Текстурирование легких осей магнитных наночастиц при затвердевании магнитной суспензии в присутствии внешнего поля
- Авторы: Иванов А.О.1, Соловьева А.Ю.1, Субботин И.М.1, Елфимова Е.А.1
-
Учреждения:
- ФГАОУ ВО «Уральский федеральный университет имени первого Президента России Б.Н. Ельцина»
- Выпуск: Том 88, № 10 (2024)
- Страницы: 1564-1569
- Раздел: Физика магнитных жидкостей и композитных материалов на их основе
- URL: https://medbiosci.ru/0367-6765/article/view/283372
- DOI: https://doi.org/10.31857/S0367676524100101
- EDN: https://elibrary.ru/DSZPDW
- ID: 283372
Цитировать
Полный текст
Аннотация
Затвердевание магнитной суспензии в присутствии магнитного поля позволяет получить феррокомпозит, характеризующийся ориентационной текстурой осей легкого намагничивания наночастиц. При учете межчастичного магнито-дипольного взаимодействия в рамках модифицированной теории среднего поля вычислены характеристики текстурирования. Теоретические предсказания подтверждаются данными компьютерного Монте—Карло моделирования.
Полный текст
ВВЕДЕНИЕ
Магнитополимерные композиты (феррокомпозиты) состоят из магнитных микро- и наночастиц, внедренных в полимерные матрицы [1—8]. Эти материалы относятся к классу «умных материалов» из-за их сильного отклика на магнитные поля, что позволяет управлять их поведением и свойствами. Реакция магнитного наполнителя на приложенное магнитное поле определяется двумя основными физическими механизмами: броуновским вращением частиц и неелеевским вращением магнитных моментов внутри частиц [9, 10]. Для ансамблей магнитных частиц, взвешенных в жидких носителях, имеют место оба механизма. Будучи внедренными в твердую полимерную матрицу, частицы теряют свои поступательные и вращательные степени свободы. В этом случае неелевская релаксация становится основным механизмом, определяющим магнитные свойства ансамблей таких обездвиженных частиц. Одним из современных методов синтеза композитов является добавление магнитных частиц в жидкий раствор полимера с последующим отверждением (полимеризацией) среды [11—14]. Магнитное поле, действующее на суспензию частиц, формирует ориентационную текстуру магнитного наполнителя, которая «замораживается» в процессе полимеризации. В результате композит сохраняет положение частиц и направление их осей легкого намагничивания, созданные до полимеризации. Спецификой внутренней структуры магнитного наполнителя в композите можно управлять с помощью напряженности поля, температуры, концентрации наночастиц и их гранулометрического состава [15—17].
В данной статье теоретически исследовано влияние межчастичного диполь-дипольного взаимодействия магнитных моментов наночастиц на ориентационную текстуру магнитного наполнителя композита, образующегося в процессе затвердевания жидкой матрицы в присутствии внешнего однородного постоянного магнитного поля. Аналогичная задача была решена ранее [18, 19] для случая невзаимодействующих наночастиц. Было показано, что текстурирование легких осей приводит к значительному росту магнитной восприимчивости феррокомпозита в сравнении с исходной магнитной суспензией. Ниже получено, что учет межчастичного взаимодействия, произведенный в рамках метода [20], заметно усиливает ориентационное упорядочение легких осей намагничивания наночастиц вдоль направления внешнего магнитного поля.
МОДЕЛЬ СУПЕРПАРАМАГНИТНОЙ НАНОЧАСТИЦЫ
Рассматривается ансамбль сферических однодоменных наночастиц, взвешенных в некоторой жидкости или полимерном растворе. Каждая частица содержит однородно намагниченное ядро диаметра x ~ 10 - 12 нм и объема vm = πx3/6. Магнитный материал ядра характеризуется намагниченностью насыщения Ms и константой магнитной анизотропии K; соответственно магнитный момент равен m = Msvm. Здесь предполагается также, что материал имеет одноосную магнито-кристаллическую структуру. Частицы покрыты слоем поверхностно-активного вещества для предотвращения необратимой коагуляции, поэтому внешний «гидродинамический» диаметр d превосходит диаметр магнитного ядра. Числовая концентрация частиц есть ρ, и объемная доля частиц есть φ = ρπd3/6. Местоположение каждой -ой частицы определяется радиус-вектором , а направление легкой оси намагничивания определяется единичным вектором ni. Суспензия заполняет емкость в виде длинного цилиндра, вдоль оси которого при некоторой температуре T приложено постоянное однородное магнитное поле . Такая форма образца обеспечивает отсутствие размагничивающего поля, и внутреннее магнитное поле в образце совпадает с внешним приложенным магнитным полем.
Для частиц указанных размеров энергия магнитной анизотропии Kvm может быть сравнимой по величине с тепловой энергией kBT (kB есть постоянная Больцмана); поэтому тепловые флуктуации могут приводить к стохастической переориентации магнитного момента внутри частицы. Это явление, известное как «суперпарамагнетизм», традиционно описывается как вращение магнитного момента внутри частицы, индуцированное тепловыми флуктуациями, в условиях взаимодействия момента с энергетическим барьером, потенциальная энергия которого есть:
. (1)
Здесь есть единичный вектор ориентации i-го магнитного момента. Взаимодействие магнитного момента с внешним полем описывается энергией:
(2)
где единичный вектор направлен вдоль приложенного магнитного поля, и есть магнитная проницаемость вакуума.
Магнитные моменты частиц также взаимодействуют друг с другом посредством парного диполь-дипольного потенциала:
(3)
где вектор связывает центры двух частиц. В дополнение к объемной доле φ поведение суспензии контролируется тремя безразмерными параметрами: безразмерная высота энергетического барьера (1) магнитной анизотропии σ = Kvm /kBT; параметр Ланжевена α = µ0mH/ kBT, определяющий величину энергии взаимодействия (2) магнитного момента феррочастицы с внешним полем по отношению к тепловой энергии; и параметр магнито-дипольного взаимодействия λ = µ0m2/ 4πd3kBT, определяющий характерное значение энергии взаимодействия (3) двух частиц при их контакте по отношению к тепловой энергии. Произведение параметров φ и λ также задает значение восприимчивости Ланжевена χL = µ0ρm2/ 3kBT = 8λφ идеального ансамбля невзаимодействующих частиц.
ОРИЕНТАЦИЯ ЧАСТИЦ В МАГНИТНОМ ПОЛЕ
Приложенное магнитное поле ориентационным образом воздействует на магнитные моменты, задавая преимущественное направление вдоль оси цилиндрического образца. Плотность вероятности того, что случайно выбранный i-ый магнитный момент направлен в некоторую сторону, описывается одночастичной функцией распределения , не зависящей от местоположения частицы в образце [20]. Для случая невзаимодействующих частиц эта функция распределения задается распределением Больцмана и рассчитана в работе [20]. Межчастичное взаимодействие (3) удобно учитывать в рамках разработанного ранее [20] подхода «модифицированного среднего поля», в котором вычисляется эффективное магнитное поле , созданное всеми магнитными частицами ансамбля и действующее на случайно выбранный магнитный момент дополнительно к внешнему полю. Процедура вычисления эффективного поля подробно описана в работе [20], для суспензии взаимодействующих частиц в длинном цилиндрическом образце данное поле оказывается однородным и направленным вдоль оси цилиндра. Это приводит к следующему выражению для функции распределения [20]:
, (4)
в котором вектор имеет компоненты = (0,0,χLL(α)), где введена функция Ланжевена L(α) = cothα - 1/α. Нормирующий множитель ZFF включает усреднение по всем возможным ориентациям магнитного момента и направлениям легкой оси и имеет вид:
(5)
.
Здесь введено обозначение A для суммарного эффективного действующего поля. Множитель ZFF является произведением функций параметров α и σ, и намагниченность MFF суспензии оказывается не зависящей от энергии магнитной анизотропии частиц [20]:
(6)
Ориентационное распределение fFF(ni) по направлениям легких осей следует из функции (4) после ее усреднения по всем возможным направлениям магнитных моментов:
(7)
(8)
где ξi есть угол между вектором и осью цилиндрического образца, вдоль которой направлено внешнее магнитное поле, I0 есть модифицированная функция Бесселя нулевого порядка. В отсутствие внешнего магнитного поля в выражениях (7) и (8) исчезает зависимость от угла ξi, что соответствует равномерному случайному распределению направлений легких осей. В присутствии поля у функции fFF(ξi) появляется два симметричных пика при значениях ξi = 0 и ξi = π, показывающих, что наиболее вероятным направлением легких осей частиц в магнитном поле является направление вдоль поля.
ОРИЕНТАЦИОННАЯ СТРУКТУРА ТЕКСТУРИРОВАННОГО ФЕРРОКОМПОЗИТА
Представим, что при некоторой напряженности Hp приложенного поля и при некоторой температуре Tp происходит «быстрое» затвердевание (или полимеризация) жидкой матрицы. Под «быстрым» затвердеванием мы понимаем процесс, при котором ориентационная структура в ансамбле частиц, созданная полем Hp, не претерпевает заметных искажений при изменении фазового состояния несущей матрицы, теряющей текучесть. Примеры такого «быстрого» затвердевания описаны в работах [12—14]. В дальнейшем величины Hp и Tp будем называть полем и температурой полимеризации.
Созданный таким путем феррокомпозит содержит обездвиженные частицы, оси легкого намагничивания которых упорядочены, т. е. ансамбль частиц представляет собой некоторую зафиксированную ориентационную текстуру. Ориентационное распределение fp легких осей задается выражением (7) при фиксированных значениях параметров полимеризации σp = Kvm/kBTp, αp = µ0mHp/kBTp и λp = µ0m2/4πd3kBTp:
(9)
Следует отметить, что несмотря на факт того, что намагниченность суспензии на зависит от магнитной анизотропии, из уравнения (9) следует сильная зависимость ориентационного распределения fp от значения σp. Физическая причина этой зависимости заключается в энергетическом взаимодействии между направлениями магнитного момента и легкой оси, величина которого контролируется параметром σp. Для случая пренебрежимо слабой магнитной анизотропии при равновесном намагничивании никакой ориентационной текстуры не может быть получено: fp (σp = 0) = 1.
Степень ориентационного упорядочения легких осей удобно описывать с помощью моментов распределения:
, (10)
где Pk(z) есть полиномы Лежандра. Нулевой момент Q0 — это просто нормировка функции распределения, которая всегда равна единице. Первый момент Q1 описывает степень сонаправленности векторов . Очевидно, что он тождественно равен нулю, поскольку ориентации являются равновероятными. Степень параллельности осей легкого намагничивания частиц описывает второй момент, который равен нулю для равномерной случайной конфигурации и равен единице для идеально параллельного выстраивания. С использованием (8) и (9) этот момент может быть вычислен аналитически [14]:
(11)
где функция L3(z) = 1 − 3L(z)/z, L3(0) = 0, L3(∞) = 1 известна под названием третьей функции Ланжевена. Функция
, (12)
была введена в работах [13—15], при малых σ она монотонно возрастает от 1:
,
, (13)
и асимптотически достигает значения 3:
, . (14)
Таким образом, второй момент является возрастающей функцией обеих переменных σp и Ap. Однако, даже при очень сильном поле полимеризации степень параллельности легких осей не равна единице:
(15)
КОМПЬЮТЕРНОЕ МОДЕЛИРОВАНИЕ
Проверка применимости полученных выражений осуществлялась путем проведения компьютерного моделирования методом Монте—Карло для NVT ансамбля из 512 суперпарамагнитных дипольных твердых сфер с использованием периодических граничных условий для кубической расчетной ячейки. Допускались три равновероятных типа движений: трансляционное движение частиц, вращение оси легкого намагничивания частицы вместе с магнитным моментом, вращение магнитного момента отдельно от частицы. В последнем случае также допускался перескок момента для преодоления энергетического барьера [19, 20]. После начальных 106 смещений и вращений на частицу вычислительный период содержал еще 106 Монте—Карло шагов, после которых сохранялись Nc независимых конфигураций в расположениях/ориентациях частиц, которые использовались в дальнейшем как образ феррокомпозита с ансамблем обездвиженных частиц. Моделирование феррокомпозита производилось аналогичным методом без вращения и передвижения частиц. Для уменьшения статистического «шума» в данных моделирования производилось усреднение по Nc независимым конфигурациям феррокомпозита. В работе [19] было показано, что уже десяти конфигураций достаточно для значительного уменьшения шумового влияния. Здесь приводятся более точные данные при значении Nc = 50.
РЕЗУЛЬТАТЫ
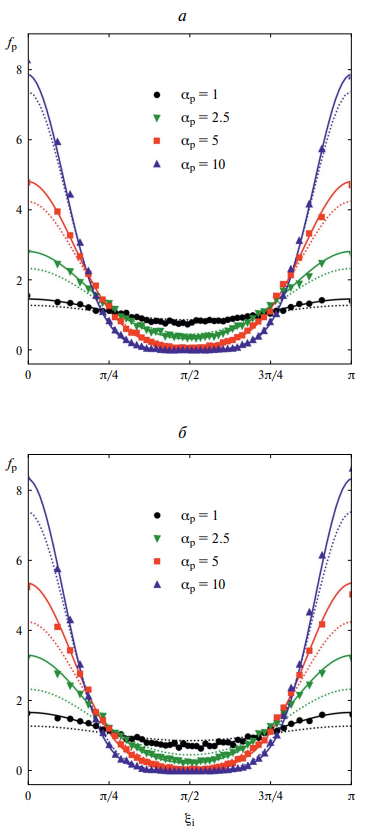
Характерные примеры ориентационного распределения (9) легких осей намагничивания частиц по углу ξi для различных значений параметров, характеризующих условия получения феррокомпозита, приведены на рис. 1. Очевидно, что в относительно слабом поле полимеризации ориентационное распределение очень близко к однородному (черные кривые), т. е. ориентационная текстура фактически не формируется. С усилением поля полимеризации четко прослеживается тенденция к все более сильной ориентации легких осей вдоль направления поля. Здесь же хорошо виден эффект межчастичного взаимодействия: сравнение пунктирных и сплошных кривых для каждого набора параметров демонстрирует факт того, что межчастичное взаимодействие усиливает влияние поля полимеризации в ориентировании легких осей вдоль направления поля.
Рис. 1. Плотность распределения fp легких осей намагничивания по углу ξi для текстурированного феррокомпозита с объемной долей частиц φ = 0.125 и параметром σp = 15 для различных значений поля полимеризации αp = 1 (черные круги), 2.5 (зеленые треугольники), 5 (красные квадраты), 10 (синие треугольники): (a) χL = 1, λp = 1; (б) χL = 2, λp = 2. Символами отмечены результаты компьютерного Монте—Карло моделирования, пунктирные кривые соответствуют случаю невзаимодействующих частиц, сплошными кривыми показаны предсказания настоящей теории (9).
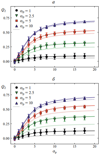
Вполне очевидно, что формирование текстуры существенно зависит от энергии магнитной анизотропии. Этот эффект продемонстрирован на рис. 2, где представлены зависимости второго момента Q2 ориентационного распределения (11) от параметра σp для тех же значений поля полимеризации, что и на рис. 1. Второй момент представляет собой возрастающую функцию σp, поскольку физической причиной разворота не только магнитного момента в поле, но и разворота самой частицы, является энергетическое взаимодействие (1) между магнитным моментом и осью легкого намагничивания, стремящееся выстроить легкую ось и магнитный момент вдоль друг друга. При этом для слабого поля полимеризации заметного текстурирования не наблюдается даже для очень высоких энергий анизотропии (черные кривые). Интересно отметить, что степень параллельности легких осей достаточно далека от предельного значения «единица» даже для высоких значений σp ~ 20 и поля полимеризации αp = 10 и составляет всего 0.7. Межчастичное взаимодействие усиливает воздействие внешнего поля, это видно из сравнения рис. 2а и 2б, при этом наибольший относительный эффект от влияния взаимодействия наблюдается в слабых полях, а в сильных полях поправка, вызванная взаимодействием, оказывается мало существенной. Это вполне понятно, поскольку энергия взаимодействия отдельного магнитного момента и интенсивного магнитного поля намного превосходит характерную энергию межчастичного магнито-дипольного взаимодействия.
Рис. 2. Второй момент Q2 ориентационного распределения в зависимости от параметра анизотропии σp для текстурированного феррокомпозита с объемной долей частиц φ = 0.125 и для различных значений поля полимеризации αp = 1 (черные круги), 2.5 (зеленые треугольники), 5 (красные квадраты), 10 (синие треугольники): (a) χL = 1, λp = 1; (б) χL = 2, λp = 2. Символами отмечены результаты компьютерного Монте—Карло моделирования, пунктирные кривые соответствуют случаю невзаимодействующих частиц, сплошными кривыми показаны предсказания настоящей теории (11).
Из обоих рисунков видно, что предсказания настоящей теории с высокой точностью подтверждаются данными компьютерного моделирования, представленными символами.
ЗАКЛЮЧЕНИЕ
Рассмотрена ситуация, в которой текстурированный феррокомпозит формируется из феррожидкости путем быстрого затвердевания (или полимеризации) жидкой матрицы при некоторой температуре при наличии внешнего постоянного магнитного поля (поля полимеризации). Во время этого затвердевания устанавливается некоторое равновесное распределение легких осей магнитных наночастиц в результате баланса между зеемановской энергией взаимодействия магнитных моментов с полем, тепловой энергией и энергией межчастичного взаимодействия магнитных моментов. Такое ориентационное текстурирование означает, что возникает выделенная линия, вдоль которой преимущественно направлены оси легкого намагничивания частиц.
Показано, что при реалистичных значениях температуры и напряженности поля полимеризации частицы демонстрируют достаточно низкий уровень выравнивания легких осей в текстурированном феррокомпозите. Лучше всего это видно по данным второго момента (11), значения которого далеки от единицы (рис. 2), что соответствует абсолютно идеальному выравниванию. При этом межчастичное магнито-дипольное взаимодействие способствует текстурированию за счет создания суммарного магнитного поля (9), эффективно усиливающего внешнее.
Для подтверждения полученных теоретических результатов и проверки аналитических выражений проведено компьютерное моделирование методом Монте—Карло. Усредняя данные моделирования по нескольким десяткам микроструктурных конфигураций в позициях частиц и ориентациях их легких осей намагничивания, получено очень точное количественное согласие между теорией и данными компьютерного моделирование для случая слабо и умеренно взаимодействующих частиц.
Работа выполнена при поддержке Российского научного фонда (проект № 23-12-00039).
Об авторах
А. О. Иванов
ФГАОУ ВО «Уральский федеральный университет имени первого Президента России Б.Н. Ельцина»
Автор, ответственный за переписку.
Email: Alexey.Ivanov@urfu.ru
Россия, Екатеринбург
А. Ю. Соловьева
ФГАОУ ВО «Уральский федеральный университет имени первого Президента России Б.Н. Ельцина»
Email: Alexey.Ivanov@urfu.ru
Россия, Екатеринбург
И. М. Субботин
ФГАОУ ВО «Уральский федеральный университет имени первого Президента России Б.Н. Ельцина»
Email: Alexey.Ivanov@urfu.ru
Россия, Екатеринбург
Е. А. Елфимова
ФГАОУ ВО «Уральский федеральный университет имени первого Президента России Б.Н. Ельцина»
Email: Alexey.Ivanov@urfu.ru
Россия, Екатеринбург
Список литературы
- Behrens S. // Nanoscale. 2011. V. 3. No. 3. P. 877.
- Hafeez M.A., Usman M., Umer M.A., Hanif A. // Polymers. 2020. V. 12. No. 12. Art. No. 3023.
- Lu Q., Choi K., Nam J.D., Choi H.J. // Polymers. 2021. V. 13. No. 4. Art. No. 512.
- Костишин В.Г., Шакирзянов Р.И., Исаев И.М. и др. // Изв. РАН. Сер. физ. 2022. Т. 86. № 5. С. 735; Kostishin V.G., Shakirzyamov R.I., Isaev I.M. et al. // Bull. Russ. Acad. Sci. Phys. 2022. V. 86. No. 5. P. 618.
- Филиппова Ю.А., Папугаева А.В., Панов Д.В. и др. // Изв. РАН. Сер. физ. 2023. Т. 87. № 12. С. 1813; Filippova Yu.A., Papugaeva A.V., Panov D.V. et al. // Bull. Russ. Acad. Sci. Phys. 2023. V. 87. No. 12. P. 1885.
- Долуденко И.М., Хайретдинова Д.Р., Загорский Д.Л. и др. // Изв. РАН. Сер. физ. 2023. Т. 87. № 3. С. 321; Doludenko I.M., Khairetdinova D.R., Zagorsky D.L. et al. // Bull. Russ. Acad. Sci. Phys. 2023. V. 87. No. 3. P. 277.
- Петров Д.А. // Изв. РАН. Сер. физ. 2023. Т. 87. № 3. С. 402; Petrov D.A. // Bull. Russ. Acad. Sci. Phys. 2023. V. 87. No. 3. P. 348.
- Ганьшина Е.А., Припеченков И.М., Перова Н.Н. и др.// Изв. РАН. Сер. физ. 2023. Т. 87. № 3. С. 328; Ganshina E.A., Pripechenkov I.M., Perova N.N. et al. // Bull. Russ. Acad. Sci. Phys. 2023. V. 87. No. 3. P. 282.
- Шлиомис М.И. // УФН. 1974. Т. 112. С. 427; Shliomis M.I. // Sov. Phys. Usp. 1974. V. 17. No. 2. P. 153.
- Розенцвейг Р. Феррогидродинамика. М.: Мир, 1989. 357 с.
- Filipcsei G. Csetneki I., Szilágyi A., Zrínyi M. // Adv. Polymer Sci. 2007. V. 206. P. 137.
- Borin D.Yu., Odenbach S. // J. Phys. Cond. Matter. 2009. V. 21. No. 24. Art. No. 246002.
- Stepanov G.V., Borin D.Y., Kramarenko E.Y. et al. // Polymer Sci. Ser. A. 2014. V. 56. No. 5. P. 603.
- Deuflhard M., Eberbeck D., Hietschold P. et al. // Phys. Chem. Chem. Phys. 2019. V. 21. No. 27. P. 14654.
- Radushnov D.I., Solovyova A.Yu., Elfimova E.A. // Nanoscale. 2022. V. 14. No. 29. P. 10493.
- Радушнов Д.И., Соловьева А.Ю., Елфимова Е.А. // ЖЭТФ. 2023. Т. 163. № 1. С. 87; Radushnov D.I., Solovyova A.Yu., Elfimova E.A. // JETP. 2023. V. 136. No. 1. P. 72.
- Radushnov D.I., Solovyova A.Yu., Elfimova E.A. // Polymers. 2023. V. 15. No. 12. Art. No. 2678.
- Raikher Y. // J. Magn. Magn. Mater. 1983. V. 39. No. 1—2. P. 11.
- Solovyova A.Yu., Elfimova E.A., Ivanov A.O. // Phys. Rev. E. 2021. V. 104. No. 6. Art. No. 064616.
- Elfimova E.A., Ivanov A.O., Camp P.J. // Nanoscale. 2019. V. 11. No. 45. Art. No. 21834.
Дополнительные файлы




