Vol 101, No 2 (2024)
- Year: 2024
- Articles: 14
- URL: https://medbiosci.ru/0372-9311/issue/view/20719
TOPICAL ISSUES IN SCIENCE
Genomic surveillance strategy. Problems and perspectives
Abstract
The topic of epidemiologic surveillance is one of the basic concepts in the theory and practice of epidemiologic science. In Russia, generalization of the accumulated factual material and theoretical developments have allowed us to formulate a number of provisions on the nature of the epidemic process. The pandemic of a new coronavirus infection has forced adjustments in all spheres of society, including the activities of the infectious disease epidemiological surveillance system, requiring the development and implementation of innovative solutions. Based on the experience of prompt response to the tasks set by the COVID-19 pandemic, the authors raised the problem of development and implementation of a system of molecular genetic monitoring for pathogens of emerging and re-emerging infections as a priority vector of epidemiological surveillance development.
The introduction of modern molecular biological technologies for the identification of pathogens with epidemic potential, taking into account their genetic diversity, into the system of epidemiologic surveillance has been substantiated based on the experience of using platform solutions created by the Central Research Institute of Epidemiology of Rospotrebnadzor. The strategy of genomic epidemiologic surveillance as a powerful tool to ensure readiness for response measures and management of the epidemic process by implementing and adjusting preventive and anti-epidemic measures was developed.
The Russian platform for aggregation of information on virus genomes (VGARus) developed at the Central Research Institute of Epidemiology of Rospotrebnadzor as a technological, scientific, organizational and infrastructural base of genomic epidemiological surveillance, acting as an interdepartmental consortium, has been introduced into practice. The efficiency of VGARus was shown to assess the mutational variability of SARS-CoV-2, the influence of evolutionary development of circulating pathogens on the characteristics of the epidemic process, the implementation of operational and retrospective analysis of morbidity and prediction of the spread of genetic variants of pathogens.
163-172
ORIGINAL RESEARCHES
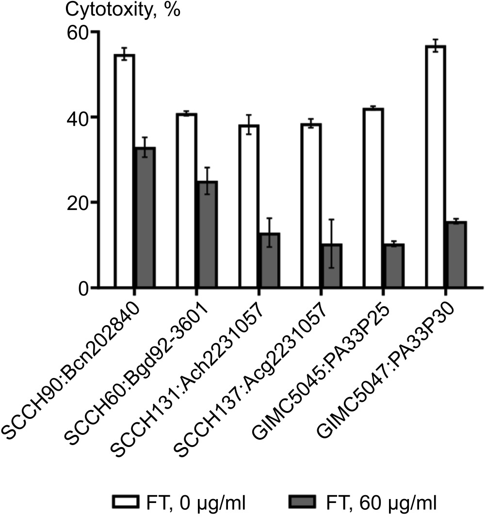
The influence of an innovative antibacterial drug of the thiadiazinone class on the virulence factors of bacteria of the phylum Pseudomonadota, which chronically infect patients with cystic fibrosis
Abstract
Introduction. Infections of the lower respiratory tract by bacteria of the Pseudomonadota phylum: Pseudomonas aeruginosa, Burkholderia spp., Achromobacter spp. are critical to the quality and life expectancy of patients with cystic fibrosis (CF). When the infection is chronic, eradication of bacteria with existing antibacterial drugs is practically impossible. To explore alternative drugs, trials are needed on bacteria isolated from CF patients and characterized using genomic approaches.
The objective of our study was a comparative analysis of virulence factors of 6 isolates of bacteria of the Pseudomonadota phylum and testing the efficacy of the innovative drug Fluorothiazinone (FT) in suppressing the pathogenicity of bacteria in vitro.
Materials and methods. Isolates of A. ruhlandii ST36, A. xylosoxidans ST555, B. cepacia ST2140, B. gladioli ST2141, P. aeruginosa ST859 and ST198 were examined using whole-genome sequencing and bioinformatics analysis to search for resistance and virulence determinants. The FT drug was tested for its effect on bacteria in in vitro experiments on cytotoxicity on HeLa cells, motility and biofilm formation.
Results. Genomic studies have confirmed the arsenal of resistance determinants, especially the efflux systems of bacteria isolated from patients with CF, and the diversity of virulence factors, among which we identified factors in the categories of motility, signals of quorum-sensing systems, secretion systems, exotoxins, as the most essential for the adaptation of bacteria to conditions of the lower respiratory tract. In vitro tests of the FT drug showed its effectiveness in suppressing cytotoxicity (2.6–4.0 times), motility (2.0–3.6 times) and the process of biofilm formation (2.0–7.7 times).
Conclusion. For the first time, the effectiveness of the innovative antibacterial drug Fluorothiazinone has been shown against bacteria of the Pseudomonadota phylum, isolated from chronically infected patients with CF, with the described potential of virulence factors.
173-183
HIV-1 drug resistance among naïve patients in Armenia in 2017–2021
Abstract
Background. The increased antiretroviral therapy (ART) coverage of patients in the absence of routine drug resistance (DR) tests highlight the importance of HIV-1 drug resistance surveillance in Armenia.
Aim. The aim of this study was a determination of the prevalence of HIV-1 DR on a large-scale cohort of HIV-infected citizens of the Republic of Armenia who had no experience of taking antiretroviral drugs.
Materials and methods. The study was carried out on a cohort of more than 20% of PLHIV in the Republic of Armenia. The resulting 982 nucleotide sequences of the HIV-1 pol gene fragment, encoding the protease and reverse transcriptase region, as well as 367 sequences of the integrase gene, were analyzed using the Stanford University database and the CPR tool for the presence of drug resistance mutations and determination of the resistance level to ARV drugs. The HIV-1 subtype was determined using the Stanford University database and confirmed by phylogenetic analysis.
Results. The overall prevalence of HIV DR to ARV drugs in naïve patients was 13.8%. Resistance to non-nucleoside reverse transcriptase inhibitors was 11.2%, nucleotide reverse transcriptase inhibitors — 1.4%, protease inhibitors — 2.0% and integrase inhibitors — 0.5%. The predominant genetic variant among viruses containing DR mutations was subtype B. Resistance was most often recorded among men who have sex with men living in Yerevan.
Conclusion. In our study, prevalence of DR was high only for the NNRTI drugs. The results show that the first-line ARV drugs recommended in current national guidelines are highly likely to be effective. The analysis was carried out on a significant proportion of HIV-infected citizens of the Republic of Armenia, which increases the reliability and accuracy of the data obtained.
184-192
Effect of the Bacillus subtilis BS20 on physiological and immune parameters in mutant mice Muc2–/–
Abstract
Introduction. Inflammatory bowel disease (IBD) is a common pathology that cannot be completely cured and requires lifelong therapy. One of the promising and sparing therapeutic strategies is the use of probiotics. Unlike Lactobacillus and Bifidobacterium, which represent the basis of most classical probiotics, Bacillus spp. are spore-forming bacteria that contributes to their resistance to the acidic environment of the stomach. It has been shown that the bacteria Bacillus spp. is an effective therapeutic drug for the relief of intestinal diseases with signs of inflammation and bacterial origin. Since the main factors causing IBD are dysbiosis and inflammation, and strains of Bacillus spp. as probiotics can be potential modulators of immunity and influence the intestinal microbiome, it is necessary to search for new strains of probiotic bacteria, including representatives of Bacillus spp., which have an effect on immunity and physiological indicators in experimental models of IBD.
The aim of the scientific research — to study the effect of Bacillus subtilis BS20 spores on the physiological and immune parameters of the mutant mouse line Muc2–/–.
Research objectives: Investigate survival of Muc2–/– mice, weight, immune parameters (cytokines and immune cells) and amino acid composition of muscles.
Materials and methods. Muc2–/– females were fed spores of Bacillus subtilis BS20 in the amount of 109 CFU for 2 months. Analysis of the amino acid composition of the femoral muscle was performed by capillary electrophoresis. The concentration of cytokines in the supernatant was measured using the Magnetic Luminex assay kit. Determination of the number of lymphocytes was performed by flow cytometry.
Results. The addition of Bacillus subtilis BS20 to the diet of mice reduced mortality and body weight loss in Muc2–/– females. We found a decrease in interleukin-6 and an increase in interleukin-17 in the descending colon and an increase in B and T helper lymphocytes in the spleen.
Conclusion. B. subtilis BS20 improves the general condition of Muc2–/– mutant mice, has an anti-inflammatory and immunostimulating effect, reducing the level of the cytokine interleukin-6 and increasing the percentage of B cells and T helper cells in the spleen.
208-216
Study of humoral and cellular immunity following the immunization of C57Bl/6 mice with a prototype of the inactivated Chikungunya vaccine
Abstract
Introduction. Chikungunya virus infection is a problem for the health care system of affected regions due to the lack of specific prevention, as well as effective antiviral drugs. The critical role of cellular immunity in viral control and clearance for the Chikungunya fever has been demonstrated in many studies. Therefore, effective stimulation of not only humoral but also cellular immunity is of undeniable importance when assessing the effectiveness of a potential vaccine for the prevention of this infection.
The aim of the present study was to investigate the formation of protective immunity after administration of a drug containing inactivated Chikungunya virus (CHIKV) to C57Bl/6 mice.
Materials and methods. Inactivated CHIKV (concentrations of 10 μg and 40 μg) was administered intramuscularly to C57Bl/6 mice twice with an interval of 14 days. Indicators of humoral immunity were assessed by ELISA and neutralization test (NT), cellular immunity — by the production of IFN-γ and splenocyte proliferation in vitro. The concentration of cytokines IL-1, IL-2, IL-6, IL-10, IL-12p70 and TNF was determined by ELISA. When assessing the protective immunity in animals, CHIKV was injected into the dorsal surface of the foot of the right hind paw at a dose of 2.89 ± 0.10 lg TCD50 in a volume of 20 μl.
Results. The most pronounced immune response was noted to the administration of 40 μg of inactivated CHIKV, which was manifested in the balanced production of the studied cytokines, the formation of specific humoral (according to the results of ELISA and NT) and cellular — specific proliferation of splenocytes in vitro and production of IFN-γ. When assessing efficacy, the development of foot edema in immunized animals was significantly lower than in animals in the control group.
Discussion. CHIKV, inactivated by beta-propiolactone, had pronounced immunogenic properties. The balance of production of pro- and anti-inflammatory cytokines, as well as the Th1/Th2 immune response, characterized the formation of adaptive immunity in mice without a pronounced inflammatory response. The formation of a specific humoral and cellular immune response has been demonstrated. A study of protection in a non-lethal animal model confirmed the efficacy of the inactivated vaccine.
Conclusion. Double administration of the inactivated CHIKV vaccine at a dose of 40 μg to C57Bl/6 mice demonstrated pronounced immunogenicity, which allows us to evaluate it as a promising prophylactic vaccine.
193-207
Molecular genetic determinants of virulence of Streptococcus agalactiae isolated from pregnant women and newborns in St. Petersburg and the Leningrad region in 2010–2023
Abstract
Introduction. Colonization of the reproductive organs of pregnant women with group B streptococci (GBS; Streptococcus agalactiae) can lead to severe perinatal and neonatal pathology. In modern conditions, aside from the prevention of antenatal infection of the fetus during childbirth using antibacterial drugs, vaccination is also necessary. In this regard, surveillance of GBS genotypes is an important task.
Objective. To determine the molecular genetic determinants of virulence of Streptococcus agalactiae isolated from pregnant women and newborns, and to monitor the distribution of capsular polysaccharides types and pili profiles in GBS clinical isolates.
Materials and methods. The study used clinical isolates of GBS (n = 420) isolated from pregnant women and newborns in 2010–2023.The bacteriological method was used for isolation of S. agalactiae. PCR method was used to determine the types of capsular polysaccharides, pili, and whether the strains belonged to the hypervirulent sequence type ST-17.
Results. During 13 years of observation, the predominance of Ia, III and V genotypes of GBS capsular polysaccharides was noted both in pregnant women and in newborns. The frequency of occurrence of genotype Ib increased from 0.7 to 6.7%, genotype V from 12.1 to 24.4%, and the prevalence of genotype III decreased significantly from 41.1 to 21.1%. Hypervirulent sequence type ST-17 was detected in 6 pregnant women and 2 newborns. However, there were no signs of neonatal infection in these children. More than half of all clinical isolates of S. agalactiae had pili genotypes PI-1 + PI-2a, as well as pili genotypes PI-2a and PI-1 + PI-2b. The distribution of pili types did not change over 13 years of the surveillance period.
Conclusion. Surveillance of the GBS capsular polysaccharides and pili genotypes is necessary for the development of effective preventive vaccines.
217-226
Genotyping of Borrelia, Rickettsia and Anaplasma in Ixodes ricinus and Dermacentor reticulatus ticks in the Kaliningrad region
Abstract
Background. Tick-borne bacterial and protozoal pathogens pose a significant public health problem. The aim of this study was to detect and genotype Borrelia, Rickettsia and Anaplasma in Ixodes ricinus and Dermacentor reticulatus ticks collected in the Kaliningrad region in 2021–2022.
Materials and methods. The study included 862 I. ricinus and 803 D. reticulatus ticks (1665 in total) collected in 33 biotopes of the Kaliningrad region. Detection of the DNA of tick-borne pathogens was carried out in individual ticks by PCR using a set of specific primers, followed by sequencing and phylogenetic analysis.
Results. The level of infection of I. ricinus ticks with Borrelia was 15.5%, and genotyping by the p66 gene sequence showed the presence of genetic material from four species: B. afzelii, B. garinii, B. valaisiana, and B. lusitaniae. In D. reticulatus ticks, no Borrelia genetic material was detected. The Rickettsia DNA has been found in both tick species. Moreover, the infection rate of I. ricinus ticks was 2.6%, and D. reticulatus — 21.2%. R. helvetica were found in I. ricinus ticks, and R. raoultii in meadow ticks when genotyping by gltA gene. Genetic markers of Anaplasma phagocytophilum have been found in I. ricinus and D. reticulatus ticks. Cases of co-infection of an individual tick have also been identified.
Conclusion. Six different species of tick-borne pathogens were found in the I. ricinus and D. reticulatus ticks collected in the Kaliningrad region and R. helvetica, R. raoultii and A. phagocytophilum were identified for the first time.
227-236
Polymorphism of spore germination receptor genes in Bacillus anthracis strains of major genetic lineages
Abstract
Introduction. The genetic structure of the global population of Bacillus anthracis characterized by an unequal distribution of isolates of the main genetic lineages A, B and C, the reason for which is unknown. Determining the characteristics of genes encoding factors that determine the existence of this pathogen at the intra- and extra organismal stages of the life cycle, which can influence the prevalence of strains, is relevant.
Aim — сharacterization of the genes and proteins of spore germination in strains of the anthrax pathogen of different genetic lineages.
Materials and methods. Whole genome sequences of 46 B. anthracis strains and the CI strain of B. cereus biovar anthracis from the NCBI GenBank database studied. In silico analysis carried out using the programs “BLASTn”, “MEGA X”, “Tandem Repeat Finder”.
Results. The number of SNPs, indels and pseudogenes in B. anthracis strains of line B was 2,7–25,6 times higher, in line C 2–23,5 times, and in the B. cereus biovar anthracis strain was 20–2841 times higher than in strains of line A. Significant substitutions in genes leading to changes in the amino acid composition of 10 germination receptor proteins were also significantly more common in B. anthracis strains of lines B, C and the B. cereus biovar anthracis strain.
Undescribed VNTRs within the gerHA gene with repeat units of 78 and 117 bp identified, varying between and within isolates of different genetic lineages. Six germination receptor genes have been shown to have rare starting codons.
Conclusion. A larger number of non-synonymous SNPs in the genes of spore germination receptors with changes in the amino acid composition of proteins in B. anthracis strains of the main genetic lines B, C and B. cereus biovar anthracis than in strains of line A suggests their limited adaptive capabilities and may be one of the explanations for the lower prevalence compared to line A. Differences in the gerHA and gerM genes make it possible to differentiate the major B and C genetic lineages from A.
237-247
SCIENCE AND PRACTICE
Assessment of the effect of using immunomodulatory drugs for emergency prevention of experimental plague caused by a virulent strain of the main subspecies Yersinia pestis
Abstract
Introduction. Immunomodulatory drugs (IMD) have great potential to increase the nonspecific reactivity of the organism in a set of measures for emergency prevention of plague. The purpose of the work is to evaluate the protective effectiveness of the use of IMD of different groups in experiments on modeling infection with a highly virulent strain of the plague microbe.
Materials and methods. IMD (rIFN-γ — recombinant interferon-gamma, PO — azoximer bromide, synthetic immunomodulatory oligopeptides O1, O2, O3) was administered to white mice and guinea pigs subcutaneously thrice by the schedule 3 days, 1 day, and 1 hour prior the infection with a virulent test strain of plague Yersinia pestis 231 (708) at dose from 1 to 625 CFU. In addition, the effect of IMD on the production of IFN-γ and interleukin-10 was investigated in white mice before infection.
Results. The study of the effect of IMD on the survival of unvaccinated biomodels made it possible to establish that only rIFN-γ and PO increase the survival of two types of laboratory animals by 20–50% and significantly increase the LD50. All tested IMD contribute to an increase in the average life expectancy of biomodels by at least one day. An increase in spontaneous and mitogen-induced cytokine production was found only in white mice receiving rIFN-γ and PO, which correlates with animal survival rates.
Conclusion. The obtained data indicate the effectiveness of the use of IMD, especially rIFN-γ and PO in protecting the macroorganisms from infection with Y. pestis, which determines the prospects for research on the further improvement of emergency prevention of plague.
248-258
REVIEWS
Parvovirus B19 infection: characteristics of population immunity in the world
Abstract
Parvovirus B19 infection (PVI) is one of the relatively new problems in infectology, data on the study of its prevalence in our country began to appear only at the beginning of the twenty-first century. The article presents the results of an analysis of studies from available literature sources highlighting the prevalence of PVI markers at the population level among different social groups of the population at the present stage. The clinical manifestations of PVI are diverse, which requires differential diagnosis, both with exanthemic infectious diseases and with non-infectious pathology. Due to the peculiarity of PVI pathogenesis, it is relevant for various socially significant populations, primarily patients with exanthemic manifestations of various diseases, persons from among blood donors, pregnant women and women planning pregnancy. Furthermore, unlike most countries, our country does not have a system for PVI detecting and reporting in the system of state sanitary and epidemiological supervision, which makes it difficult to conduct research on this topic.
259-269
Recombinase polymerase amplification: method’s characteristics and applications in diagnostics of infectious diseases
Abstract
Isothermal amplification techniques have been actively developed in recent years and are gradually introduced into the range of methods for infectious disease diagnostics. One of the fastest isothermal methods is recombinase polymerase amplification (RPA). This review contains information about the principle of RPA, the role of individual reaction components and primer design considerations. It provides information on characteristics of various methods of RPA results detection, effects of inhibitors, temperature and agitation on the efficiency of reaction. Approaches to quantitative and multiplex RPA are described, as well as some variants of portable devices designed to identify infectious agents. The conclusion summarizes advantages and disadvantages of RPA in comparison with other amplification methods.
270-280
Subgingival microbiome in periodontal disease and comorbid pathology (meta-analysis)
Abstract
The problem of chronic periodontitis (CP) is actively discussed due to the recognition of the fact that periodontal microbial damage is closely related to a number of systemic diseases and probably plays an important role in the occurrence of comorbid pathology.
The aim of the meta-analysis was to characterize the composition of the subgingival microbiome and to determine the peculiarities of the formation of associations of the new periodontal pathogen Filifactor alocis with other I and II order periodontal pathogenic bacteria, as well as with the commensal bacteria colonizing this biotope.
The study presents data of patient examination with obligatory use of polymerase chain reaction methods and sequencing of 16S rRNA genes in 1529 healthy individuals and 2394 patients with CP, 136 patients with CP and concomitant atherosclerosis, 258 patients with CP and concomitant type 2 diabetes mellitus. It was confirmed that the basis of the oral microbiome under normal circumstances is composed of representatives of microaerophilic streptococci, corynebacteria, lactobacilli, as well as representatives of the Veillonella and Sphingobacterium genera. 16S sequencing and bioinformatic analysis allowed us to specify the taxonomic place of the new pathogen F. alocis, as well as representatives of normal microbiota in CP and comorbid somatic pathology.
281-292
OBITUARIES
293-294
ANNIVERSARIES
295-296
