Features of microwave photoconductance of quantum point contact and silicon field effect transistor
- Authors: Jaroshevich A.S.1, Tkachenko V.A.1,2, Kvon Z.D.1,2, Kuzmin N.S.2, Tkachenko O.A.1, Baksheev D.G.2, Marchishin I.V.1, Bakarov A.K.1, Rodyakina E.E.1,2, Antonov V.A.1, Popov V.P.1, Latyshev A.V.1,2
-
Affiliations:
- Rzhanov Institute of Semiconductor Physics of the Siberian Branch of the Russian Academy of Sciences
- Novosibirsk State University
- Issue: Vol 88, No 9 (2024)
- Pages: 1495–1502
- Section: Quantum Optics and Quantum Technologies
- URL: https://medbiosci.ru/0367-6765/article/view/283465
- DOI: https://doi.org/10.31857/S0367676524090249
- EDN: https://elibrary.ru/OCDTLA
- ID: 283465
Cite item
Full Text
Abstract
Quantum point contacts with a short (100 nm) channel in a high mobility two-dimensional electron gas of GaAs/Al(Ga)As heterostructures and a short-channel p-type field-effect transistor in a silicon-on-insulator structure were fabricated and studied experimentally and by modeling at the Institute of Semiconductor Physics of the Siberian Branch of the Russian Academy of Sciences in order to study the response of samples to weak irradiation by an electromagnetic field with a frequency of ~2 GHz. This response in the tunnel mode at a temperature of 4.2 K turned out to be gigantic and was observed against the background of features caused by impurity disorder.
Full Text
Введение
В связи с поиском новых фотоэлектрических явлений большой интерес представляет отклик квантового точечного контакта (КТК) и полевого транзистора (ПТ) на действие внешних высокочастотных полей. Эти два устройства близки друг к другу по управляемости, и за несколько десятилетий хорошо изучены основные свойства КТК в высокоподвижном двумерном электронном газе (ДЭГ) гетероструктур GaAs/Ga(Al)As [1–11] и кремниевого ПТ [12–23]. ПТ является главным элементом в интегральных микросхемах и первой реализацией двумерных электронных, либо дырочных квантовых систем [15, 16]. В свою очередь, в КТК были экспериментально открыты ступенчатое квантование кондактанса в единицах G0 = 2e2/h [1, 2] в нулевом магнитном поле и загадочная плечеподобная особенность 0.7G0 [4, 5]. Это наноустройство простейшим образом иллюстрирует темы про непрерывный спектр и коэффициент прохождения из учебной квантовой механики [3, 24], а также про мезоскопические системы [25], квантовую когерентность, формулу Ландауэра [26, 27] и электрон-электронное взаимодействие [4–9] в мезоскопическом транспорте [25–31]. Случайные особенности кондактанса являются слабыми и редкими в типичных КТК, поскольку ДЭГ обычно формируется методами удаленного легирования. Напротив, при низких температурах ПТ представляет собой более сложную мезоскопическую систему из-за сильного беспорядка в канале, так как кремний под изолятором обычно легирован примесями n- и p-типа, и канал находится в концентрированной среде локализованных зарядов. Соответственно, мезоскопические особенности в подпороговом режиме являются сильными и частыми [17–23]. Обсуждались разные механизмы мезоскопического транспорта в ПТ: перколяция [16], прыжковая проводимость [18–20], резонансное туннелирование [18, 19] и кулоновская блокада последовательного туннелирования [21, 22]. В связи с изучением влияния электромагнитных полей на электронные наносистемы в ряде работ был измерен отклик транспорта в КТК и ПТ на сигналы с частотой f ~ 1 ГГц, которая является низкой по сравнению с τ–1, где τ-характерное время прохождения носителей через канал [32–43]. Недавно найдено, что этот отклик может быть гигантским и иметь простое объяснение в модели одночастичного туннелирования при нулевой температуре [41–43]. Однако в эксперименте для этого требуются особые условия: обычный для ПТ, но редкий для КТК короткий канал (L ≈ 100 нм); малое напряжение сток-исток V < kBT/e и редко получаемый в КТК, но обычный для ПТ режим низкого кондактанса G < 10–3G0, а также подача малой мощности от СВЧ-генератора на образец через общую точку заземления и слабое электромагнитное поле без влияния на температуру носителей T = 4.2 К. В данной статье мы представляем основные результаты этих работ.
Результаты и их обсуждение
В этом разделе сначала дается краткое описание изучаемых нами образцов с КТК и ПТ, сообщается о двух способах измерения кондактанса образцов при температуре T = 4.2 К и подведения высокой частоты (2.4 ГГц) к образцам от генератора микроволн. Затем для случаев КТК и ПТ приводятся результаты измерения затворных характеристик кондактанса и зависимостей этих характеристик от регулируемого ослабления мощности на выходе из генератора высокой частоты. Для этих КТК и ПТ даются краткие описания соответственно простой и сложной модели потенциала в уравнении Шредингера и транспорта носителей в пределе нулевой температуры. Результаты расчетов кондактанса по этим моделям приводятся вслед за результатами соответствующих измерений для сравнения эксперимента с теорией. Обсуждение дается вместе с пояснением к рисункам.
Образцы и четырех-терминальные измерения кондактанса КТК в холловском мостике показаны микрографиями и схематически на рис. 1. Длина канала в КТК в данном случае [41, 42] гораздо меньше, чем была в типичных КТК [1–11], которые сделали возможным изучение квантования кондактанса, но не позволяли измерять кондактанс в глубоком туннельном режиме из-за быстрого увеличения толщины туннельного барьера на уровне Ферми с ростом обедняющего Vg. Напротив, при одинаково малых ширине и длине канала квантование кондактанса не наблюдаемо, согласно теоретическому предсказанию [3], но образцы подходят для изучения туннелирования вплоть до G~10–5G0 [41, 42]. В этом случае канал формировался по стандартной технологии расщепленного затвора, размещенного между потенциометрическими контактами холловского мостика с помощью взрывной электронной литографии по Au/Al (рис. 1а, 1б). Управляемые затворным напряжением Vg сужения в ДЭГ были исследованы в гетероструктурах трех типов, чтобы проверить чувствительность свойств КТК к использованию глубоких, либо мелких примесных центров и разного расположения плоскостей Si-δ-легирования относительно плоскости ДЭГ. Эти три типа гетероструктур представляли собой: 1) обычный гетеропереход AlGaAs/GaAs с Si-δ-легированным AlGaAs; 2) гетеропереход с заменой AlGaAs на короткопериодную сверхрешетку (СР) GaAs/AlAs с Si-δ-легированным ультратонким слоем GaAs в СР; 3) двойной гетеропереход – квантовую яму GaAs в окружении двух таких СР, как в типе 2. Концентрация электронов 𝑁s в ДЭГ, их подвижность µ и длина свободного пробега 𝑙 были для структуры первого типа: 𝑁s = = (3–4)∙1011 см–2, µ = (2–3)∙105 см2/Вс, 𝑙 = (2–3) мкм; для структуры второго типа: 𝑁s = (2–3)∙1011 см–2, µ = (1–2)∙106 см2/Вс, 𝑙 = (5–10) мкм и структуры третьего типа: 𝑁s = (7–8)∙1011 см–2, µ = (1–2)∙106 см2/Вс, 𝑙 = (20–30) мкм. Конструкции гетероструктур подробно описаны в [42]. Во всех случаях типичное расстояние между ДЭГ и металлическим затвором составляло ≈ 100 нм, и трудно получить характерную длину сужения в ДЭГ в таких структурах меньше 100 нм из-за размывания неоднородностей электрического поля затвора в глубине полупроводника. Дополнительно к серии образцов с номинально одинаковыми конструкциями расщепленного затвора для получения КТК в этих гетероструктурах, мы исследовали свойства короткоканального ПТ с носителями p-типа в структуре кремний на изоляторе [43]. Этот образец показан микрографией и схематически вертикальным разрезом на рис. 1 в,г. с указанием характерных размеров, типа и концентрации распределенного примесного легирования. Образец изготовлен по стандартной технологии для ПТ, функционирующих при комнатной температуре [14]. Рабочим телом ПТ служил остров кремния толщиной ≈500 нм на захороненном изоляторе SiO2. Исходно остров был объемно легирован n-типом (фосфором) и имел сильно легированные бором области p-типа, служившие истоком и стоком и имевшие тонкие по z расширения p-типа под рабочей границей Si/SiO2 вплоть до подзатворной области короткого (L ≈ 70 нм) канала n-типа. Над этой областью выше тонкого (4.5 нм) слоя термического SiO2 находился поликремниевый сильно легированный примесями p-типа затвор (G). Затвор, исток и сток контактировали с подводящими Al-электродами. В данном случае дистанция между затвором и каналом гораздо меньше, чем в структурах с ДЭГ и КТК, поэтому длина канала определяется в ПТ длиной затвора, а она нанолитографией может быть сделана гораздо меньше 100 нм [21–23].
Рис. 1. Схематическое изображение 4-терминальных измерений кондактанса КТК (а). Микрография части холловского мостика; на вынесенной части показан расщепленный затвор КТК (б). Микрография образца с ПТ; на вынесенной части показан фрагмент затвора (в). Схематическое изображение вертикального разреза ПТ с указанием материалов и уровней легирования n- и p-типа (г).
Измерения кондактанса G ≡ I /V при 4.2 К проводились с использованием стандартной схемы фазочувствительного детектирования на частотах 2–6 Гц при малом задаваемом переменном напряжении между истоком и стоком V ~ 0.1 мВ (eV < kBT) в случае двухтерминального измерения кондактанса образцов с КТК или ПТ, а также при малом задаваемом токе I ~ 0.1 нА в случае четырехтерминальных измерений кондактанса промежутка между потенциометрическими контактами в холловском мостике. Двухтерминальные и четырехтерминальные измерения давали одинаковые результаты при не самом глубоком туннельном режиме КТК, чтобы для измеряемого напряжения при фиксированном токе выполнялось eV < kBT.
Аналогично [41] электромагнитное поле с частотой f = 2.44 ГГц подводилось к образцам с ПТ и КТК по коаксиальному кабелю, открытый конец которого располагался в нескольких миллиметрах от образца. В случае двухтерминальных измерений экран кабеля от генератора микроволн был заземлен в общей точке вместе c металлическим держателем образца в сосуде Дьюара и оплетками таких же коаксиальных кабелей, идущих от источников напряжений V и Vg. В случае четырехтерминальных измерений экран кабеля от генератора микроволн был заземлен в дополнительной точке вместе с одним из токовых контактов к ДЭГ. В этих случаях малые (~1 мм) части всех подводящих проводников не экранированы своими оплетками и связаны между собой по высокой частоте, благодаря электрическим емкостям между концами центральных жил и оплетками кабелей и благодаря указанным заземлениям. Кроме того, на образец действуют высокочастотные электрические поля, вводимые в объем открытым концом кабеля от генератора микроволн, а в замкнутой основной цепи существует еще и наведенная высокочастотным магнитным полем ЭДС. Важно, что этот дистанционно и электрически распределенный механизм подведения высокой частоты к образцу дает гораздо меньшую амплитуду высокочастотных колебаний тока и напряжений по сравнению с обычным подключением КТК или ПТ к генератору высокой частоты f = (108 – 1010) Гц [32–40], когда сигнал от него подавался через соединение жилы коаксиального кабеля с одним из токовых контактов к образцу подавался, либо с затвором.
Измеренные зависимости G(Vg, P) коротких КТК при 4.2 К представлены на рис. 2. для некоторых образцов в трех упомянутых типах гетероструктур. Независимой переменной на данном рисунке служит величина Vgeff = Vg – Vg (G0, P = 0), что удобно из-за чувствительности кондактанса к деталям формирования КТК. Кондактанс приводится в логарифмическом масштабе, а отношение мощности на выходе из генератора микроволн P к максимальной величине P0 = 1Вт дается в децибелах. Интервал показа кондактанса охватывает туннельный режим и существенную часть открытого режима КТК: G ≥ 0.5G0 при P = 0. Из рис. 2 видна основная тенденция в поведении изученных образцов: в туннельном режиме кондактанс зависит от Vg экспоненциально, увеличиваясь на порядки с ростом P от P = 0 (–100 дБ) до P = 1 мВт (–30 дБ). Относительная величина фотокондактанса G(P)–G (P = 0) в глубоком туннельном режиме является гигантской при P = 1 мВт. На выходе из туннельного режима при G ~ 0.5G0 зависимость logG(Vg, P) существенно ослабляется. Анализируя рис. 2 легко заметить, что кроме основной тенденции на показанных зависимостях есть детали, которые при G > 0.2G0 лучше были бы видны в линейном масштабе [41, 42]. Речь идет о предсказанном в [3] линейном росте кондактанса в открытом режиме короткого КТК, а также об изломе при (0.5–0.7) G0, который обычно присутствует на измеренных G(Vg) не только в типичных [4–11], но и в коротких [35, 38, 41, 42] КТК. В логарифмическом масштабе кондактанса этот излом заметен при P → 0 для КТК в гетероструктурах типа 1 и 2 (рис. 2б и 2в). Интересно, что в ожидаемом месте его нет в случае образца в гетероструктуре типа 3 (рис. 2а и 2г), но в туннельном режиме при разном охлаждении этого образца форма кривых G(Vg) оказалось довольно разной. Это простые экспоненты на рис. 2а при G ≤ 0.1G0, но в том же диапазоне кондактанса все кривые на рис. 2г имеют плечеподобные особенности. В случаях КТК в гетероструктурах типа 1 и 2 резкие ступеньки обнаружены в туннельном режиме на нескольких кривых при P ≤ 0.01 мВт (рис. 2б) и при P ~ 0.1 мВт (рис. 2в). Их высота повышается с ростом P при сохранении положения ступеней по Vg. Поскольку картина ступеней индивидуальна для каждого образца и процедуры охлаждения, то ступени есть результат влияния на кондактанс замороженных случайных расположений локализованных зарядов в Si-δ-легированных слоях. Как видно из рис. 2, относительное изменение кондактанса с ростом P при переходе в открытый режим становится гораздо меньше, чем в глубоком туннельном режиме, например в открытом режиме фотокондактанс G(P)–G (P = 0) слабо (и медленно по Vg) колеблется, меняя свой знак (рис. 2б). Однако при другом охлаждении того же самого образца в гетероструктуре типа 1 фотокондактанс был положительным везде в туннельном и открытом режимах КТК [42]. Напротив, фотокондактанс в открытом режиме на рис. 2а в является отрицательным, приближаясь по модулю к G0, когда G(Vg)/G0 при P = 0 становится гораздо больше единицы [41]. При этом есть своего рода критическая точка: смена знака фотокондактанса происходит независимо от P приблизительно при одном и том же значении кондактанса, но на рис. 2a эта точка лежит выше G0, а на рис. 2в ниже 0.5G0.
Рис. 2. Измеренные при T = 4.2 К зависимости G(Vg, P) для 3 образцов с КТК: один и тот же образец в гетероструктуре типа 3 для двух разных охлаждений (а, г); образцы в гетероструктурах типа 1 и 2 соответственно (б, в).
Основные тенденции, видные из рис. 2, воспроизводятся предельно простой моделью КТК, построенной в [41], исходя из [3], учебной задачи по квантовой механике о барьере Эккарта U0ch–2(x/L) и формулы Ландауэра: G = G0∙D, где D – полный коэффициент прохождения электрона через сужение в ДЭГ при T = 0. Результаты расчетов кондактанса КТК по этой модели показаны на рис. 3. Хорошо видно, что тенденции поведения кондактанса и фотокондактанса описываются моделью, хотя она не дает 0.7G0-аномальной особенности и мезоскопических ступенек кондактанса КТК в туннельном режиме.
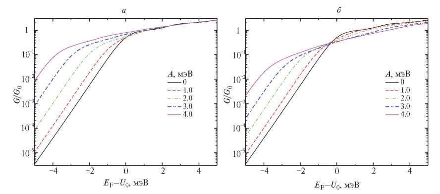
Рис. 3. Зависимости G(EF–U0, A) для T = 0 в квазиодномерной модели транспорта через идеализированный КТК для двух разных значений параметра δV : δV = 0; (а) 0 < δV ≈ V (б) (синфазные высокочастотные колебания напряжения между потенциометрическими контактами и потенциального барьера под затвором относительно EF).
Поясним, что в данной модели прохождение электрона через сужение в ДЭГ предполагается квазиодномерным и практически мгновенным из-за небольшой частоты f = 2.44 ГГц вынужденных колебаний потенциала седловой точки и напряжения между потенциометрическими контактами в холловском мостике: δVcos(ωt), ω = 2πf. Это позволяет при реалистических параметрах КТК в ДЭГ свести задачу к аналитическому решению стационарного уравнения Шредингера с разделяющимися переменными x, y. Ход одномерных подзон для вычисления полного коэффициента прохождения D брался в виде барьера Эккарта En(x) = = [Un + Acos(ωt)]ch–2(x/L), где Un = U0 + nħωy. Кондактанс в пределе T = 0 находился из условия равенства средних по времени величин тока I(t) и произведения G0∙D(t)∙[V + δVcos(ωt)]. В данной модели независимой переменной является величина EF–U0, которая почти пропорциональна Vgeff, а амплитуда A осцилляций высоты барьера пропорциональна P0.5. Параметрами служат характерная ширина барьера L = 100 нм, характерные энергии ħωx ≈ ħωy = 1.5 мэВ в седловой точке потенциала [3] и амплитуда высокочастотных осцилляций δV, которая по модулю предполагалась меньше или равной амплитуде низкочастотных осцилляций напряжения V, но могла иметь разный знак [осцилляции в фазе или в противофазе с осцилляциями высот потенциальных барьеров En(x)]. Задание δV определяло поведение и знак модельного фотокондактанса в окрытом режиме КТК (рис. 3). В связи с этим упомянем работы [38, 39], в которых на затвор и один из токовых контактов КТК одновременно подавались высокочастотные напряжения с управляемым сдвигом по фазе. Обнаружено, что кондактанс устройства заметно различался, когда эти осцилляции были в фазе, либо в противофазе. В нашем случае нечто подобное видно из сравнения случая δV = 0 на рис. 3a и рис. 2б, а также из сравнения рис. 2в и рис. 3б, для которого амплитуда δV бралась положительной (высокочастотные осцилляции высоты барьера и напряжения в фазе) и равной амплитуде V измеряемых низкочастотных колебаний напряжения.
Перейдем теперь к экспериментальным результатам [43] по кремниевому ПТ p-типа, показанному на рис. 1в и 1г. Измеренная при T = 4.2 К зависимость кондактанса этого устройства от затворного напряжения и мощности на выходе из генератора микроволн G(Vg, P) представлена на рис. 4а. Видно, что кондактанс увеличивается при изменении Vg в сторону отрицательных значений, поскольку носителями являются дырки. При этом экспоненциально быстрый рост G(Vg) в подпороговом режиме сменяется при любых P режимом насыщения кондактанса. Порог находится возле слабо зависящих от P-значений G ~ 10–2G0. Ниже порога на зависимостях G(Vg) при малых P наблюдаются мезоскопические проявления примесного беспорядка – высокие узкие ступени, покрытые частыми пиками и провалами кондактанса. Если не обращать внимания на эти проявления, то основная тенденция в подпороговом режиме заключается в сдвиге кривых в правую сторону с ростом P, что ведет к увеличению кондактанса на порядки при фиксированных Vg. Напротив, в режиме насыщения при фиксированных Vg наблюдается повышение кондактанса с ростом P в пределах одного порядка. Сравнение рис. 4a c рис. 2 и рис. 3 показывает, что основная тенденция поведения фотокондактанса в подпороговом режиме ПТ аналогична той, что была в туннельном режиме КТК. Есть даже сходство в наличии резких ступеней, высота которых быстро растет с увеличением P. Зависимости G(Vg) в режиме насыщения в ПТ и в открытом режиме КТК сходны по простоте, и на них нет частых особенностей. Различие заключается в выходе G(Vg) почти на постоянные асимптотические значения Gas < G0 в ПТ и на наклонные прямые в КТК. При этом относительная величина фотокондактанса Gas(P)/Gas(0)-1 положительная и большая, а величина G(P)/G(0)-1 в открытом режиме КТК является малой по модулю и может быть отрицательной. Отмеченное сходство поведения G(Vg, P) на рис. 2 и рис. 4а указывает на возможность в ПТ такой же базовой разновидности мезоскопического транспорта [25–31], как в КТК, т. е. в рамках одночастичной квантовой механики [24] и формулы Ландауэра [26, 27].
Рис. 4. Измеренная при T = 4.2 К зависимость G(Vg, P) для кремниевого ПТ (а). Вычисленная зависимость кондактанса промежутка исток-сток от переменных U0 и A в модели двумерного транспорта дырок через ПТ для T = 0 и EF = 12 мэВ с учетом беспорядка в двумерном потенциале и параметра Gs ≡ 1/Rs(A) (б).
На рис. 4б показан результат численного расчета поведения кондактанса в модели одночастичного квантового транспорта дырок при T = 0 в двухтерминальной (размером 1 мкм по x и y) мезоскопической системе с потенциалом, учитывающим примесный беспорядок и вынужденные высокочастотные осцилляции потенциала под затвором относительно уровня Ферми. Потенциал был суммой плавного барьера [U0 + Acos(ωt)]ch–4(x/L) и случайного двумерного потенциала, который отвечал существованию коротковолнового и длинноволнового беспорядка из-за шероховатости границы Si/SiO2 и примесей разного типа возле канала кремниевого ПТ. На рис. 4б показана вычисленная зависимость G(U0, A) в случае L = 150 нм, EF =12 мэВ. При сравнении с экспериментальной зависимостью (рис. 4а) предполагалась линейная связь U0 с Vg и пропорциональность амплитуды A величине P0.5. Расчет кондактанса проводился с помощью программы Kwant [44] с использованием вычислительных ресурсов Межведомственного суперкомпьютерного центра РАН. Частые мезоскопические особенности в подпороговом режиме ПТ на модельных кривых при T = 0 и достаточно сильном беспорядке ярче выражены, чем на экспериментальных кривых при T = 4.2 К. Поведение асимптотической величины Gas(A) на рис. 4б подобно измеренному Gas(P) на рис. 4а благодаря феноменологическому учету последовательного сопротивления Rs(А) длинных p-легированных областей, соединяющих короткий канал с сильно легированными стоком и истоком (см. рис. 1в и 1г). По вертикали на рис. 4б отложена величина ожидаемого кондактанса всего промежутка исток–сток с учетом поправки из-за Gsс ≡ 1/Rs. Заметим, что для объяснения прежних результатов экспериментов с разными ПТ при низких температурах и низком кондактансе использовались (на основании измерений и без обращения к численному моделированию) другие базовые механизмы мезоскопического транспорта: перколяция [16], прыжковая проводимость [18–20], резонансное туннелирование [18, 19] и кулоновская блокада последовательного туннелирования [21, 22]. Представленные в [43] и здесь результаты поддерживают простую идею одночастичного квантового рассеяния на сложном потенциале с сильным беспорядком для объяснения обнаруженного поведения короткоканального ПТ p-типа, но для большей надежности выводов в дальнейшем требуются дополнительные эксперименты и расчеты.
Заключение
Таким образом, были экспериментально и численно исследован микроволновый (f = 2.44 ГГц) фотокондактанса короткоканальных КТК и ПТ. В туннельном режиме КТК и ПТ обнаружен гигантский фотоотклик кондактанса на облучение устройств микроволнами и найдены проявления примесного беспорядка в виде ступеней на затворных характеристиках и частых особенностей пик-провал в случае ПТ. В открытом режиме КТК обнаружена чувствительность величины и знака фотокондактанса к деталям изготовления и охлаждения образцов. Найденные эффекты промоделированы в рамках механизма одночастичного квантового рассеяния при адиабатически медленных вынужденных осцилляциях эффективного потенциала внутри мезоскопической системы.
Использованы вычислительные ресурсы Межведомственного суперкомпьютерного центра РАН, теоретическая часть работы выполнена по государственному заданию (НИР № 223020701075-5). Экспериментальная часть работы выполнена по государственному заданию ИФП СО РАН.
About the authors
A. S. Jaroshevich
Rzhanov Institute of Semiconductor Physics of the Siberian Branch of the Russian Academy of Sciences
Author for correspondence.
Email: jarosh@isp.nsc.ru
Russian Federation, Novosibirsk
V. A. Tkachenko
Rzhanov Institute of Semiconductor Physics of the Siberian Branch of the Russian Academy of Sciences; Novosibirsk State University
Email: jarosh@isp.nsc.ru
Russian Federation, Novosibirsk; Novosibirsk
Z. D. Kvon
Rzhanov Institute of Semiconductor Physics of the Siberian Branch of the Russian Academy of Sciences; Novosibirsk State University
Email: jarosh@isp.nsc.ru
Russian Federation, Novosibirsk; Novosibirsk
N. S. Kuzmin
Novosibirsk State University
Email: jarosh@isp.nsc.ru
Russian Federation, Novosibirsk
O. A. Tkachenko
Rzhanov Institute of Semiconductor Physics of the Siberian Branch of the Russian Academy of Sciences
Email: jarosh@isp.nsc.ru
Russian Federation, Novosibirsk
D. G. Baksheev
Novosibirsk State University
Email: jarosh@isp.nsc.ru
Russian Federation, Novosibirsk
I. V. Marchishin
Rzhanov Institute of Semiconductor Physics of the Siberian Branch of the Russian Academy of Sciences
Email: jarosh@isp.nsc.ru
Russian Federation, Novosibirsk
A. K. Bakarov
Rzhanov Institute of Semiconductor Physics of the Siberian Branch of the Russian Academy of Sciences
Email: jarosh@isp.nsc.ru
Russian Federation, Novosibirsk
E. E. Rodyakina
Rzhanov Institute of Semiconductor Physics of the Siberian Branch of the Russian Academy of Sciences; Novosibirsk State University
Email: jarosh@isp.nsc.ru
Russian Federation, Novosibirsk; Novosibirsk
V. A. Antonov
Rzhanov Institute of Semiconductor Physics of the Siberian Branch of the Russian Academy of Sciences
Email: jarosh@isp.nsc.ru
Russian Federation, Novosibirsk
V. P. Popov
Rzhanov Institute of Semiconductor Physics of the Siberian Branch of the Russian Academy of Sciences
Email: jarosh@isp.nsc.ru
Russian Federation, Novosibirsk
A. V. Latyshev
Rzhanov Institute of Semiconductor Physics of the Siberian Branch of the Russian Academy of Sciences; Novosibirsk State University
Email: jarosh@isp.nsc.ru
Russian Federation, Novosibirsk; Novosibirsk
References
- Van Wees B.J., Van Houten H., Beenakker C.W.J. et al. // Phys. Rev. Lett. 1988. V. 60. No. 9. P. 848.
- Wharam D., Thornton T.J., Newbury R. et al. // J. Physics C. 1988. V. 2. No. 8. Art. No. L209.
- Büttiker M. // Phys. Rev. B. 1990.V. 41. No. 11. P. 7906.
- Thomas K.J., Nicholls J.T., Appleyard N.J. et al. // Phys. Rev. B. 1998. V. 58. No. 8. P. 4846.
- Kristensen A., Bruus H., Hansen A.E. et al. // Phys. Rev. B. 2000. V. 62. No. 16. P. 10950.
- Tkachenko O.A., Tkachenko V.A., Baksheyev D.G. et al. // J. Appl. Phys. 2001. V. 89. No. 9. P. 4993.
- Renard V.T., Tkachenko O.A., Tkachenko V.A. et al. // Phys. Rev. Lett. 2008. V. 100. No. 18. Art. No. 186801.
- Ткаченко О.А., Ткаченко В.А. // Письма в ЖЭТФ. 2012. Т. 96. № 11. С. 804; Tkachenko O.A., Tkachenko V.A. // JETP Lett. 2013. V. 96. No. 11. P. 719.
- Smith L.W., Al-Taie H., Lesage A.A.J. et al. // Phys. Rev. Appl. 2016. V. 5. Art. No. 044015.
- Pokhabov D.A., Pogosov A.G., Zhdanov E.Yu. et al. // Appl. Phys. Lett. 2018. V.112. No. 8. Art. No. 082102.
- Srinivasan A., Farrer I., Ritchie D.A. et al. // Appl. Phys. Lett. 2020. V. 117. No. 18. Art. No. 183101.
- Hofstein S.R., Heiman F.P. // Proc. IEEE. 1963. V. 51. No. 9. P. 1190.
- Sze S.M. Physics of semiconductor devices. New York: John Willey, 1981. 868 p.
- Французов А.А., Бояркина Н.И., Попов В.П. // ФТП. 2008. Т. 42. № 2. С. 212; Frantsuzov A.A., Boyarkina N.I., Popov V.P. // Semiconductors. 2008. V. 42. No. 2. P. 215.
- Ando T., Fowler A.B. Stern F. // Rev. Mod. Phys. 1982. V. 54. No. 2. P. 437.
- Arnold E. // Appl. Phys. Lett. 1974. V. 25. No.12. P. 705.
- Kwasnick R.F., Kastner M.A., Meingailis J. et al. // Phys. Rev. Lett. 1984. V. 52. No. 15. P. 224.
- Fowler A.B., Wainer J.J., Webb R.A. // IBM J. Res. Dev. 1988. V. 32. No. 3. P. 372.
- Popović D., Fowler A.B., Washburn S. et al. // Phys. Rev. Lett. 1991. V. 67. No. 20. P. 2870.
- de Graaf C., Wildöer J.W.G., Caro J. et al. // Surf. Science. 1992. V. 263. No. 1–3. P. 409.
- Specht M., Sanquer M., Caillat C. et al. // In: IEEE International Electron Devices Meeting 1999. Technical Digest (Cat. No. 99CH36318). 1999. P. 383.
- Wacquez R., Vinet M., Pierre M., Roche B. et al. // IEEE Symp. VLSI Technol. 2010. P. 193.
- Paz B.C., Le Guevel L., Cassé M. et al. // IEEE 33rd Int. Conf. Microelectron. Test Struct. 2020. P. 1.
- Ландау Л.Д., Лифшиц Е.М. Квантовая механика. Нерелятивистская теория. М.: Наука, 1974. 752 с.
- Altshuler B.L., Lee P.A., Webb R.A. Mesoscopic phenomena in solids. Amsterdam, 1991.
- Landauer R. // In: Localization interactions and transport phenomena. Heidelberg: Springer, 1985. P. 38.
- Fisher D.S., Lee P.A. // Phys. Rev. B. 1981. V. 23. P. 6851.
- Datta S. Electronic transport in mesoscopic systems. Cambridge: Cambridge University Press, 1995. 377 p.
- Imry Y. Introduction to mesoscopic physics. NY.: Oxford University Press, 1997.
- Sohn L., Kouwenhoven L.P., Schön G. Mesoscopic electron transport. Dordrecht: Kluwer, 1997.
- Tkachenko O.A., Tkachenko V.A., Kvon Z.D. et al. // In: Advances in semiconductor nanostructures. Growth, characterization, properties and applications. Ch. 6. Elsevier, 2017. P. 131.
- Regul J., Hohls F., Reuter D. // Physica E. 2004. V. 22. No. 1–3. P. 272.
- Ferrari G., Prati E., Fumagalli et al. // Proc. EuMC. 2005. V. 2. P. 4.
- Prati E., Fanciulli M., Calderoni A. et al. // Phys. Lett. A. 2007. V. 370. No. 5–6. P. 491.
- Naser B., Ferry D.K., Heeren J. et al. // Physica E. 2007. V. 40. No. 1. P. 84.
- Hohls F., Fricke C., Haug R.J. // Physica E. 2008. V. 40. No. 5. P. 1760.
- Wang Z., Chen D., Ota T., Fujisawa T. // Japan. J. Appl. Phys. 2009. V. 48. No. 4C. Art. No. 04C148.
- Kamata H., Ota T., Fujisawa T. // Japan. J. Appl. Phys. 2009. V. 48. No. 4C. Art. No. 04C149.
- Wang P., He J. // Physica E. 2019. V. 108. P. 160.
- Jarratt M.C., Waddy S.J., Jouan A. et al. // Phys. Rev. Appl. 2020. V. 14. No. 6. Art. No. 064021.
- Ткаченко В.А., Ярошевич А.С., Квон З.Д. и др. // Письма в ЖЭТФ. 2021. Т. 114. № 2. С. 108; Tkachenko V.A., Yaroshevich A.S., Kvon Z.D. et al. // JETP Lett. 2021. V. 114. P. 110.
- Кузьмин Н.С., Ярошевич А.С., Квон З.Д. и др. // ФТТ. 2023. Т. 65. № 10. С. 1842; Kuzmin N.S., Jaroshevich A.S., Kvon Z.D. et al. // Phys. Solid State. 2023. V. 65. No. 10. P. 1765.
- Jaroshevich A.S., Kvon Z.D., Tkachenko V.A. et al. // Appl. Phys. Lett. 2024. V. 124. No. 6. Art. No. 063501.
- Growth C. W., Wimmer M., Akhmerov A. R. et al. // New J. Phys. 2014. V. 16. No. 6. Art. No. 063065.
Supplementary files






