Transport Properties of In3+- and Y3+-Doped Hexagonal Perovskite Ba5In2Al2ZrO13
- Authors: Andreev R.D.1,2, Anokhina I.A.1,2, Korona D.V.1,2, Gilev A.R.1, Animitsa I.E.1
-
Affiliations:
- Ural Federal University named after the First President of Russia B.N. Yeltsin
- Institute of High-Temperature Electrochemistry, Ural Branch, Russian Academy of Sciences
- Issue: Vol 59, No 3 (2023)
- Pages: 143-157
- Section: Articles
- URL: https://medbiosci.ru/0424-8570/article/view/139245
- DOI: https://doi.org/10.31857/S0424857023030039
- EDN: https://elibrary.ru/HWGJUV
- ID: 139245
Cite item
Full Text
Abstract
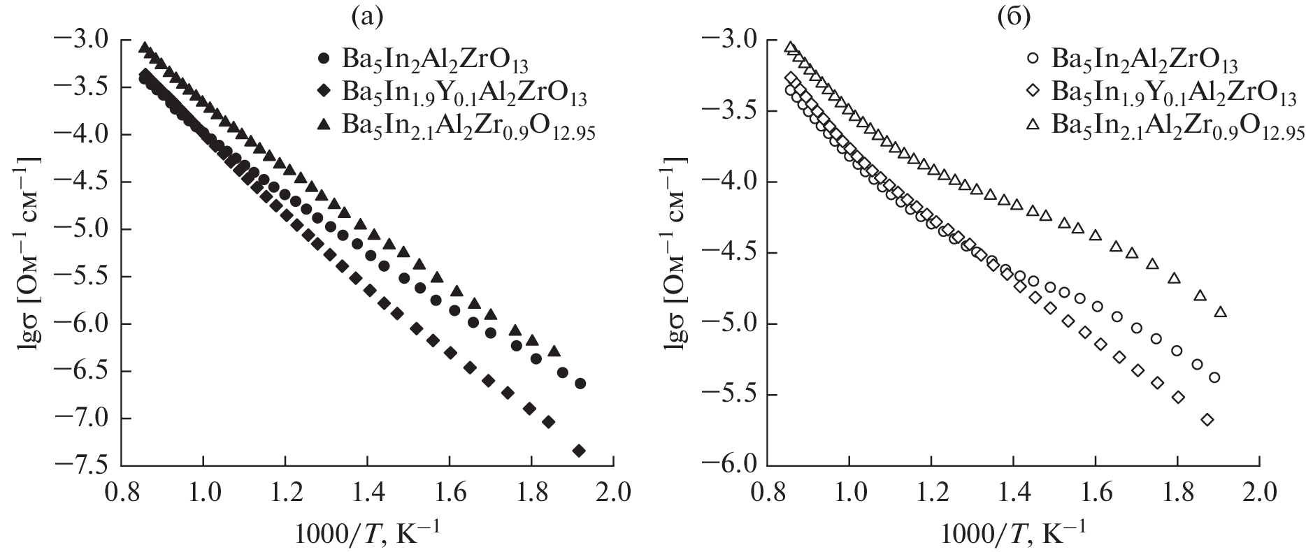
A complex oxide Ba5In1.9Y0.1Al2ZrO13 with hexagonal perovskite structure (a = 5.971(4) Å, с = 24.012(1) Å) is prepared for the first time. The phase is found to dissociative-absorb water from gas phase, the degree of hydration being as high as 0.39 mol Н2О. It was found by using IR-spectroscopy that protons are present therein as energetically nonequivalent ОН–-groups involved in hydrogen bonds of diverse strength. Isovalent yttrium-doping of the Ba5In2Al2ZrO13 phase is shown not to lead to any valuable change in the oxygen-ion-conductivity as compared with the Ba5In2.1Al2Zr0.9O12.95 acceptor doping that allows increasing the oxygen-ion-conductivity by a factor of 1.3. Both types of doping lead to increase in the proton conductivity and, as a corollary to this, an increase in the proton concentration. For these phases the degree of hydration depends on the cell parameters, hence, is determined by space availability for ОН–-groups in the barium coordination. Proton transport dominates in the Ba5In2Al2ZrO13, Ba5In2.1Al2Zr0.9O12.95, and Ba5In1.9Y0.1Al2ZrO13 phases below 600оС in humid atmosphere (pH2О = 1.92 × 10–2 atm).
Keywords
About the authors
R. D. Andreev
Ural Federal University named after the First President of Russia B.N. Yeltsin; Institute of High-Temperature Electrochemistry, Ural Branch, Russian Academy of Sciences
Email: Irina.animitsa@urfu.ru
Yekaterinburg, 620002 Russia; Yekaterinburg, 620137 Russia
I. A. Anokhina
Ural Federal University named after the First President of Russia B.N. Yeltsin; Institute of High-Temperature Electrochemistry, Ural Branch, Russian Academy of Sciences
Email: Irina.animitsa@urfu.ru
Yekaterinburg, 620002 Russia; Yekaterinburg, 620137 Russia
D. V. Korona
Ural Federal University named after the First President of Russia B.N. Yeltsin; Institute of High-Temperature Electrochemistry, Ural Branch, Russian Academy of Sciences
Email: Irina.animitsa@urfu.ru
Yekaterinburg, 620002 Russia; Yekaterinburg, 620137 Russia
A. R. Gilev
Ural Federal University named after the First President of Russia B.N. Yeltsin
Email: Irina.animitsa@urfu.ru
Yekaterinburg, 620002 Russia
I, E. Animitsa
Ural Federal University named after the First President of Russia B.N. Yeltsin
Author for correspondence.
Email: Irina.animitsa@urfu.ru
Yekaterinburg, 620002 Russia
References
- Takahashi, T. and Iwahara, H., Solid-state ionics: Protonic conduction in perovskite-type oxide solid solution, Rev. Chem. Mineral, 1980, vol. 17, no. 4, p. 243.
- Iwahara, H., Esaka, T., Uchida, H., and Maeda, N., Proton conduction in sintered oxides and its application to steam electrolysis for hydrogen production, Solid State Ionics, 1981, vol. 3, no. 4, p. 359.
- Uchida, H., Maeda, N., and Iwahara H., Relation between proton and hole conduction in SrCeO3-based solid electrolytes under water containing atmospheres at high temperatures, Solid State Ionics, 1983, vol. 11, no. 2, p. 117.
- Iwahara, H., Proton-conducting ceramics, Ceram. Jap., 1983, vol. 18, no. 10, p. 855.
- Norby, T., Advances in proton ceramic fuel cells, steam electrolyzers, and dehydrogenation reactors based on materials and process optimizations, ECS Transactions, 2017, vol. 80, no. 9, p. 23.
- Medvedev, D., Lyagaeva, J., Gorbova, E., Demin, A., and Tsiakaras, P., Advanced materials for SOFC application: Strategies for the development of highly conductive and stable solid oxide proton electrolytes, B: Progress in Mater. Sci., 2016, vol. 75, p. 38.
- Medvedev, D. and Ricote, S., Electrochemistry of proton-conducting ceramic materials and cells, B: J. Solid State Electrochem., 2020, vol. 24, no. 7, p. 1445.
- Xi, X. and Lei, B., Intermediate Temperature Solid Oxide Fuel Cells, Elsevier, 2020. p. 81.
- Tarancón, A., Strategies for Lowering Solid Oxide Fuel Cells Operating Temperature, Energies, 2009, vol. 2, p. 1130.
- Medvedev, D., Trends in research and development of protonic ceramic electrolysis cells, Intern. J. Hydrogen Energy, 2019, vol. 44, no. 49, p. 26711.
- Стенина, И.А., Ярославцев, А.Б. Высокотемпературные и композиционные протонпроводящие электролиты. Неорган. материалы. 2017. № 53(4). С. 335. [Stenina, I.A. and Yaroslavtsev, A.B., High-temperature and composite proton conducting electrolytes, Neorgan. mater. (in Russian), 2017, no. 53(4), p. 335.]
- Haugsrud, R., High Temperature Proton Conductors – Fundamentals and Functionalities, Diffusion Foundations, 2016, vol. 8, p. 31.
- Kim, J., Sengodan, S., Kim, S., Kwon, O., Bud, Y., and Kim, G., Proton conducting oxides: A review of materials and applications for renewable energy conversion and storage. Renewable and Sustainable Energy Rev., 2019, vol. 109, p. 606.
- Kochetova, N., Animitsa, I., Medvedev, D., Demin, A., and Tsiakaras, P., Recent activity in the development of proton-conducting oxides for high-temperature applications, RSC Advances, 2016, vol. 6, p. 73222.
- Nomura, K., Takeuchi, T., Kamo, Sh., Kageyama H., and Miyazaki, Y., Proton conduction in doped LaScO3 perovskites, Solid State Ionics, 2004, vol. 175, p. 553.
- Zhao, G., Suzuki, K., Hirayama, M., and Kanno, R., Syntheses and characterization of novel perovskite-type LaScO3-based lithium ionic conductors, Molecules, 2021, vol. 26, p. 299.
- Kuzmin, A.V., Stroeva, A.Yu., Gorelov, V.P., Novikova, Yu.V., Lesnichyova, A.S., Farlenkov, A.S., and Khodimchuk, A.V., Synthesis and characterization of dense proton-conducting La1 – xSrxScO3 – α ceramics, Intern. J. Hydrogen Energy, 2019, vol. 44, p. 1130.
- Kuzmin, A.V., Lesnichyova, A.S., Tropin, E.S., Stroeva, A.Yu., Vorotnikov, V.A., Solodyankina, D.M., Belyakov, S.A., Plekhanov, M.S., Farlenkov, A.S., Osinkin, D.A., Beresnev, S.M., and Ananyev, M.V., LaScO3-based electrolyte for protonic ceramic fuel cells: Influence of sintering additives on the transport properties and electrochemical performance, J. Power Sources, 2020, vol. 466, p. 228255.
- Касьянова, А.В., Руденко, А.О., Лягаева, Ю.Г., Медведев, Д.А. Лантансодержащие протонные электролиты со структурой перовскита. В: Мембраны и мембр. технологии. 2021. № 11 (2). С. 83. [Kasyanova, A.V., Rudenko, A.O., Lyagaeva, Y.G., and Medvedev, D.A., Lanthanum-containing proton electrolytes with perovskite structure, V: Membrani i membr. technologii (in Russian), 2021, no. 11(2), p. 83.]
- Magrasó, A., Polfus, J., Frontera, C., Canales-Vázquez, J., Kalland, L., Hervoches, C., Erdal, S., Hancke, R., Islam, M., Norby, T., and Haugsrud, R., Complete structural model for lanthanum tungstate: a chemically stable high temperature proton conductor by means of intrinsic defects, J. Mater. Chem., 2012, vol. 22, no. 5, p. 1762.
- Haugsrud, R. and Norby, T., High-temperature proton conductivity in acceptor-doped LaNbO4, Solid State Ionics, 2006, vol. 177, no. 13–14, p. 1129.
- Huse, M., Norby, T., and Haugsrud, R., Effects of A and B site acceptor doping on hydration and proton mobility of LaNbO4, Intern. J. Hydrogen Energy, 2012, vol. 37, no. 9, p. 8004.
- Besikiotis, V., Knee, C. S., Ahmed, I., Haugsrud, R., and Norby, T., Crystal structure, hydration and ionic conductivity of the inherently oxygen-deficient La2Ce2O7, Solid State Ionics, 2012, vol. 228, p. 1.
- Tu, T., Zhang, B., Liu, J., Wu, K., and Peng, K., Synthesis and conductivity behavior of Mo-doped La2Ce2O7 proton conductors, Electrochim. Acta, 2018, vol. 283, p. 1366.
- Zhu, Z., Liu, B., Shen, J., Lou, Y., and Ji, Y., La2Ce2O7: A promising proton ceramic conductor in hydrogen economy, J. Alloys and Compounds, 2016, vol. 659, p. 232.
- Omata, T., Okuda, K., Tsugimoto, S., and Otsuka-Matsuo-Yao, S., Water and hydrogen evolution properties and protonic conducting behaviors of Ca2+-doped La2Zr2O7 with a pyrochlore structure, Solid State Ionics, 1997, vol. 104, p. 249.
- Eurenius, K., Proton conductivity in acceptor-doped lanthanide based pyrochlore oxides, Thesis for the degree of doctor of philosophy, University of Gothenburg Gothenburg, Sweden, 2009.
- Shlyakhtina, A., Lyskov, N., Nikiforova, G., Kasyanova, A., Vorobieva, G., Kolbanev, I., Stolbov, D., and Medvedev, D., Proton Conductivity of La2(Hf2 – xLax)O7 – x/2 “Stuffed” Pyrochlores, B: Appl. Sci., 2022, vol. 12, no. 9, p. 4342.
- Haugsrud, R., Defects and transport properties in Ln6WO12 (Ln = La, Nd, Gd, Er), Solid State Ionics, 2007, vol. 178, p. 555.
- Haugsrud, R. and Norby, T., Proton conduction in rare-earth ortho-niobates and ortho-tantalates, Nature Mater., 2006, vol. 5, no. 3, p. 193.
- Solís, C., Navarrete, L., Roitsch, S., and Serra, J., Electrochemical properties of composite fuel cell cathodes for La5.5WO12 – δ proton conducting electrolytes, J. Mater. Chem., 2012, vol. 22, no. 31, p. 16051.
- Zhou, Y., Shiraiwa, M., Nagao, M., Fujii, K., Tanaka, I., Yashima, M., Baque, L., Basbus, J., Mogni, L., and Skinner, S., Protonic Conduction in the BaNdInO4 Structure Achieved by Acceptor Doping, Chem. Mater., 2021, vol. 33, p. 2139.
- Tarasova, N., Animitsa, I., Galisheva, A., and Korona, D., Incorporation and Conduction of Protons in Ca, Sr, Ba-Doped BaLaInO4 with Ruddlesden–Popper Structure, Materials, 2019, vol. 12, no. 10, p. 1668.
- Tarasova, N. and Animitsa, I., Materials AIILnInO4 with Ruddlesden-Popper Structure for Electrochemical Applications: Relationship between Ion (Oxygen-Ion, Proton) Conductivity, Water Uptake, and Structural changes, Materials, 2022, vol. 15, no. 1, p. 114.
- Yashima, M., Tsujiguchi, T., Sakuda, Y., Yasui, Y., Zhou, Y., Fujii, K., Torii, S., Kamiyama, T., and Skinner, S., High oxide-ion conductivity through the interstitial oxygen site in Ba7Nb4MoO20-based hexagonal perovskite related oxides, Nature Commun., 2021, vol. 12, no. 1, p. 1.
- Fop, S., McCombie, K., Wildman, E., Skakle, J., Irvine, J., Connor, P., Savaniu, C., Ritter, C., and Mclaughlin, A., High oxide ion and proton conductivity in a disordered hexagonal perovskite, Nature Mater, 2020, vol. 19, p. 752.
- Murakami, T., Hester, J., and Yashima, M., High Proton Conductivity in Ba5Er2Al2ZrO13, a Hexagonal Perovskite-Related Oxide with intrinsically Oxygen-Deficient Layers, J. Amer. Chem. Soc., 2020, vol. 142, p. 11653.
- Fop, S., Solid oxide proton conductors beyond perovskites, J. Mater. Chem. A, 2021, vol. 9, p. 18836.
- Shpanchenko, R., Abakumov, A., Antipov, E., and Kovba, L., Crystal structure of Ba5In2Al2ZrO13, J. Alloy. Compd., 1994, vol. 206, p. 185.
- Andreev, R., Korona, D., Anokhina, I., and Animitsa, I., Proton and Oxygen-Ion Conductivities of Hexagonal Perovskite Ba5In2Al2ZrO13, Materials, 2022, vol. 15, no. 11, p. 3944.
- Shannon, R., Revised effective ionic radii and systematic studies of interatomic distances in halides and chalcogenides, Acta Crystallogr. Sect. A Cryst. Phys. Diffr. Theor. Gen. Crystallogr., 1976, vol. 32, p. 751.
- Irvine, J., Sinclair, D., and West, A., Electroceramics: Characterization by Impedance Spectroscopy, Adv. Mater., 1990, vol. 2, p. 132.
- Huang, W., Ding, Y., Li, Y., and Wang, Z., Proton conductivity and transport number of complex perovskite barium strontium tantalite, Ceram. Intern., 2021, vol. 47, no. 2, p. 2517.
- Fop, S., McCombie, K., Smith, R., and Mclaughlin, A., Enhanced Oxygen Ion Conductivity and Mechanistic Understanding in Ba3Nb1 – xVxMoO8.5, Chem. Mater., 2020, vol. 32, no. 11, p. 4724.
- Iwahara, H., High temperature protonic conduction based on perovsike-type oxides, ISSI Letters, 1992, vol. 2, no. 3, p. 11.
- Munch, W., Seifert, G., Kreuer, K.D., and Maier, J., A quantum molecular dynamics study of proton conduction phenomena in BaCeO3, Solid State Ionics, 1996, vol. 86, p. 647.
- Kreuer, K., Dippel, Th., Baikov, Yu., and Maier, J., Water solubility, proton and oxygen diffusion in acceptor doped BaCeO3: A single crystal analysis, Solid State Ionics, 1996, vol. 86, p. 613.
- Kreuer, K., Adams, S., Fuchs, W., Klock, U., and Maier, J., Proton conducting alkaline earth zirconates and titanates for high drain electrochemical applications, Solid State Ionics, 2001, vol. 145, p. 295.
- Tarasova, N., Galisheva, A., Animitsa, I., Korona, D., and Davletbaev, K., Novel proton-conducting layered perovskite based on BaLaInO4 with two different cations in B-sublattice: Synthesis, hydration, ionic (O2–, H+) conductivity, Intern. J. Hydrogen Energy, 2022, vol. 47, no. 44, p. 18972.
- Okuyama, Y., Kozai, T., Ikeda, Sh., Matsuka, M., Sakai, T., and Matsumoto, H., Incorporation and conduction of proton in Sr-doped LaMO3 (M = Al, Sc, In, Yb, Y), Electrochim. Acta, 2014, vol. 125, p. 443.
Supplementary files
















