Modeling of Formation of Metal Microstructures by Local Electrodeposition on Conducting Substrate
- Authors: Volgin V.M.1,2, Kabanova T.B.2, Gnidina I.V.1, Davydov A.D.2
-
Affiliations:
- Tula State University
- Frumkin Institute of Physical Chemistry and Electrochemistry, Russian Academy of Sciences
- Issue: Vol 59, No 9 (2023)
- Pages: 483-494
- Section: Articles
- URL: https://medbiosci.ru/0424-8570/article/view/139368
- DOI: https://doi.org/10.31857/S0424857023090116
- EDN: https://elibrary.ru/MPGYGU
- ID: 139368
Cite item
Full Text
Abstract
The formation of metal microstructures on metal substrates is theoretically analyzed by the example of local silver electrodeposition using the numerical simulation of interrelated electrochemical and homogeneous chemical reactions.
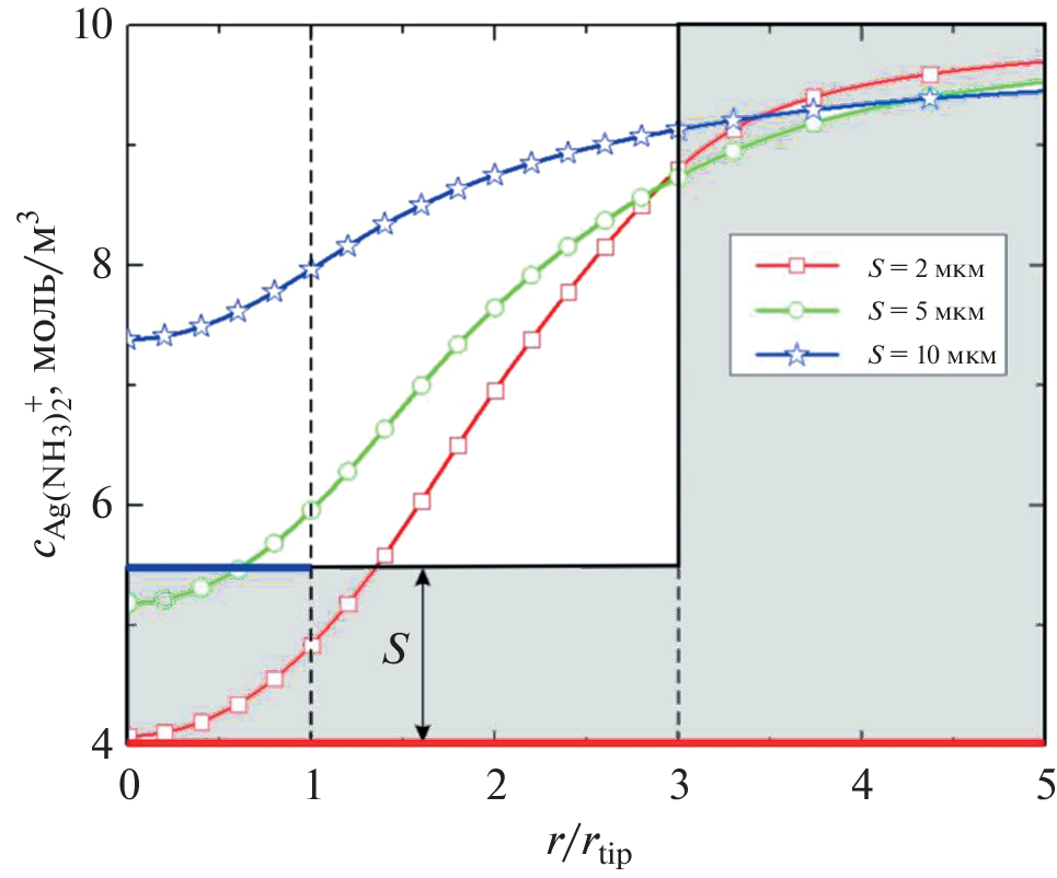
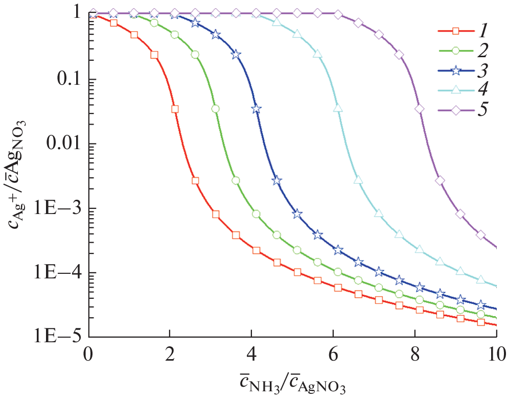
The distributions of the concentrations of the participants in the reactions and the current density of silver ion reduction are calculated for various concentrations of solution components and interelectrode distances. The degree of localization of metal deposition depends on the distribution of the concentrations of electroactive silver cations and the nonelectroactive complex of this metal near the anode. The conditions for reaching the maximum rate of local silver electrodeposition are determined.
About the authors
V. M. Volgin
Tula State University; Frumkin Institute of Physical Chemistry and Electrochemistry, Russian Academy of Sciences
Email: volgin@tsu.tula.ru
pr. Lenina 92, Tula, 300012 Russia; Leninskii pr. 31, Moscow, 119071 Russia
T. B. Kabanova
Frumkin Institute of Physical Chemistry and Electrochemistry, Russian Academy of Sciences
Email: davydov@elchem.ac.ru
Leninskii pr. 31, Moscow, 119071 Russia
I. V. Gnidina
Tula State University
Email: davydov@elchem.ac.ru
pr. Lenina 92, Tula, 300012 Russia
A. D. Davydov
Frumkin Institute of Physical Chemistry and Electrochemistry, Russian Academy of Sciences
Author for correspondence.
Email: davydov@elchem.ac.ru
Leninskii pr. 31, Moscow, 119071 Russia
References
- Madden, J.D. and Hunter, I.W., Three-dimensional microfabrication by localized electrochemical deposition, J. Microelectromech. Syst., 1996, vol. 5(1), p. 24.
- Braun, T.M. and Schwartz, D.T., The emerging role of electrodeposition in additive manufacturing, Electrochem. Soc. Interface, 2016, vol. 25(1), p. 69.
- Давыдов, А.Д., Волгин, В.М. Электрохимическое локальное безмасковое микро/нано размерное осаждение, растворение и оксидирование металлов и полупроводников. Электрохимия. 2020. Т. 56. С. 56. [Davydov, A.D. and Volgin, V.M., Electrochemical local maskless micro/nanoscale deposition, dissolution, and oxidation of metals and semiconductors (a review), Russ. J. Electrochem., 2020, vol. 56(1), p. 52.]
- Xinchao, L., Pingmei, M., Sansan, A., and Wei, W., Review of additive electrochemical micro-manufacturing technology, Int. J. Mach. Tool. Manu., 2021, Art. 103848.
- Han, L., Sartin, M.M., Tian, Z.Q., Zhan, D., and Tian, Z.W., Electrochemical nanomachining, Curr. Opin. Electrochem., 2020, vol. 22, p. 80.
- Volgin, V.M., Kabanova, T.B., and Davydov, A.D., Modeling of local maskless electrochemical deposition of metal microcolumns, Chem. Eng. Sci., 2018, vol. 183, p. 123.
- Morsali, S., Daryadel, S., Zhou, Z., Behroozfar, A., Baniasadi, M., Moreno, S., Qian, D., and Minary-Jolandan, M., Multi-physics simulation of metal printing at micro/nanoscale using meniscus-confined electrodeposition: Effect of nozzle speed and diameter, J. Appl. Phys., 2017, vol. 121(21), p. 214305.
- Meltzer, S. and Mandler, D., Microwriting of gold patterns with the scanning electrochemical microscope, J. Electrochem. Soc., 1995, vol. 142. p. L82.
- De Abril, O., Mandler, D., and Unwin, P.R., Local cobalt electrodeposition using the scanning electrochemical microscope, Electrochem. Solid-State Lett., 2004, vol. 7, p. C71.
- Hirt, L., Gruter, R.R., Berthelot, T., Cornut, R., Voros, J., and Zambelli, T., Local surface modification via confined electrochemical deposition with FluidFM, RSC Adv., 2015, vol. 5, p. 84517.
- Hirt, L., Ihle, S., Pan, Z., Dorwling-Carter, L., Reiser, A., Wheeler, J.M., Prolenak, R., Voros, J., and Zambelli, T., Template-free 3D microprinting of metals using a force-controlled nanopipette for layer-by-layer electrodeposition, Adv. Mater., 2016, vol. 28, p. 2311.
- Feng, Z., Xie, Y., and Georgescu, N.S., High-Resolution Nanoprinting Approach through Self-Driven Electrodeposition, J. Electrochem. Soc., 2019, vol. 166(1), p. D3200.
- Ren, W., Xu, J., Lian, Z., Yu, P., and Yu, H., Modeling and Experimental Study of the Localized Electrochemical Micro Additive Manufacturing Technology Based on the FluidFM, Materials, 2020, vol. 13(12), p. 2783.
- Borgwarth, K., Ricken, C., Ebling, D.G., and Heinze, J., Surface characterisation and modification by the scanning electrochemical microscope (SECM), Ber. Bunsenges. Phys. Chem., 1995, vol. 99, p. 1421.
- Borgwarth, K. and Heinze, J., Increasing the resolution of the scanning electrochemical microscope using a chemical lens: Application to silver deposition, J. Electrochem. Soc., 1999, vol. 146, p. 3285.
- Radtke, V. and Heinze, J., Scanning electrochemical microscopy as a versatile tool for modifying surfaces, Z. Phys. Chem., 2004, vol. 218(1), p. 103.
- Ufheil, J., Hess, C., Borgwarth, K., and Heinze, J., Nanostructuring and nanoanalysis by scanning electrochemical microscopy (SECM), Phys. Chem. Chem. Phys., 2005, vol. 7(17), p. 3185.
- Radtke, V., Hess, C., Souto, R.M., and Heinze, J., Electroless, electrolytic and galvanic copper deposition with the Scanning Electrochemical Microscope (SECM), Z. Phys. Chem., 2006, vol. 220(4), p. 393.
- Ньюмен, Д. Электрохимические системы. М.: Мир, 1977.
- Сухотин, А.М. Справочник по электрохимии. Л.: Химия, 1981.
- Frank, M.J., Kuipers, J.A., and van Swaaij, W.P., Diffusion coefficients and viscosities of CO2 + H2O, CO2 + CH3OH, NH3 + H2O, and NH3 + CH3OH liquid mixtures, J. Chem. Eng. Data, 1996, vol. 41(2), p. 297.
- Батлер, Дж.Н. Ионные равновесия. Л.: Химия, 1973.
Supplementary files












