Невзаимность оптических свойств кристаллов YLiF4 и LuLiF4 с примесями эрбия в постоянных и импульсных магнитных полях
- Авторы: Шегеда А.М.1, Кораблева С.Л.2, Морозов О.А.1
-
Учреждения:
- Федеральное государственное бюджетное учреждение науки «Федеральный исследовательский центр «Казанский научный центр Российской академии наук»
- Федеральное государственное автономное образовательное учреждение высшего образования «Казанский (Приволжский) федеральный университет»
- Выпуск: Том 88, № 12 (2024)
- Страницы: 1969-1973
- Раздел: Нанооптика, фотоника и когерентная спектроскопия
- URL: https://medbiosci.ru/0367-6765/article/view/286558
- DOI: https://doi.org/10.31857/S0367676524120202
- EDN: https://elibrary.ru/EVAJLZ
- ID: 286558
Цитировать
Аннотация
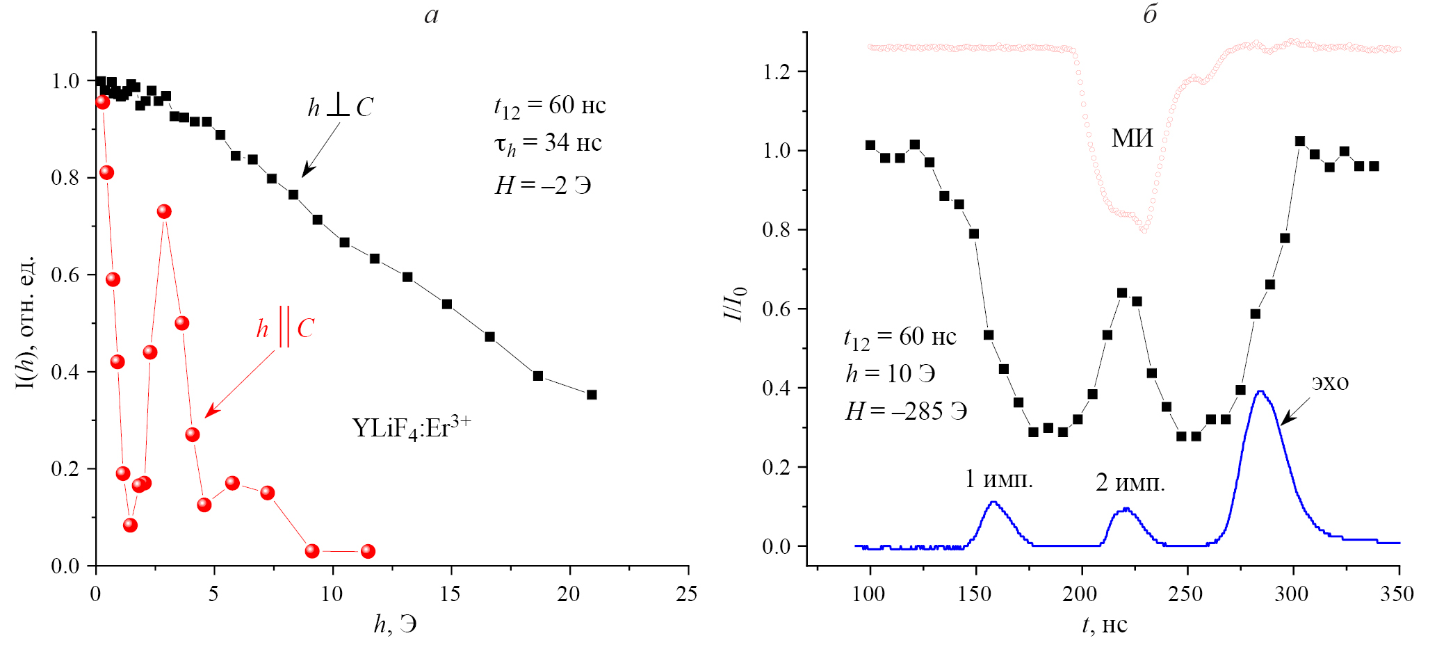
При изучении влияния наносекундных импульсных магнитных полей на поведение фотонного эха в образцах YLiF4: Er3+ и LuLiF4: Er3+ обнаружено, что действие импульсного поля сильно зависит от величины и направления изменения постоянного магнитного поля. Наблюдается неожиданное усиление интенсивности фотонного эха при включении двух одинаковых магнитных импульсов, одного — после первого лазерного импульса, второго — после второго лазерного импульса.
Ключевые слова
Полный текст
Об авторах
А. М. Шегеда
Федеральное государственное бюджетное учреждение науки «Федеральный исследовательский центр «Казанский научный центр Российской академии наук»
Автор, ответственный за переписку.
Email: shegedaam@gmail.com
Казанский физико-технический институт имени Е.К. Завойского
Россия, КазаньС. Л. Кораблева
Федеральное государственное автономное образовательное учреждение высшего образования «Казанский (Приволжский) федеральный университет»
Email: shegedaam@gmail.com
Россия, Казань
О. А. Морозов
Федеральное государственное бюджетное учреждение науки «Федеральный исследовательский центр «Казанский научный центр Российской академии наук»
Email: shegedaam@gmail.com
Казанский физико-технический институт имени Е.К. Завойского
КазаньСписок литературы
- Thiel C.W., Bottger T., Cone R.L. // J. Luminescence. 2011. V. 131. P. 353.
- Lauk N., Sinclair N., Barzanjeh Sh. et al. // Quantum Sci. Technol. 2020. V. 5. Art. No. 02050.
- MacFarlane R.M., Cassanho A., Meltzer R.S. // Phys. Rev. Lett. 1992. V. 69. P. 54.
- Gerasimov K.I., Minnegaliev M.M., Malkin B.Z. et al. // Phys. Rev. B. 2016. V. 94. Art. No. 054429.
- Minnegaliev M.M., Dyakonov I.Y., Gerasimov K.I. et al. // Laser Phys. Lett. 2018. V. 15. Art. No. 045207.
- Popova M.N., Klimin S.A., Moiseev S.A. et al. // Phys. Rev. B. 2019. V. 99. Art. No. 235151.
- Шегеда А.М., Кораблева С.Л., Морозов О.А. и др. // Письма в ЖЭТФ. 2023. Т. 117. № 4. С. 264, Shegeda A.M., Korableva S.L., Morosov O.A. et al. // JETP Lett. 2023. V. 117. No. 4. P. 267.
- Лисин В.Н., Шегеда А.М., Герасимов К.И. // Письма в ЖЭТФ. 2012. Т. 95. № 2. С. 67, Lisin V.N., Shegeda A.M., Gerasimov K.I. // JETP Lett. 2012. V. 95. No. 2. P. 61.
- Suttler J.P., Nemarich J. // Phys. Rev. B. 1971. V. 4. No. 1. P. 1.
- Пятаков А.П., Звездин А.К. // УФН. 2012. Т. 182. С. 593, Pyatakov A.P., Zvezdin A.K. // Phys. Usp. 2012. V. 55. P. 557.
- Нурмухаметов А.Р., Еремин М.В. // ЖЭТФ. 2022. Т. 162. С. 390, Nurmukhametov A.R., Eremin M.V. // J. Exp. Theor. Phys. 2022. V. 135. P. 339.
- Shimada Y., Kiyama H., Tokura Y. // Phys. Rev. B. 2007. V.75. Art. No. 245125.
Дополнительные файлы





