective 4H-SiC layers.
Full Text
ВВЕДЕНИЕ
Эффективность радиоэлектронных устройств, особенно работающих в экстремальных условиях (высокие температуры, радиация и др.) существенно зависит от повышения быстродействия, энергосбережения и надежности твердотельной элементной базы. Одним из материалов, отвечающих столь жестким требованиям, является карбид кремния 4H политипа (4H-SiC). Высокая подвижность электронов, большая величина электрического поля пробоя в сочетании с отличными термохимическими характеристиками обуславливают значительные перспективы использования этого материала для изготовления приборов различного назначения. Электронные приборы на основе SiC обладают высоким быстродействием, радиационной стойкостью и возможностью работы при температурах до 600 °C [1]. Реализация высоких потенциальных возможностей этого материала тормозится в связи с трудностью получения качественных эпитаксиальных слоев (ЭС) этого материала. Отработка технологии воспроизводимого роста ЭС SiC является индивидуальной задачей для установок конкретного типа и требует детального учета факторов, определяющих достижимые параметры эпислоев [2]. При росте ЭС может происходить спонтанное зарождение мелкомасштабных кристаллов, планарных дефектов, дислокаций и др., линейные масштабы которых составляют единицы –десятки микрометров [3]. В этой связи весьма актуальным является применение современных высокоразрешающих методов характеризации ЭС Si C. Цель работы — исследование возможности использования установки «Ядерно-сканирующий микрозонд-ЭГП-10» (ЯСМЗ) в оценке качества гомоэпитаксиальных слоев 4H-SiC, полученных сублимационным сэндвич-методом (ССМ) в вакууме на монокристаллических подложках 4H-SiC.
ЭКСПЕРИМЕНТАЛЬНАЯ ЧАСТЬ
Мы исследовали 2 образца гомоэпитаксиальных слоев 4Н-SiC EPI-1 и EPI-2, полученных на вицинальных (4о off-cut) монокристаллических подложках 4H-SiC n-типа (легирование азотом) диаметром 100 мм, толщиной 350 мкм сублимационным сэндвич-методом (ССМ) (рис. 1а) в установке высокотемпературного роста с индукционным нагревателем Basic-T. В качестве источника паров использовали нелегированные поликристаллические пластины карбида кремния кубического политипа (3C-SiC) диаметром 100 мм, толщиной 650 мкм. Зазор массопереноса между источником и подложкой составлял 1 мм. Осевой градиент температуры внутри зоны массопереноса задавали положением ростовой поверхности подложки относительно середины индукционного нагревателя установки (поз. 8). Температуру контролировали инфракрасным пирометром установки в осевой точке верхней крышки графитовой эпитаксиальной ячейки (Tяч). Процессы эпитаксии проводили в следующем технологическом режиме (рис. 1б) (табл. 1): 1) откачка ростовой камеры с тепловым узлом до остаточного давления p = 0.33 Па; 2) ступенчатый нагрев до Tяч = 2000 oС в течение 180 мин; 3) выдержка при Tяч = 2000 oС в течение 60 мин (EPI-1) и 100 мин (EPI-2); 4) естественное охлаждение установки при отключенном нагревателе. Необходимо отметить, что интенсивность откачки камеры была одинаковой на всех указанных стадиях процесса, а напуск продувочных и легирующих газов не производился. Полученные ЭС имеют n-тип проводимости, обусловленный фоновым легированием остаточным азотом.
Рис. 1. Схема эпитаксиальной сэндвич-ячейки в тепловом узле ростовой установки (а): 1 — зона переноса молекулярных компонентов пара; 2 — источник паров SiC (сублимационная пластина); 3 — кристалл затравка (монокристаллическая 4H-SiC подложка); 4 — графитовое кольцо (спейсер); 5 —графитовый тигель; 6 — графитовая теплоизоляция; 7 — кварцевая труба; 8 — индукционный нагреватель. Динамика процессов эпитаксии (б) EPI-1 (вверху) и EPI-2 (внизу): TЯЧ (эксп.) — температура верха эпитаксиальной ячейки, регистрируемая пирометром; ТИСТ (модель) — расчетная температура поверхности сублимационной пластины; GЭС (модель) — расчетная скорость роста эпитаксиального слоя.
Таблица 1. Технологические режимы (экспериментальные данные). P3 — средняя мощность нагревателя на стадии выдержки
Процесс / образец | Поз., мм | P3, кВт | Tяч, oС | p, Па | t3, ч | hЭС, мкм | GЭС, мкм/ч | hподл, мкм |
EPI-1 | 85 | 5.3 | 2000 | 0.34 | 1 | 215 ± 10 | 215 | 268 ± 10 |
EPI-2 | 45 | 4.1 | 2000 | 0.33 | 1.6 | 224 ± 15 | 140 | 294 ± 12 |
Полученные образцы отличаются толщинами как эпислоев hЭС, так и подложек hподл, так как обратная сторона подложек свободно сублимировала в пространство под крышкой ячейки. Различия в толщине ЭС обусловлены использованием разных осевых градиентов температуры в ростовой ячейке, что приводит к разной скорости роста слоев. Отметим, что в табл. 1 приведены средние значения скоростей роста GЭС как отношение средней толщины hЭС эпитаксиального слоя к длительности фазы выдержки t3. В действительности, следует ожидать, что вследствие отсутствия ограничивающих рост стадий (напуск инертного газа в стадии нагрева и его откачка перед началом роста, напуск газа для ограничения роста перед стадией охлаждения) существенный рост ЭС возможен до и после стадии выдержки (3) при Tяч > 1800 оС. Поскольку рост слоев проводился при постоянном давлении p, то скорость роста GЭС(t), в первом приближении, будет пропорциональна температуре источника Tист(t) [4].
Для получения более детальной информации о распределении температуры внутри ячейки, оценки динамики процесса осаждения и состава паровой фазы в процессе эпитаксии были использованы методы численного конечно-элементного моделирования. Конечно-элементная модель рассчитывалась в программном пакете мультифизического моделирования COMSOL Multiphisics с использованием геометрии теплового узла, сэндвич-ячейки, физическими свойствами применяемых материалов [5]. В качестве входных параметров использовались экспериментальные данные серии процессов EPI-1—4. Последовательность расчета: 1) решение уравнений теплопереноса (теплопередача в твердых телах и радиационный теплоперенос) при индукционном нагреве с использованием экспериментальной кривой нагрева и температурозависимых свойств материалов в диапазоне 300—3000 K; 2) решение уравнений свободномолекулярного массопереноса в зазоре источник-подложка. В результате была произведена оценка основных параметров процессов и их общая динамика. Рассчитанная динамика температуры источника Tист(t) в сравнении с экспериментальной кривой температуры крышки сэндвич-ячейки Tяч(t) и скорости роста GЭС(t) процессов EPI-1 и EPI-2 показана на рис. 1б.
В табл. 2 приведены основные рассчитанные параметры процессов эпитаксии EPI-1 и EPI-2 из которых можно видеть, что положение подложки относительно индуктора определяет осевой перепад температур ΔT источник-подложка. Рассчитанная стехиометрия η компонентов (Si/C) паровой фазы на стадии выдержки η равна 1.52 и 1.55 для EPI-1 и EPI-2, соответственно. Наилучшая сходимость толщины hЭС и скорости роста GЭС была получена при значениях коэффициентов сублимации и прилипания δ = 0.03 и α = 0.65 соответственно, что согласуется с литературными данными моделирования подобных сэндвич-ячеек [6].
Таблица 2. Данные численного моделирования. GЭС — расчетная средняя скорость роста на стадии выдержки
Процесс | Tист, Со | TЭП, Со | ΔT, K | GЭС, мкм/ч | hЭС, мкм | η3, (отн.ед) |
EPI-1 | 2048 | 2040 | 8 | 184 | 219 | 1.52 |
EPI-2 | 2040 | 2035 | 5 | 127 | 224 | 1.55 |
МЕТОДЫ ИССЛЕДОВАНИЯ
В ранее проведенных нами работах был использован комплексный способ изучения структуры, сочетающий атомно-силовую микроскопию (АСМ) и исследование с помощью ядерного сканирующего микрозонда (ЯСМЗ). Такая комбинация методов позволила получать интересные результаты [7]. АСМ дает представление о структуре поверхности, что необходимо для интерпретации элементного картирования. В свою очередь, результаты ЯСМЗ-картирования полезны для анализа АСМ-изображений в режиме «фазового контраста». На настоящий момент времени ядерный сканирующий микрозонд (ЯСМЗ) является хорошо обоснованным аналитическим методом, нашедшим применение в различных областях науки и производства, и относится к перспективному развивающемуся диагностическому направлению.
В качестве источника ускоренных ионов используется электростатический перезарядный ускоритель ЭГП-10. Ускоряемые ионы: протоны, дейтроны с энергиями до 10 Мэ В. Одним из методов микроструктурного элементного анализа, развивающегося на установке «Микрозонд», является метод RBS (Rutherford Back scattering Spectrometry — резерфордовское обратное рассеяние), основанный на спектрометрии обратно рассеянных заряженных частиц. Этот метод довольно универсален. Основным его преимуществом по сравнению с другими методами анализа на ионных пучках является возможность определения практически всех элементов, за исключением водорода.
При исследовании образцов комплекс «Микрозонд» — ЭГП-10 работал в следующем режиме: протонный пучок с энергией 4 МэВ (анализируемая глубина 25 мкм); средний ток протонов на образцах — 0.01 нА; шаг сканирования — 5 мкм; размер пучка на образце — не более 30×30 мкм; область сканирования 300×300 мкм.
«Микрозонд» обеспечивает, как высокую чувствительность измерений (до 10 ppm), так и анализ распределения элементов по глубине эпислоев Si C.
Особый интерес представляет получение интегральных карт, где представлены все присутствующие в материале элементы. Интегральные элементные карты получали специальной математической обработкой RBS-спектров.
Анализ структуры поверхности образцов исследовался с помощью сканирующего зондового микроскопа СЗМ Solver Next производства ОАО НТ-МДТ, г. Зеленоград. В настоящее время сканирующий зондовый микроскоп является современным, актуальным прибором для получения изображения поверхности и её локальных характеристик, а также для анализа морфологических особенностей материалов. Сканирование поверхности проводилось полуконтактным методом (tapping-mode) в режиме топографии и фазы на воздухе при нормальных условиях, кантилеверы серии NSG10/W2C. Топографическая мода дает данные о рельефе поверхности; фазовая мода — о неоднородностях свойств и химического состава. Результаты сканирования обрабатывали штатным программным модулем обработки изображения Image Analysis 3.5. Анализ параметров структуры поверхности в данной работе проводился на площади 30×30; 10×10 и 5×5 мкм.
РЕЗУЛЬТАТЫ И ИХ ОБСУЖДЕНИЕ
На рис. 2 показаны характерные для поверхности образцов АСМ-изображения. Основными структурными элементами являются ступени роста и пики, образующие отдельную субструктуру. Результаты обработки изображений показали, что количество выступов в образце EPI-1 значительно меньше.
Рис. 2. АСМ-изображения: образец EPI-1 (а), высота ступеней — 0.5 нм, ширина террас 2.76 мкм, число пиков в области — 13; образец EPI-2 (б), высота ступеней — 0.5 нм, ширина террас — 5.61 мкм, число пиков в области — 58.
Представляло интерес определить химическую природу пиков. На рис. 3а и 3б представлены типичные RBS-спектры, полученные на образцах ЭС Si C.
Рис. 3. RBS-спектры образцов EPI-1 (а) и EPI-2 (б). Карты распределения элементов (размер 30 × 30 мкм), образцы EPI-1 (в) и EPI-2 (г).
На спектрах наблюдаются пики кремния (Si), которые можно интерпретировать как области с повышенным его содержанием. Причем эти зоны располагаются в поверхностном слое толщиной ~ 2 мкм. Результаты обработки спектров приведены в табл. 3.
Таблица 3. Элементный состав образцов ЭС SiC
Образец | Расстояние от поверхности, мкм | Содержание Si,% | Содержание C,% |
EPI-1 | 1.5 | 100 | 0 |
2 | Падение от 100 до 50 | Нарастание от 0 до 50 | |
На всю глубину | 50 | 50 | |
EPI-2 | 2.0 | 100 | 0 |
2.2 | Падение от 100 до 50 | Нарастание от 0 до 50 | |
На всю глубину | 50 | 50 |
Специальная математическая обработка RBS-спектров с целью получения интегральных элементных карт показывает, что в поверхностных слоях есть участки с повышенным содержанием Si, углерода (C) и сочетанием Si-C, которые расположены изолированно в виде островковых образований. Пики выделяют структуры с повышенным содержанием компонент относительно усредненных значений на подложке (рис. 3в и 3г).
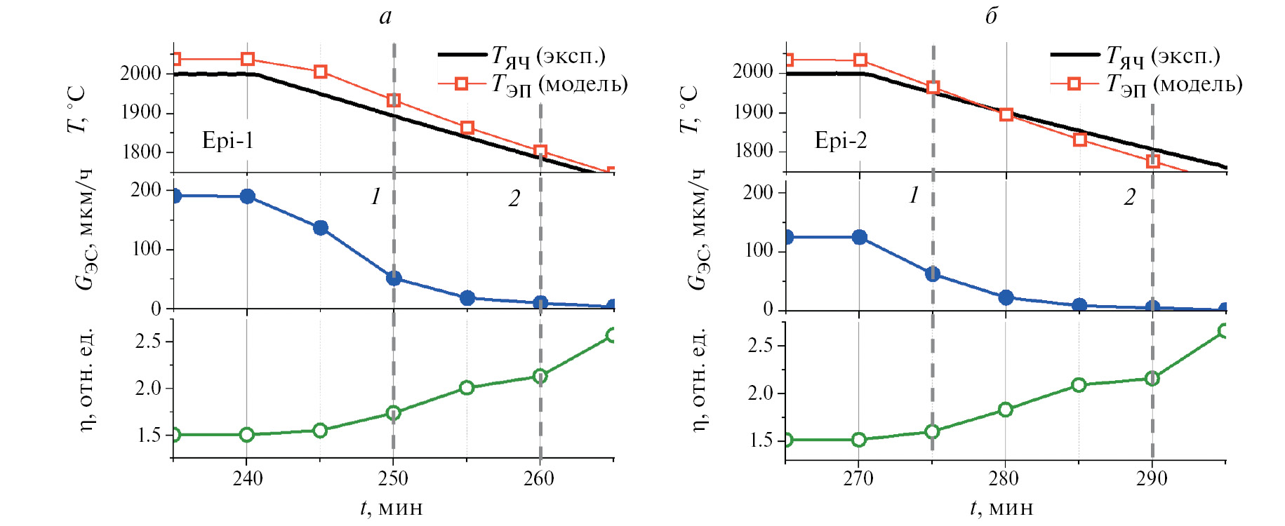
Условия роста на заключительном этапе осаждения ЭС SiC, в частности, при формировании приповерхностного слоя толщиной ~ 2 мкм можно оценить из результатов моделирования. На рис. 4 показаны графики ростовых параметров (TЭП(t) — температура эпитаксиальной поверхности, GЭС(t) — скорость роста, η(t) — стехиометрия паров Si/C) соответствующих этапу формирования таких слоев (области выделены пунктиром) для процессов EPI-1 и EPI-2. Линия 1 соответствует предположительному началу осаждения приповерхностного слоя, а линия 2 — окончанию. Значения параметров сведены в табл. 4. Из представленных данных можно сделать вывод, что осаждение приповерхностных слоев h(1→2) проходило в условиях быстрого охлаждения ~ 13 К/мин, и как следствие, увеличения относительного содержания Si в паровой фазе до η > 2, тогда как на стадии выдержки η3 ≈ 1.5. Поскольку расчет стехиометрии η(T) проводили для равновесной системы SiC [8], то в условиях быстрого охлаждения паровая фаза может перейти в систему SiC-Si с наиболее вероятным образованием жидкого Si. Из-за малого расстояния источник-подложка d = 1 мм, температура подложки с эпислоем TЭП и температура источника Tист при охлаждении уменьшалась с одной и той же скоростью, поэтому конденсация капель Si в процессах EPI-1 и EPI-2 обусловлена пересыщением пара по кремнию. Более высокая концентрация пиков (капель Si) на поверхности образца EPI-2 может быть обусловлена значительно более выраженной ступенчатой ростовой поверхностью (рис. 2б) и более низкой температурой конечной стадии осаждения TЭП = 1777 oC (табл. 4). Образование соразмерных включений углерода и Si-C композиций (рис. 3в и 3г) на одной глубине с включениями Si, указывает на испарение части Si капель в процессе охлаждения с образованием остаточного углеродного включения [9].
Рис. 4. Рассчитанная динамика ростовых параметров в области, соответствующей заключительному этапу роста ЭС SiC EPI-1 (слева) и EPI-2 (справа). Пунктирными линиями отмечена область формирования приповерхностного слоя толщиной ~ 2 мкм. ТЭП (модель) — расчетная температура эпитаксиальной поверхности.
Таблица 4. Рассчитанные ростовые параметры стадии осаждения приповерхностных слоев SiC (по рис. 4)
Процесс | EPI-1 | EPI-2 | ||
Линия | 1 | 2 | 1 | 2 |
TЭП, oC | 1934 | 1805 | 1966 | 1777 |
GЭС, мкм/ч | 52 | 9 | 63 | 5 |
η, отн. ед. | 1.74 | 2.13 | 1.6 | 2.16 |
h(1→2), мкм | 2.17 | 2.4 | ||
Анализ состояния поверхностей образцов и режимов синтеза показал, что, увеличение содержания Si в верхних слоях образцов и несвязанного C могут предшествовать формированию высокодефектных слоев 4H-SiC. Согласно литературным источникам, микрочастицы графита могут приводить к возникновению микропор и пучков дислокаций [10].
Таким образом, с помощью ЯСМЗ можно проводить контроль стехиометрии эпитаксиальных слоев карбида кремния и структурного совершенства поверхностных и приповерхностных слоев.
ЗАКЛЮЧЕНИЕ
Методом ЯСМЗ получен элементный состав ЭС; показано изменение состава по толщине ЭС, которое зависит от технологии (расположения эпиповерхности относительно нагревателя). Внедрение избыточного Si, в первую очередь, связано с динамикой изменения стехиометрии в паровой фазе при сублимирующем источнике SiC и быстром охлаждении в сторону обогащения кремнием (система SiC-Si). Увеличение Si в верхних слоях ЭС может предшествовать формированию высокодефектных слоев 4H-SiC.
About the authors
M. E. Buzoverya
Russian Federal Nuclear Center — All-Russia Research Institute of Experimental Physics
Email: dismos51@gmail.com
Russian Federation, Sarov, 607188
I. A. Karpov
Russian Federal Nuclear Center — All-Russia Research Institute of Experimental Physics
Email: dismos51@gmail.com
Russian Federation, Sarov, 607188
A. Yu. Arkhipov
Russian Federal Nuclear Center — All-Russia Research Institute of Experimental Physics
Email: dismos51@gmail.com
Russian Federation, Sarov, 607188
D. A. Skvortsov
National Research Ogarev Mordovia State University
Author for correspondence.
Email: dismos51@gmail.com
Research Laboratory “Synthesis and Processing of Silicon Carbide Single Crystals”
Russian Federation, Saransk, 430005V. A. Neverov
National Research Ogarev Mordovia State University
Email: dismos51@gmail.com
Research Laboratory “Synthesis and Processing of Silicon Carbide Single Crystals”
Russian Federation, Saransk, 430005B. F. Mamin
National Research Ogarev Mordovia State University
Email: dismos51@gmail.com
Research Laboratory “Synthesis and Processing of Silicon Carbide Single Crystals”
Russian Federation, Saransk, 430005References
- Лучинин В.В., Таиров Ю.М. // Изв. вузов. Электроника. 2011. № 6(92). С. 3.
- Афанасьев А.В., Ильин В.А., Лучинин В.В., Решанов С.А. // Изв. вузов. Электроника. 2020. Т. 25. № 6. С. 483.
- Авров Д.Д., Лебедев А.О., Таиров Ю.М. // Изв. вузов. Электроника. 2015. Т. 20. № 3. С. 225.
- Давыдов С.Ю., Лебедев А.А., Савкина Н.С., Волкова А.А. // ЖТФ. 2005. Т. 75. № 4. С. 114; Davydov S.Yu., Lebedev A.A., Savkina N.S., Volkova A.A. // Tech. Phys. 2005. V. 50. No. 4. P. 503.
- Schöler M., Schuh P., Steiner J., Wellmann P.J. // Mat. Sci. Forum. 2019. V. 963. P. 157.
- Давыдов С.Ю., Лебедев А.А., Савкина Н.С. и др. // ФТП. 2004. Т. 38. № 2. С. 153.
- Гаврилов Г.Е., Бузоверя М.Э., Карпов И.А. и др. // Изв. РАН. Сер. физ. 2022. Т. 86. № 8. С. 1155; Gavrilov G.E., Buzoverya M.E., Karpov I.A. et al. // Bull. Russ. Acad. Sci. Phys. 2022. V. 86. No. 8. P. 956.
- Lilov S.K. // Mater. Sci. Engin. B. 1993. V. 21. P. 65.
- Vasiliauskas R., Marinova M., Hens P. et al. // Cryst. Growth Des. 2012. V.12. P. 197.
- Быков Ю.О., Лебедев А.О., Щеглов М.П. // Неорг. матер. 2020. T. 56. № 9. C. 979.
Supplementary files






